Welcome to the new IOA website! Please reset your password to access your account.

Proceedings of the Institute of Acoustics

RADAR BASED LOUDSPEAKER MEASUREMENTS L Ausiello School of Energy & Electronic Engineering, Faculty of Technology, Portsmouth, Anglesea Road, PO1 3DJ, UK, Email: ludovico.ausiello@port.ac.uk A Izzo Aresys Srl, Milano, Via Privata Flumendosa 16, 20132, IT Email: alessio.izzo@aresys.it C Clemente University of Strathclyde, Centre for Signal and Image Processing (CeSIP), Dept Electronic and Electrical Engineering, Glasgow, 204 George Street, G1 1XW, UK 1 INTRODUCTION

In this paper we want to discuss possible applications of the technology presented in [1], [2], [3]. In particular the use of radar micro-Doppler paired with sine-sweep measurements will be shown to be a powerful method to retrieve the mechanical response of an electro-dynamic loudspeaker, as well as a versatile End Of Line (EOL) classifier algorithm. The article shortly summarizes the theory behind micro-Doppler applied to loudspeakers in section 2, showing how to interpret correctly the radar signals in a more realistic scenario for both sinusoidal analysis and exponential sine sweep. In Section 3 the radar based mechanical characterization of the speaker will be introduced. For all these analyses, a sampling frequency fs = 22kHz is considered. 2 MICRO-DOPPLER ANALYSIS

An operating loudspeaker, such as a direct radiator loudspeaker, presents a complex scenario of moving parts which can generate a multifaceted pattern of vibrations. Sound waves are produced by the motion of the cone that displaces the air molecules at its surface. The loudness of the sound is dependent on the acoustic pressure radiated by the membrane, which is proportional to the velocity of the cone [4]. The most widely used models for loudspeakers dynamics assume that, at low frequency, drivers operate in what is referred to as the ”piston mode”, meaning that in such bandwidth, the driver behaves as a rigid body. This assumption is not always verified, as measurements show that real drivers are never perfectly rigid. It is impossible to realize a perfect piston except for a limited range of frequencies, which is related to the physical dimensions of the diaphragm [5], [6], [7]. Also, in any real embodiment, force factor, stiffness and inductance introduce non linearities, generating spectral components that are not present in the input signal. Their amplitude is usually correlated to the membrane’s displacement. Nonetheless, historically and due to the dynamical analogies, the differential equations explaining the mechanical and acoustical behaviour of a driver can be solved using electrical circuit theory. Thus, with the assumption of rigid body motion, the displacement of a loudspeaker can be computed as function of the frequency of the stimulus by considering the electromechanical components responsible of the dynamic response of the transducer, known as Thiele and Small (T&S) parameters [4]. In this way the voice coil displacement ῆ c , function of the acoustic frequency f v , may be written as:

where e g is the voltage at the speaker’s terminals, Bl is the force factor (magnetic flux density B multiplied by the length of the wire l ), f r is the resonance frequency of the speaker and 𝛾 c (f v (t)) is a dimensionless frequency response function given by:

Vol. 43. Pt. 2. 2021

Proceedings of the Institute of Acoustics

where Q ts represents the total damping effect, composed by the electrical damping Q es and the mechanical damping Q ms , and j is the imaginary unit. Equation (1) describes the frequency dependent behaviour of the loudspeaker displacement. Depending on the amplitude of the displacement, the transducer will generate more or less non-linear distortion [6]. Some aspects of such undesirable signal are accepted within the design process and are results of optimization process giving the best compromise with other constraints (weight, cost, size). On the other hand, other irregularities are non-acceptable defects in a loudspeaker, and they should not pass an EOL tests. They are generated by defects caused during the manufacturing process, ageing and other external factor such as overload and temperature. A well-known technique commonly used in audio environment to completely characterize the system with a single, fast and easy measurement was introduced in [8], [9], [10]. It is based on exponentially swept sine signal defined as:

where T is the length of the sine sweep in seconds, and f 1 and f 2 the starting and ending frequencies, respectively. This technique has the ability to separate the non-linear (distortion) responses from the linear response of the system. In this context, radar sensor can be used to identify the vibration pattern of the transducer. To fully understand and interpret correctly the radar micro-Doppler phenomena in complex and realistic scenario, the basics of the micro-Doppler will be introduced in Section 2.1 firstly using a single tone signal as stimulus, and secondly using an exponential sine sweep in (3). In Section 2.2, the simulated radar signal model is compared with real measurements in order to show the accuracy of the model and the capability of radar sensors to detect loudspeaker motions. For all these analyses, a sampling frequency fs = 22kHz is considered. 2.1 Simulated measurement analysis

Radar micro-Doppler effect can be understood by considering target’s micro-motions. In coherent radars, the range variations cause a phase change in the returned signal from a target. Thus, the Doppler frequency shift, representing the change of phase function over time, can be used to detect vibrations or rotations of structures in a target. In Figure 1 the geometry used to analyse the micro- Doppler induced by a vibrating target is shown [11], [12].

Figure 1 . Geometry for the radar and generic vibrating point: the motion of a speaker can be described as rigid body motion having a piston mode when the input to the loudspeaker is a signal with frequency range up to 1kHz.

Vol. 43. Pt. 2. 2021

Proceedings of the Institute of Acoustics

The receiving radar signal from a target as a function of time is modelled as follows:

where 𝜌 is the reflectivity of the vibrating point scatterer, f 0 is the carrier frequency of the transmitted signal and Φ (t) is the time varying phase change of the vibrating scatterer. Letting R 0 be the distance between the radar and the speaker’s initial position O , then the range function varies with time due to the speaker micro-motion:

Assuming an arbitrary point of the cone located in P and the radar being in the line of the sight with the speaker [11], [12], the displacement function will assume a different behaviour depending by the acoustic tone used to test the driver. In case a single tone is used, the point P vibrates with sinusoidal frequency f v and maximum displacement ῆ c ,( f v ), the displacement function will be of the kind:

Using the chirp signal x (t) in (3) instead, the displacement function will be of the kind:

Then, in a generalised form the time varying phase can be written as:

with 𝜆 the wavelength of the transmitted signal and R(t) the range function which it changes according to the acoustic signal used to test the driver. Defined as the derivative of the phase term of the radar signal, the micro-Doppler shift in a single tone scenario is expressed through the following equation:

In Figure 2 the theoretical micro Doppler of a speaker moving at its resonance frequency of 67Hz, with output voltage of 5V and 10V, is shown. From (1), the theoretical displacement ῆ c , at 5V and 10V of output voltage is computed. With a ῆ c , 5V = 1.1mm and ῆ c , 10V = 2.2mm, the maximum Doppler shift achievable is 73.90Hz and 147.80Hz, respectively.

Vol. 43. Pt. 2. 2021

Proceedings of the Institute of Acoustics

Figure 2 . Theoretical micro Doppler of a speaker moving at its resonance frequency of fv = fr = 67Hz with output voltage of 5V and 10V, modelled as a flat circular plate having maximum displacement of ῆ c ,5V = 1.1mm and ῆ c ,10V = 2.2mm. The spectrum of a typical simulated received radar signal is shown in the Figure 3, for 5V and 10V of applied voltage. By Fourier analysis the vibration frequency of the coil can be detected, where the number of visible harmonics depends from the displacement amplitude, directly related to the micro Doppler.

Figure 3 . Normalised spectrum of the simulated received signal. Speaker moving at its resonance frequency of fv = fr = 67Hz with output voltage of 5V and 10V, modelled as a flat circular plate having maximum displacement of ῆ c ,5V = 1.1mm and ῆ c ,10V = 2.2mm. This result is in complete agreement with loudspeaker modelling theory. Loudspeakers and other kinds of actuators which produce sounds or vibrations behave differently at small and high displacement amplitudes. The dependency of the displacement amplitude is an indication of non- linearities inherent in the system. As the displacement amplitude increases, particularly at low frequencies, the most dominant non linearities effects are introduced by stiffness Kms( ῆ c ) (reciprocal of the compliance Cms( ῆ c )), force factor Bl( ῆ c ) and inductance Le( ῆ c ), function of the displacement ῆ c .

Vol. 43. Pt. 2. 2021

Proceedings of the Institute of Acoustics

A second non-linear effect is the generation of additional spectral components which are not in the exciting stimulus; these components are generally multiple of the fundamental frequency and thus labelled as harmonic and intermodulation distortion [6]. From this simple set of equations in (8), (4), and (9) describing the micro-Doppler signature we can deduct the capability to retrieve information about the behaviour, anomalies and failures of a loudspeaker from the radar returned. While the spectral composition of a signal varies as function of the time, the conventional Fourier transform cannot provide a time dependent spectral description. Thus, a joint time-frequency distribution provides more insight into the time-varying behaviour of the signal. The squared magnitude of the Short-Time Fourier Transform [13], [14], [15], [16] of the received radar signal, namely the spectrogram, is used here to examine the time-frequency distribution. In Figure 4, the spectrogram of the simulated received radar signal of a speaker moving at its resonance frequency f v = f r = 67Hz with output voltage of 5V is shown.

Figure 4 . Magnitude of the spectrogram of the simulated received radar signal. Speaker moving at its resonance frequency of fv = fr = 67Hz with output voltage of 5V, modelled as a flat circular plate having maximum displacement of ῆ c ,5V = 1.1mm and ῆ c ,10V = 2.2mm, with Blackman-Harris window of 23.2ms. The maximum Doppler shift is highlighted with a black line. For a better understanding of the reader, the maximum Doppler shift is highlighted with a black line, confirming the sinusoidal-like motion. Due to the trade-off between time-frequency resolution, an appropriate choice of the window and its length has to be selected. In 4 a Blackman-Harris window of 23.2ms is used, showing a Doppler shift of 75Hz, in agreement with the theoretical one. With an output voltage of 10V, the spectrogram in Figure 5 reveals a maximum Doppler shift of 150Hz, in agreement with what is expected from theory in (9).

Vol. 43. Pt. 2. 2021

Proceedings of the Institute of Acoustics

Figure 5 . Magnitude of the spectrogram of the simulated received radar signal. Speaker moving at its resonance frequency of fv = fr = 67Hz with output voltage of 10V, modelled as a flat circular plate having maximum displacement of ῆ c , 5V = 1.1mm and ῆ c , 10V = 2.2mm, with Blackman-Harris window of 5.8ms. The maximum Doppler shift is highlighted with a black line. A more complete analysis is achieved when chirp signal x (t) in (3) is used. According to loudspeaker theory, the displacement ῆ c is a time varying function of f v (t) , as described in (1). For an exponential sine sweep, the instantaneous vibration frequency f v (t) is defined as:

with k the exponential chirp rate. Depending on the behaviour of the displacement, the micro Doppler will show a different envelope, strictly related to voice coil motion. In case of constant displacement ῆ c during the sweep, the maximum micro Doppler increases linearly with the frequency of the stimulus, with fixed modulation index Υ = 𝛽 ῆ c , as in (9). In a more realist scenario the voice coil, modelled as in (1), can be considered constant before the resonance frequency, while after it decreases as the square of vibration frequency fv, then, it is necessary consider both displacement and vibration frequency as function of the time. With this assumption the theoretical micro Doppler equation will become the sum of two components, namely:

Let’s consider a loudspeaker with resonance frequency f r = 67.50 Hz, playing an exponential sine sweep of length T = 60 seconds, with instantaneous vibration frequency f v ∈ [20; 5000] Hz. In the hypotheses of initial displacement ῆ c ( t =0) = 2.26cm, when the vibration frequency is f v ( t =0) = 20 Hz, the theoretical micro Doppler frequency is computed by equation (11) and shown in Figure 6. Unlike the constant displacement scenario, the micro Doppler frequency achieves its maximum value f mD = 887 Hz at the time instant t max = 13.2305 s, namely the instant which the vibration frequency f v matches the resonance frequency f r of the speaker itself. As expected, this suggests that the highest micro Doppler shift is achieved at the highest velocity of the speaker, namely at the resonance frequency.

Vol. 43. Pt. 2. 2021

Proceedings of the Institute of Acoustics

Figure 6 . Theoretical micro-Doppler frequency shift from a speaker playing an exponential sine sweep of T = 60 seconds, with f v ∈ [20; 5000] Hz, and initial displacement ῆ c ( t =0) = 2.26 cm and f v ( t =0) = 20 Hz. Notice that at high vibration frequency, the micro Doppler tends towards zero due to the displacement function. The spectrogram of the simulated received radar signal has shown in Figure 7, where a Blackman-Harris window of 46.5ms is used.

Figure 7 . Magnitude of the spectrogram of the simulated received radar signal from a speaker playing an exponential sine sweep of T = 60 seconds, with f v ∈ [20; 5000] Hz, and initial displacement ῆ c ( t =0) = 2.26 cm and f v ( t =0) = 20 Hz. From Figure 7 the behaviour of the micro Doppler frequency is confirmed. While the sinusoidal like motion of the micro Doppler is still visible at low vibration frequency achieving the maximum value at the resonance frequency, at high vibration frequency it is clear the strong component at the zero frequency. The spectrogram of a time window of 0.05 s of the simulated received radar signal around t max is shown in Figure 8, confirming the sinusoidal like motion of the micro Doppler.

Vol. 43. Pt. 2. 2021

Proceedings of the Institute of Acoustics

Figure 8 . Magnitude of the spectrogram of time window of 0.05 s of the simulated received radar signal around the time instant t max , where Doppler shift achieves its maximum, namely in proximity of the resonance frequency f r of the speaker. The maximum Doppler shift is highlighted with a black line. Due to the fast vibration of the speaker on the Line of Sight (LOS), a phenomenon known as coupled echoes will appear [12]. The result of this effect will be the presence of “ghost returns” in the Doppler direction on both sides of the original target. So, the speaker vibration can then introduce an infinite series of paired echoes m because, when considering (11), the received signal s r in (4) may be expressed as a series of expansion of Bessel functions of the first kind of order m [2]. Therefore, the micro-Doppler frequency spectrum consists of pairs of spectral lines around the centre frequency f 0 and with spacing fv between adjacent lines. The intensity of paired echoes visible depends from the modulation index Υ = 𝛽 ῆ c . In case of wideband modulation ( Υ > 1) more spectral lines appear. Due to a non-constant displacement, the received signal will be wideband modulated at low vibrational frequency and narrowband modulated at high vibrational frequency. Thus, more harmonics are detected at low vibration frequencies as shown in figure 7. This result agrees with loudspeaker modelling theory, where the harmonics components at low vibration frequencies are defined as regular non-linear distortions components, generated by the non-linear behaviour of stiffness, force factor and inductance of the driver. 2.2 Real measurement analysis

In this section, real data acquisitions are analyzed and compared with simulation results. Firstly, the micro-Doppler signature is studied considering a single tone acoustic signal; subsequently the micro- Doppler signature of a speaker playing a sine sweep is analyzed. For all of the analyses, the signal amplitude was set to -6 dB for the standard “Loudness units relative to Full Scale” (LUFS) to prevent any digital or analog clipping in the measurement chain. In order to simulate a received radar signal, a 10” speaker (which is a typical dimension for a loudspeaker operating in this frequency range) was used. The measurements acquisition was conducted through a bespoke 24GHz CW radar made by WhiteHorse Radar LTD. It was used to measure the returns from a 10” low frequency driver placed 1m away from the radar on the Line Of Sight (LOS). For both simulated and real data, a sampling

Vol. 43. Pt. 2. 2021

Proceedings of the Institute of Acoustics

frequency f s = 22 kHz is considered. Through a Clio Pocket board [17], the electromechanical parameters needed to feed the model of the ideal received radar signal are measured. The retrieved T&S parameters of B&C 10CL51 LF driver [18] are reported in Table I.

Table I . Measured Thiele&Small Parameters of B&C 10CL51 LF driver. The input signal to the loudspeaker has been generated by Adobe Audition 3.0, while the received signal is acquired by the radar through Matlab R2018a, also used to process the data. Performing a single tone analysis, an acoustic input with frequency f v = 67 Hz is used to drive an ideally flat and rigid disk behaving in piston mode, at its resonance frequency. To understand the ability of the radar to detect the motion of the speaker, two different output voltages were taken in consideration. Setting the voltages at the loudspeaker terminals to be 5V, the normalized spectrum of the received signal is shown in Figure 9.

ra Qe & eEN/a

Figure 9 . Spectrum of real radar measurement from a 10” loudspeaker playing a single tone f v = 67Hz at its resonance frequency at 5V output voltage. In the spectrum in figure 9 the positive frequency band is referred as positive direction while the negative as negative displacement. By Fourier analysis the vibration frequency of the coil is detected correctly. Although the presence of the noise floor, the fundamental component and its harmonics are visible and in agreement with the spectrum of the simulated signal. The discrepancy between the ideal and the real spectrum is related to the non-linear behaviors of the DUT defined above. In particular, the discrepancy between the positive (blue curve) and negative direction (red curve) may be related to the effect of non-linear stiffness. In Figure 10, a Blackman-Harris window of 23.2ms is used to generate the spectrogram of the radar signal. From the spectrogram the maximum frequency Doppler shift can be gathered, and from this the displacement.

Vol. 43. Pt. 2. 2021

Proceedings of the Institute of Acoustics

Figure 10 . Magnitude of the spectrogram of real radar measurement from a 10” loudspeaker playing f v = 67Hz single tone at 5V output voltage, with Blackman-Harris window of 23.2ms. The maximum Doppler shift is highlighted with a black line. Inverting (9), the maximum value of ῆ c , 5V can be obtained. The results are very close to the simulated scenario (in Figure 4), since the micro Doppler has a maximum value equal to 75Hz, in both positive and negative direction, leading to the estimation of the displacement equal to 1.1mm. In the case of an output voltage of 10V, the speaker should be more prone to distortion. This is visible from the spectrum shown in Figure 11, where harmonics with higher magnitude appear due to a larger displacement are visible from the spectrogram in Figure 12. Although the behavior is still in agreement with the model in Figure 5, some discrepancies appear.

Figure 11 . Spectrum of real radar measurement from a 10 “loudspeaker playing a single tone f v = 67Hz at its resonance frequency at 10V output voltage.

Vol. 43. Pt. 2. 2021

Proceedings of the Institute of Acoustics

Figure 12 . Magnitude of the spectrogram of real radar measurement from a 10” loudspeaker playing f v = 67Hz single tone at 10V output voltage, with Blackman-Harris window of 5.8ms. The maximum Doppler shift is highlighted with a black line.

Figure 13 . Micro Doppler comparison between the simulated signal and the real radar measurement from a 10” loudspeaker playing 67Hz single tone at 10V output voltage, with Blackman-Harris window of 5.8ms. The differences with the ideal micro Doppler are illustrated in Figure 13. While in the simulated scenario the micro Doppler profile has a maximum and minimum value equal to 150Hz, the measured one resulted to be 150Hz in the positive direction and 172Hz in the negative direction. This suggests that, due to non-linear effects, the voice coil is susceptible to acceleration in order to reach the farthest point from the radar, visible through the different rising and falling front from the simulated one. This can be confirmed by the phase of the signal. In Figure 14 and 15 the phase of the real and simulated radar signals is compared when an output voltage is set to 5V and 10V, respectively.

Vol. 43. Pt. 2. 2021

Proceedings of the Institute of Acoustics

Figure 14 . Comparison between the phase of the simulated and real radar signal of the speaker playing tone f v = 67Hz equal at its resonance frequency f r , with output voltage set to 5V.

Figure 15 . Comparison between the phase of the simulated and real radar signal of the speaker playing tone f v = 67Hz equal at its resonance frequency f r , with output voltage set to 10V. It can be seen that the phase of the real data matches the simulated one in terms of sinusoidal-like motion, especially when the applied voltage is 5V. However, discrepancies between the simulated and real data appear at 10V of applied voltage. Comparing the rising and falling front of the measured phase in Figure 15 with the corresponding simulated one, it is possible to observe that actual motion does not match completely the ideal one. From the plot it is possible to infer that the voice coil spends more time in the position further away from the radar than the piston model suggests. A possible explanation of this phenomenon could be the superposition of two components. The first is the non-linearity introduced by the stiffness. Loudspeakers use a suspension system to center the coil in the motor gap, and to generate a restoring force which moves the coil back to the rest position.

Vol. 43. Pt. 2. 2021

Proceedings of the Institute of Acoustics

For small displacements, spider and surround behave like a linear spring, while at high displacement the real system responds with more force than the predicted one. The second component could derive from the non-uniform distribution of the magnetic flux density B in the neighborhood of the gap. When coil windings leave the gap, the force factor decreases [6]. Consequently, the non-linearities appear and the coil is pushed back with a different force compared to the one which previously pushed it out from the gap. Moving to the sine sweep analysis, the signal varies from a starting frequency f 1 = 20Hz at time t = 0, ending at the time T = 60s with frequency f 2 = 5kHz. The speaker was connected to an amplifier, which output was set to e g = 3V at 1kHz. With the speaker parameters in Table I, the theoretical displacement is modelled through (1): at time t = 0 the maximum value of ῆ c = 1.1mm is found. The spectrograms of both simulated and real radar signal are compared and shown in Figure 16. Both the spectrograms are produced using a Blackman-Harris window of 46.5ms, with an overlap of 99%, with column-based normalization.

Figure 16 . Magnitude of the spectrogram of simulated and real received radar signal from a speaker playing an exponential chirp, with T&S parameter of Table I, with Blackman-Harris window of 46.5ms. The first difference that can be seen, it is the presence of the noise floor. While the simulated signal has been generated in absence of noise, the real one shows a background noise increasing with time. This result agrees with radar sensitivity, shown in Table II: as a vibration amplitude of a micron results in a phase shift of only 0.06 deg, it is almost undetectable. It can be seen in Figure 16b that a high intensity distortion is visible at the time instant t = 42s, with vibration frequency f v approximately 1KHz.

teeth Cire ie

Table II . Sensitivity of a 24GHz CW radar to different vibration amplitude. Due to rocking modes, DC displacement and motor instability, the speaker deviates from the “piston mode”, making voice coil rubbing and hard bottoming typical defects. From the radar point of view this effect can be explained through the concept of disruptive interference. Whenever waves originating from two or more sources interact with each other, there will be phasing effects leading to an increase or decrease in wave energy at the point of combination. When elastic waves of the same frequency meet in such a way that their displacements are precisely synchronized (in phase, or 0 degree phase angle), the wave energies will add together to create a larger amplitude wave.

Vol. 43. Pt. 2. 2021

“Mivaton Aiptode Maxims Phase Sa r oder Shine io coy

Proceedings of the Institute of Acoustics

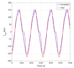
If they meet in such a way that their displacements are exactly opposite (180 degrees out of phase), then the wave energies will cancel each other. At phase angles between 0 degrees and 180 degrees, there will be a range of intermediate stages between full addition and full cancellation. Using the mathematical formulation in (11), the theoretical micro-Doppler related to the theoretical displacement is shown in Figure 17. Also, in this case the maximum Doppler shift happens at the resonance frequency of the speaker, with maximum value of f mDMAX = 44.3Hz at the time t max = 13.23s.

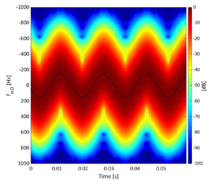
Figure 17 . Theoretical micro Doppler frequency shift of a speaker playing a 60 seconds exponential sine sweep with f v ∈ [20; 5000] Hz, with T&S parameter of Table I. The spectrograms of both simulated and real radar signal around t max are shown in Figure 18. From the spectrograms in figure 18 is possible to appreciate how the simulated signal matches with the real measurement. In both the spectrograms, a maximum Doppler shift of 107Hz is detected with a Blackman-Harris window of 11.6ms.

(tpeepes etal ed

Figure 18 . Magnitude of the spectrogram of simulated and real received radar signal from a speaker playing an exponential chirp, with T&S parameter of Table I, at the t = t max and f v = f r , with Blackman-Harris window of 11.6ms.

Vol. 43. Pt. 2. 2021

Proceedings of the Institute of Acoustics

Due to both the spectrogram time-frequency dilemma and coupled echoes phenomenon, the maximum Doppler shift detected differs from the theoretical one making the echoes stronger than the main component. Thus, for a correct characterization of the speaker, an alternative approach is needed and introduced in the next section. 3 MECHANICAL CHARACTERIZATION OF A SPEAKER

The ability of the radar technology to detect the motion of a speaker has been described above. When a chirp is used in the simulated scenario, the voltage as the force factor is supposed to be constant with the frequency of the stimulus. In a real scenario this is not true due to the impedance of the driver, which varies in frequency. Commonly used in radar is the matched filter technique, obtained by correlating a known signal with an unknown signal to detect the presence of the template in the unknown signal. This is the radar equivalent of the acoustic measurement technique introduced in [8], [9], [10], where the unknown signal is convolved with a conjugated time-reversed version of the template. With this technique the speaker can be mechanically characterized. The matched filter is the optimal linear filter for maximizing the signal-to-noise ratio (SNR) in the presence of additive stochastic noise. If the model of the ideal received radar signal is found, matched filter technique could be applied to RF sensors in order to characterize the mechanical behaviour of the speaker. Using (4) the received radar signal of an ideal loudspeaker, behaving as piston mode in the full frequency band, is described. It can be seen as the product between the magnitude and phase components. While the phase component depends on both T&S parameters of the speaker and the stimulus waveform, the magnitude component introduces uncertainty since it is an estimation of the target reflectivity, which is usually difficult to estimate. For this reason, to reduce the amount of uncertainty, the system’s impulse response can be computed by simply correlating the phase of the measured radar signal y ( t ) with the phase of the simulated signal s r ( t ), such that:

where * is the correlation operator. With an exponential sine sweep of T = 60 seconds long as a test signal, and with the hypothesis of a linear system, the results would be a perfect peak centred in T , defined as linear impulse response. Thus, the signal component of the time waveform at the output of the matched filter is actually the autocorrelation function r sr,sr of the ideal signal. The matched filter peak h ( T ) is then r sr,sr (0) = E sr , where E sr is the total energy in the signal s r ( t ) [19]. In a real scenario instead, where the Device Under Test (DUT) is never linear, along with the linear impulse responses, non-linear impulse responses are also obtained, corresponding to the various harmonics of the input signal. With the exponential sine sweep, these non-linear product, do not contaminate the linear impulse response, as they are occurring at very precise anticipatory times Δ t before the linear response, namely:

where N is the Nth distortion component. This is visible in the Figure 19, where the matched filter is applied to a real measurement, and its output is defined as the cross correlation function r y,sr between the measured signal y ( t ) and the ideal one s r ( t ).

Vol. 43. Pt. 2. 2021

Proceedings of the Institute of Acoustics

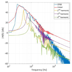
Figure 19 . Matched filter output: linear and non-linear impulse responses of the DUT, with measured T&S parameters of table I. In agreement with (13), the non-linear products occur at very precise anticipatory time before the linear response, namely at Δ t 2nd = 7.50s, Δ t 3rd = 11.93s and Δ t 4th = 15.04s. Applying a window around the peak h ( T ), it is possible to compute the linear frequency response through Fourier Transform. In the event where no window is applied, the Cross Power Spectrum Density (CPSD) of the signal is computed, where the harmonic components and noise are incorporated into the frequency response. In Figure 20, CPSD, linear and harmonic frequency responses are shown.

Harmonic Responses

Figure 20 . CPSD, linear frequency response and harmonic frequency responses of the DUT, with measured T&S parameters of table I. In case of no windowing, the CPSD of the signal is computed in Figure 20 (blue line) where harmonics products and noise are incorporated into the frequency response. Applying a window around the peak in h ( T ), the linear frequency response can be assessed. Since the non-linear products are a powerful indicator of possible manufacturing problems, they are analysed too. For this reason, windows are applied to harmonic responses as well.

Vol. 43. Pt. 2. 2021

Proceedings of the Institute of Acoustics

As it can be seen from the fig. 20, the harmonic products affect the behaviour of the speaker mainly at low frequency, where the device is more susceptible to the non-linear effects, in agreement with loudspeaker model theory. Based on the methodology to measure mechanical frequency response of loudspeakers introduced above, a first attempt of loudspeaker faults detection and classification was shown in [3] thanks to a joint radar micro-Doppler and deep learning technology for End-Of-Line (EOL) test. Depending on the status of the speaker, the matched filter output will show a different mechanical impulse response: an example of matched filter outputs of the speaker with and without defects are shown in the Figure 21.

Figure 21 . Linear and non-linear responses of B&C 10CL51 LF driver with f r = 67.5Hz, Bl = 9.67 N/A , Q ts = 0.54 and Q es = 0.60. (a) Good speaker. (b) Cone manipulation. (c) Spider manipulation. As hoped, different defects affect the impulse response of the system in different ways. To restrict the number of samples, Fourier Transform was applied on both linear and harmonic impulse responses. In this way, MFRs were obtained after a channel based normalization and used as input vector to the Deep Learning classifier. The reliability of deep learning based classifier was demonstrated by testing the network on training, validation and test dataset. The results showed that the proposed approach yields a classification accuracy above the 98%, outperforming the traditional k -NN classifier. 4 CONCLUSIONS

In this paper a novel approach based on radar micro Doppler was proposed for condition monitoring of loudspeakers in hostile environments. With the assumption of rigid body motion at low frequency, the displacement of a driver voice-coil was modelled as function of the frequency of an audio stimulus by considering the electro-mechanical components responsible of the transducer’s dynamics; both single tone and sine sweep analysis were conducted. In the single tone case, by using both the model and a real woofer, the phase, spectrum, and spectrogram of the received radar signal were compared. This confirmed that loudspeakers’ behaviour can be correctly measured by radar. In particular, considering both micro-Doppler shift and the phase component of the received signal, accurate information of the driver’s motion can be extracted. By increasing the applied voltage applied, a resulting discrepancy between real and simulated data appeared, revealing the non-linearities of the speaker. In the sine sweep case, some discrepancy between real and simulated signal showed beyond the piston band, since the rocking modes were not considered when developing the analytical model. Nevertheless, the spectral analysis’ results demonstrate good capability to detect defects impairing the motion of the voice coil. Finally, a matched filter approach was proposed to retrieve and characterise the mechanical response of the transducer. Accordingly, the power spectrum density, linear frequency response, and higher harmonics, when used as features for an automatic classifier, proved to be effective detectors of loudspeakers’ manufacturing problems [3].

Vol. 43. Pt. 2. 2021

Ff sneeys a8 52th fy... Ee 7 E

Proceedings of the Institute of Acoustics

ACKNOLEDGEMENTS This work was supported by the Engineering and Physical Sciences Research Council (EPSRC) Grant number EP/K014307/1 and the MOD University Defence Research Collaboration in Signal Processing. A special thank also to University of Strathclyde for providing both tools and facilities to conduct these experiments. 5 REFERENCES

[1] A. Izzo, L. Ausiello, C. Clemente, and J. J. Soraghan, “Radar microdoppler for loudspeaker analysis: An industrial process application,” pp. 1–6, Oct 2017. [2] A. Izzo, L. Ausiello, C. Clemente, and J. J. Soraghan, “Loudspeaker analysis: A radar based approach,” IEEE Sensors Journal, vol. 20, no. 3, pp. 1223–1237, February 2020. [3] A. Izzo, C. Clemente, L. Ausiello, and J. Soraghan, “Radar based deep learning technology for loudspeaker faults detection and classification,” in 2020 IEEE Radar Conference (RadarConf20), 2020, pp. 1–6. [4] L. L. Beranek and T. J. Mellow, “Chapter 6 – electrodynamic loudspeakers,” in Acoustics: Sound Fields and Transducers, L. L. Beranek and T. J. Mellow, Eds. Academic Press, 2012, pp. 241–288. [5] W. Klippel and J. Schlechter, “Measurement and visualization of loudspeaker cone vibration,” in Audio Engineering Society Convention 121, Oct 2006. [6] W. Klippel, “Tutorial: Loudspeaker nonlinearities - causes, parameters, symptoms,” Journal of Audio Engineering Society, vol. 54, no. 10, pp.907–939, 2006. [7] G. Ni and S. J. Elliott, “Wave interpretation of numerical results for the vibration in thin conical shells,” Journal of Sound and Vibration, vol. 333, no. 10, pp. 2750–2758, May 2014. [8] A. Farina, “Simultaneous measurement of impulse response and distortion with a swept-sine technique,” in Audio Engineering Society Convention 108, Feb 2000. [9] A. Farina, “Advancements in impulse response measurements by sine sweeps,” in Audio Engineering Society Convention 122, May 2007. [10] M. C. Bellini, L. Collini, A. Farina, D. Pinardi, and K. Riabova, “Measurement of loudspeakers with a laser doppler vibrometer and the exponential sine sweep excitation technique,” Journal of Audio Engineering Society, vol. 65, no. 7/8, pp. 600–612, 2017. [11] V. C. Chen, The Micro-Doppler Effect in Radar. Artech House, 2011. [12] C. Clemente, A. Balleri, K. Woodbridge, and J. J. Soraghan, “Developments in target micro-doppler signatures analysis: radar imaging, ultrasound and through-the-wall radar,” EURASIP Journal on Advances in Signal Processing, vol. 2013, no. 1, p. 47, Mar 2013. [13] D. Gaglione, C. Clemente, F. K. Coutts, G. Li, and J. J. Soraghan, “Model-based sparse recovery method for automatic classification of helicopters,” in 2015 IEEE Radar Conference (RadarCon), May 2015, pp. 1161–1165. [14] C. Clemente, L. Pallotta, A. D. Maio, J. J. Soraghan, and A. Farina, “A novel algorithm for radar classification based on doppler characteristics exploiting orthogonal pseudo-zernike polynomials,” IEEE Transactions on Aerospace and Electronic Systems, vol. 51, no. 1, pp. 417–430, January 2015. [15] A. Assmann, A. Izzo, and C. Clemente, “Efficient micro-doppler based pedestrian activity classification for adas systems using krawtchouk moments,” in 11th International Conference on Mathematics in Signal Processing (IMA), Dec 2016. [16] R. I. A. Harmanny, J. J. M. de Wit, and G. P. Cabic, “Radar microdoppler feature extraction using the spectrogram and the cepstrogram,” in 2014 11th European Radar Conference, Oct 2014, pp. 165–168. [17] Audiomatica S.r.l., “Clio poket 2.0,” 2001, http://www.audiomatica.com/wp/?page id=2429. [18] B & C Speaker, “B & C 10CL51 LF driver,” 1946, https://www.bcspeakers.com/en/products/lf-driver/10-0/8/10cl51-8 . [19] M. A. Richards, J. A. Scheer, and W. A. Holm, Principles of Modern Radar, ser. Principles of Modern Radar. SciTech Publishing, Incorporated, 2010, no. v. 1.

Vol. 43. Pt. 2. 2021