Welcome to the new IOA website! Please reset your password to access your account.

Proceedings of the Institute of Acoustics

 

A critical analysis of sound level monitoring methods at live events

 

A. J. Hill, College of Science and Engineering, University of Derby, UK
J. Mulder, College of Arts and Social Sciences, The Australian National University, Australia
J. Burton, College of Science and Engineering, University of Derby, UK
M. Kok, dBcontrol, Netherlands
M. Lawrence, Rational Acoustics, USA

 

1 INTRODUCTION

 

The principal responsibility of a live sound engineer has typically been to reinforce/reproduce a collection of acoustic signals originating from a performance stage, delivering the intended listening experience across a wide audience area with acceptably high intelligibility and clarity. Historically, this was the sole focus of the role, but this is no longer the case.

 

The ever-increasing focus on personal well-being has augmented the role of a live sound engineer so that now engineers must consider the hearing health of individuals within a performance space, as well as the contentedness of nearby residents, in relation to noise pollution. As such, live sound engineers must rely on clear guidelines, straightforward tools, and practical input from other professionals on the event to ensure an excellent and safe listening experience for audiences without upsetting the local community.

 

This paper details research primarily conducted over the previous five years on this subject with the aim of laying out the current situation in a concise manner, whilst providing critical analysis to focus minds within the industry to work towards improved solutions to issues encountered at live events.

 

2 ANALYSIS OF CURRENT KNOWLEDGE AND PRACTICE

 

The World Health Organization (WHO) highlighted in their 2018 Environmental noise guidelines for the European Region [1] the lack of unbiased scientific research surrounding so-called “leisure noise”. This prevented them from providing any improved guidelines for event-related noise pollution and they instead instructed readers to refer to continue to use 1999 guidelines [2].

 

The lack of underpinning science within audience sound exposure and event-related noise pollution regulations has resulted in widely varying practices throughout the world, creating ever-shifting goalposts for touring engineers. This was highlighted in a comprehensive survey of existing knowledge on the subject, including relevant regulations and guidelines throughout the world, in AES Technical Document AESTD1007.1.20-05 Understanding and managing sound exposure and noise pollution at outdoor events, published in May 2020 [3]. The document concludes with 25 research questions that must be addressed to enable the success of future live events across the world.

 

The above-mentioned work in turn fed into the WHO’s Make Listening Safe Initiative, principally in relation to the WHO’s Global Standard for Safe Listening Venues and Events, released in March 2022 [4]. The following sections detail the key findings from the authors’ recent research, much of which is included in the WHO Global Standard.

 

2.1 Sound Levels at Live Events

 

Modern-day large-scale professional sound reinforcement systems can deliver sound pressure levels (SPL) beyond safe and reasonable listening amplitudes. Such capabilities are justified due to short term transients typical in music [5], as highlighted in Section 2.2, to avoid significant distortion.

 

A preliminary study into live event sound levels was required to assess whether professional engineers were utilizing the full SPL capabilities of sound systems, as has historically been the case, or whether mixes tended to “settle” into a natural level. An early indication that this may well be the case was provided by an extensive study of small to medium-sized music venues in Australia by one of this paper’s authors [6]. The study revealed that, when a sound level limit was in place, there existed a wide range of average sound levels for shows, where relatively few events registered average levels of more than 100 dBA.

 

The question, then, was whether when faced with large-scale sound systems, capable of far greater undistorted output, engineers would mix to higher levels when unrestricted by local limits. A potential cause for concern here is the lack of significant distortion in such systems. Earlier research [7] has given indication that live event loudness perception is often influenced by harmonic distortion in a sound system, whereby increased levels of distortion result in a corresponding boost in perceived loudness. Such effects are more likely to be encountered in small to medium-sized venues, but are less likely in large venues, and could potentially provide a natural limiting factor to the overall sound level that isn’t encountered at large events. Does this, therefore, cause higher mix levels at large events?

 

Three papers were published looking into this: one examining a single music festival [8], one examining five years’ worth of show data from a single international touring act [9] and one taking the data from [7] and [8] and expanding the scope of the analysis to include show data from over 100 music festivals and one-off events in Europe, with 290 events analyzed in total [10].

 

89 of these events (31%) had no sound level limit, freeing the engineer to mix to any desired level. Without an LAeq sound level limit in place, these events were approximately 2 dBA higher in level than events with limits in place [8,9,10]. Of these events, the highest in level were manually examined by one of the authors who was the sound engineer on the events in question and revealed that system capability couldn’t have been a factor in the greater sound levels. Instead, venue acoustics was identified as a critical factor.

 

Venues with poor acoustics for amplified sound resulted in higher levels as the engineer had to “fight” the poor acoustics to deliver clear and intelligible signals. Conversely, venues which had been purpose-built for amplified music resulted in roughly 2 dB quieter shows as the engineer didn’t feel the need to push the system over the venue acoustics to achieve the desired listening experience. Additionally, smaller venues exhibited higher LAeq. In this instance, the increase in LAeq was attributed to significant acoustic energy being emitted from the musical instruments on stage, causing the engineer to increase the sound system’s output to overcome the stage levels. This effect was also recognized as a significant contributor to sound levels in smaller venues in [2] and [11]. On average, this research indicates that a typical popular music event should be expected to average between 98 – 100 dBA [10].

 

Due to the almost complete lack of unbiased scientific research published on low-frequency (<100 Hz) effects on hearing health at typical event levels/durations, LCeq limits are few and far between in practice. This allows engineers in most scenarios to utilize more low-frequency energy, which is often attributed to heightened “excitement” at live events [3] – whether this is a learned response or not is beyond the scope of this work, without fear of limit violations. As such, this resulted in a wider range of LCeq measurements across the surveyed events. At the time of writing, large-scale popular music events should be expected to average between 110 – 120 dBC [10].

 

It must be noted that all sound levels mentioned in this section, unless otherwise noted, were monitored from the front-of-house (FOH) mix position. This assumes, perhaps sometimes incorrectly, that most of the audience is receiving similar levels to FOH. This will be discussed in further detail in Section 2.4.

 

2.2 Live Dynamic Range

 

Musical dynamics have long been known to be critical to musical expression [12] and central to delivering exciting listening experiences at live events [3]. Until recently, however, there existed no method to reasonably ascertain live dynamic range. A method was developed and detailed in [13], resulting in the objective metric, Live Dynamic Range (LDR).

 

LDR takes sound level monitoring data (at either 1-second or 1-minute intervals), identifies and removes any non-musical content such as audience noise and stage banter, and then calculates a single value, expressed in dB, representing the musical dynamic range of the event. The 290 event datasets described in Section 2.1 were analyzed for LDR (A-weighted and C-weighted) in [13] and compared, for reference, to a collection of radio broadcasts, studio albums and live albums (Figure 2.1, reproduced from [13]).

 

Figure 2.1: LDR comparisons between live event datasets (A = single music festival, B = touring data from an international touring act, C = data from various large European festivals and events) and other common music consumption formats [13]

 

The data shows that a typical popular music event should expect to exhibit an LDR between 3 – 8 dBA and 4 – 15 dBC. Interestingly, dataset C showed the lowest average A-weighted LDRs, but the highest average A-weighted LDRs. The bulk of this dataset was drawn from electronic dance music (EDM) festivals, which characteristically have pulsing beats throughout, but with perhaps a greater degree of compressed high-frequency content. The festival performances examined within dataset A were largely from the rock, indie or folk genres, and showed the highest A-weighted LDRs. Dataset B was from a popular international touring act which is largely aligned with the EDM genre, although with greater elements of live performance, thus resulting in higher A-weighted LDRs. In all cases, the live events’ LDR readings were significantly above those from broadcast and recorded music.

 

No statistically significant relationships were found between specific sound level limits and LDR, although a general trend was observed whereby LDR decreased with a combination of lower Leq integration times (with times equal to or less than 5 minutes caused lower LDR) and lower Leq limits [10]. Further research is required to better understand this interaction, but from an anecdotal analysis of the effect of lower sound level limits and short integration times, it is reasonable to surmise that musical dynamics would be affected as the engineer is forced to “ride the fader” to ensure compliance with the sound level limit.

 

2.3 Audience Participatory Noise

 

The LDR analysis procedure removes non-musical data points within the analysis procedure, thus ignoring the audience contribution to sound exposure, where it must be stressed that all sound sources must be considered when monitoring sound levels for compliance with an imposed limit. A study was therefore conducted on a small set of popular music event sound level logs, where the LDR algorithm was inverted to isolate the data points with significant audience contributions [14].

 

It was found that, on average, approximately 5% of an event is dominated by audience participatory noise. The audience noise is typically between 100 – 106 dBA with peaks between 110 – 115 dBA. When the events’ overall LAeq readings were analyzed with and without the audience participation data points, it was shown that the audience resulted in an increase to LAeq of between 0.2 and 1.3 dBA. Considering the audience participation is over 5% of an event, this represents a significant source of sound exposure. It must be stressed that audience noise can’t be reasonably controlled, and it must be an accepted fact of large popular music events, where engineers need to strive to keep sound exposure within safe limits using what is controllable (the sound emanating from the sound system). Similarly, musicians and monitor engineers also have a duty of care to limit stage volume, which will in turn reduce the need to increase the house mix, as discussed in Section 2.1.

 

2.4 Monitoring and Managing Audience Sound Exposure

 

In theory, the process of monitoring and managing sound levels on-site at an event is straightforward. Engineers have access to the entire venue with near complete control of the sound system. However, in reality this is far from the case. Regarding the sound level monitoring location, severe practical limitations exist. It is unreasonable to place a microphone within an audience for anything beyond a brief spot check, otherwise, equipment damage would make sound level monitoring economically impossible, barring a shift to an IoT-like approach using “disposable” microphones, which also isn’t ideal from an electronic waste standpoint. Instead, sound level monitoring is almost always carried out at the FOH mix location, except for indoor events where additional microphones can be installed at key points in the venue that are still out of reach of the audience.

 

Assuming the use of a FOH monitoring location, the WHO Global Standard [4] states that the loudest representative audience location must be determined prior to the audience's arrival. Sound level measurements are then taken at this location and the monitoring location chosen for the event (typically FOH). From these measurements, a static correction factor can be applied to all FOH measurements to allow an engineer to track the sound level at the loudest audience location throughout the show. It must be noted that such an approach doesn’t consider the acoustical changes due to an audience being present, which may be significant in certain cases. This is the subject of ongoing work by one of the authors. Additionally, there is the potential for the spectral content between the loudest point in the audience and FOH to vary considerably. If this is the case, then the single number correct method (based on Leq) is overly simplistic and will give an engineer an inaccurate estimate of what’s happening at the loudest point in the audience. This issue is part of an ongoing investigation by one of the authors.

 

The specifics of the sound level limits in place have already been touched upon in Sections 2.1 and 2.2. These limits (including level and integration time within an Leq measurement) must also be considered from an engineer’s perspective. A selection of the European regulations is presented in Table 2.1, reproduced from [10].

 

Country

LAeq

(dB)

Time

(min)

Additional

Belgium

100/102

60/15

 

France

102

15

LCeq,15min = 118 dBC

Germany1

99

30

LCpeak < 135 dBC

Netherlands

103

15

LCpeak < 140 dBC

Switzerland

100

60

LAF < 125 dBA

 

Table 2.1: European examples of audience sound exposure regulations [10]

 

While it is encouraging that the regulations detailed in Table 2.1 highlight a roughly agreed trade-off between allowable level and integration time (shorter integration times can allow for greater levels), the variation in practice can result in widely varying audience experiences at live events.

 

1 The German value differs in that it is averaged in blocks of 30 minutes and not a running average.

 

For instance, the regulations in Belgium stipulate two limits: 100 dB LAeq,60min and 102 dB LAeq,15min. This is good practice, as the 60-minute limit is in line, or close to, the earlier WHO recommendation [2], but when used on its own, fails to present a sound engineer with timely information regarding limit violations (warnings about limit violations become available long after the fact). The inclusion of a 15- minute limit to be used in conjunction with the 60-minute limit allows for an engineer to monitor levels with more timely information, allowing for reasonable adjustments to the sound level to comply with the regulations.

 

In contrast, the 103 dB LAeq,15min limit in the Netherlands could, in principle, allow an engineer to deliver a show that is consistently at 103 dBA over the duration of an event (although this hasn’t been observed in the research detailed in Section 2.1). This has the potential to put an audience at risk, as 103 dBA is likely to be a dangerous listening level over extended periods of time. Clearly, care must be taken to formulate regulations that aren’t open to abuse. In this example, a secondary 60-minute limit would resolve the issue, ensuring that an audience wouldn’t be at risk of being exposed to an elevated sound level over a prolonged period. It should be noted that the 103 dB LAeq,15min limit is a covenant, not a law. As part of this covenant, there’s an awareness program in place to emphasize the use of earplugs by the audience.

 

As stressed by the AES [3] and WHO [4], sound system design can’t be overlooked when considering audience sound level management. In short, a sound system designed to provide consistent coverage throughout an audience (both in terms of SPL and spectral content) enables an engineer to effectively control sound exposure using one (or a few) monitoring locations, as variance is minimized across the audience. Conversely, if a system design results in significant (>6 dB) variations across an audience, then a limited set of monitoring locations (in practical terms this is usually a single location at FOH) won’t capture the complete audience experience, therefore missing potential overexposures at certain points in the audience. Along with venue acoustics (as discussed in Section 2.1), sound system design, therefore, is an essential component of audience sound exposure management.

 

It is important to understand that in many cases, someone other than the sound engineer is employed to monitor and manage sound levels. While an engineer’s primary concern will always be to deliver the best possible listening experience for the audience, it is the sound level consultant’s responsibility to ensure that the engineer includes “safety” within their definition of “best possible listening experience”. From the authors’ collective experience, this ideal is sometimes difficult to realize in practice.

 

2.5 Monitoring and Managing Noise Pollution

 

Live events don’t typically take place in isolation. A venue will often be in close proximity to residential areas and necessitate a noise management plan to avoid putting the event’s license/permit at risk. A key challenge in setting noise limits for live events is that most live events are temporary in nature, only occurring a limited number of times per year in a given location (which is often a condition of a venue’s license). This means that legally speaking, such live events can’t be considered to cause a nuisance, as they aren’t persistent. They can, of course, cause significant annoyance and disruption to members of the community, which must be controlled in a reasonable manner to ensure a peaceful coexistence between the two sides.

 

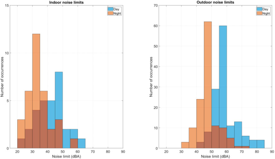
The AES technical document [3] details the results of a broad survey of environmental noise regulations as they related to live event noise pollution in every country across the world where information was readily available. As with the audience regulations, noise pollution regulations highlight great variation in practice. This is illustrated in Figure 2.2, reproduced from [3].


 

Figure 2.2: Histograms of residential noise limits from the surveyed regulations [3]

 

Although the histograms in Figure 2.2 indicate a general clustering of allowable noise pollution levels, there still exists disagreement about what the maximum allowable noise pollution should be. One of the difficulties in this area is that most regulations focus on absolute limits, although ambient noise levels can vary widely across a neighbourhood, city, or country. Usefully, several countries, regions or cities stipulate noise limits relative to the background noise level. This is an encouraging development but doesn’t fully address the challenges stemming from putting on a large-scale outdoor event in a built-up area.

 

Professional noise consultants have long known the value of effective communication between all key stakeholders surrounding live events. An effective communication strategy is potentially the most effective tool in noise-related annoyance minimization. This doesn’t answer the question, though, of what a reasonable noise level limit should be for live events. For this to be achieved, a more robust understanding of live event noise-related annoyance is required to allow for better predictions of community annoyance. This would almost certainly involve multiple factors beyond measurable noise levels, where the authors consider one of the better attempts to date being the Zwicker model which predicts noise nuisance based on loudness, sharpness, roughness and fluctuations in strength of a noise [15].

 

A further challenge to event-related noise pollution monitoring and management is effective measurement practice. Realistically, indoor measurements aren’t possible without an extremely well funded campaign to install monitoring devices within residences without infringing on people's privacy. Therefore, outdoor measurements are standard.

 

Practice around off-site measurements varies widely. Some firms send personnel during the events to take spot measurements at key locations. Other firms install low-power wireless monitoring devices across noise-sensitive areas. Still, other firms pre-measure noise transmission relationships during sound checks at key locations in the community to allow the on-site monitoring at FOH to simultaneously serve on- and off-site sound/noise management. This of course ignores any changes in atmospheric conditions between the calibration measurements and the event (this is by no means a minor point – such variations can be significant and may change throughout an event).

 

Clearly, there is much more research required in this area. While a good deal of published research exists on sound transmission between outdoors to indoors (as partially surveyed in [3]), less information exists on how to adequately translate that knowledge to sufficiently predict an expected range of annoyance across the community. This subject is the focus of ongoing work by one of the authors. Also, measurement protocols for live events need to be revisited. Are the existing environmental noise standards typically used by consultants fit for purpose of live event noise pollution monitoring, or is an alternative required? Or, perhaps, a supplemental monitoring strategy is required, along the lines of the previously mentioned low-power/cost-distributed wireless monitoring devices. While this and other related subjects are discussed quite regularly by audio and acoustics professionals within the IOA and AES, it is rare that any sort of consensus is reached.

 

It should also be noted that many noise regulations have A-weighted primary limits. As highlighted in [3], ample evidence exists to point to low-frequency musical content as one of the most prevalent and annoying qualities of live event-related noise pollution. If A-weighting is used, then professionals tasked with noise monitoring have a difficult job as the signal-to-noise ratio at the most annoying spectral components (low-frequency) will be extremely low, possibly even negative. This then requires the individual carrying out the measurements to make a subjective assessment of the dominant noise source at the time of measurement. Considering other sources of ambient noise in built-up environments, this suggests that human error is a distinct possibility in these cases, making clear identification of the offending sound source difficult. Some existing products can use simultaneous measurements to overcome this, but again this is not standard practice. A simpler approach used in some cases compares C- and A-weighted measurements. If the difference is greater than 20 dB then a more detailed investigation is required, as there is significant low-frequency energy which may pose a problem.

 

3 RECOMMENDATIONS

 

While it is unlikely that standards and regulations will change in the near- to mid-term, there are certain methods that can be developed and implemented relatively quickly to help alleviate certain issues surrounding the challenges discussed in Section 2.

 

3.1 Sound Level Monitoring User Interface

 

A recent survey of over 2000 live sound engineers [10] highlighted the disparity in education across the sector. While many engineers are well-educated on the use of various metrics for sound-level monitoring, many are not. When considering appropriate user interfaces for sound engineers to use for this purpose, care must be taken to keep the display simple. In the extreme, even if the software is performing a complicated set of calculations in the background, perhaps the display should be binary where green is displayed when all is well, and red is displayed when the engineer needs to decrease the level? Even if an extremely simplified interface such as this isn’t deemed appropriate, care must be taken to avoid contributing to the visual clutter encountered by live sound engineers at modern-day events – they are supposed to be focusing on what they hear, of course.

 

As discussed in [6], care must be taken to avoid engineers “mixing to the limit”. In [16] it is suggested that a user interface based on LDR would be effective, whereby a target dynamic range could be defined before a performance and then an engineer would be able to see how much sound “capital” remains throughout the show. This would avoid a focus on a numerical sound level against a target. Instead, the true metric imposed by a local sound level limit would be hidden from the engineer and repackaged as a tool to ensure musical dynamics are maintained/achieved.

 

3.2 Multiple Monitoring Time Frames

 

As discussed in Section 2.4, an engineer will struggle to ensure compliance with an imposed limit if the specified integration time is greater than around 15 minutes. A useful practice currently adopted by many engineers is to employ a secondary Leq monitor which uses a shorter time frame to provide more immediate information regarding a performance’s sound level in relation to the limit [16]. This could be expanded upon to include multiple monitoring time frames, whereby an LED ladder, of sorts, could be implemented, where each successive step up the ladder represents a longer time frame [16]. Such an approach is already in use by one of the authors.

 

3.3 Perceptual Loudness Enhancement

 

Several methods are available to live sound engineers to increase the perceived loudness of a performance without objectively increasing the sound pressure level. The classical approach involves multiband compression, but this will reduce LDR which may detract from the audience's listening experience if overused (as is often the case in modern recorded music) [16].

 

Another approach involves increasing the sound system’s bandwidth towards the infrasonic range. Research has shown that there exists a trade-off between system bandwidth and preferred listening level (PLL). When infrasonic content is included in a mix, listeners tend to be happy with an overall mix level of roughly 1-2 dB lower as compared to a non-infrasonic-equipped sound system [17]. This relationship requires further research to better understand any limitations of this idea. Additionally, the added infrasonic content is likely to cause problems with noise pollution management.

 

Lastly, two psychoacoustical effects are regularly used in practice when an objective increase in level isn’t possible. Virtual bass (the phenomenon of the missing fundamental) allows for a perceived increase in low-frequency content through the introduction of higher harmonics, although this effect can only be used in moderation, otherwise, it will introduce perceptual distortion to the system. The purposeful introduction of harmonic distortion is also occasionally used by live sound engineers, following the principle outlined in Section 2.1 whereby an increase in total harmonic distortion is often perceived by an audience as an increase in loudness. While this may be an unfortunate learned experience of the general public, it is known to be useful in difficult situations with overly restrictive sound level limits [16].

 

3.4 Violation Prediction

 

Some sound level monitoring software packages include a form of sound level violation prediction which gives engineers advance notice of a limit violation by performing a rolling statistical analysis of the incoming data. An improved limit violation algorithm was presented in [16], whereby the incoming data is analysed using both a standard simple moving average window (SMA) as well as an exponential moving average window (EMA). The algorithm uses the outputs of the two analysis windows within a recursive calculation that adjusts the weighting of each over time to “learn” the mixing habits of the engineer for that particular show.

 

Early trials using this method have shown to give accurate warnings of an impending limit violation up to 50% of the SMA window ahead of time (i.e. 30 minutes warning for a 60-minute SMA). This is illustrated in Figures 3.1 and 3.2, reproduced from [16].

 

 

Figure 3.1: Example output from the level limit violation warning system using real-world data [16]

 

 

Figure 3.2: Mean root mean square error (RMSE) for the limit warning algorithm, as examined over datasets from 141 live events [16]

 

3.5 Education and Certification

 

The 2020 AES technical document [3] concludes with a suggestion for a focused initiative that aims to further educate all key stakeholders within the live event sector, with a specific focus on live sound engineers. This is in response to the gaps in knowledge identified by the extensive survey of engineers in [10] as well as the authors’ cumulative experience (of over 100 years) in the industry.

 

Such an initiative, which would include elements of education (leading to certification) and research (leading to fewer gaps in fundamental knowledge and improved technology), could be termed the Healthy Ears, Limited Annoyance (HELA) Initiative in reference to keeping audience members protected from serious hearing damage while simultaneously putting processes in place to minimize community annoyance.

 

The content of such a scheme has been expanded upon in [19], including key learning outcomes, program structure and governance structure. The certification program would present current best practices to all key stakeholders, principally focusing on knowledge/skills that can be directly applied in practice. It is envisioned that the certification would be valid for five years before a renewal is required, whereby participants can opt into an agreement of best practice where they are indicating that they will always work to avoid overexposing people to sound and will strive to do whatever is reasonably practicable to minimize community annoyance. Doing this will allow them to display the certification badge to make it clear that they are HELA-certified. This could be for engineers, venues, musicians/bands, promoters, or acoustic consultants.

 

4 CONCLUSIONS AND FURTHER WORK

 

Live event sound level monitoring and management is more important than ever, with strict regulations (on audience sound exposure and community noise pollution) becoming more widespread in recent years. It is clear, however, that many elements within a live event production have the potential to cause problems in complying with such regulations while simultaneously delivering an excellent listening experience to the audience.

 

Some such elements include impractical regulations (in terms of level limit and integration time), poor venue acoustics (causing an engineer to increase the sound level when “fighting” the poor acoustics), poor sound system design (leading to high variance across an audience), poor user interface design (resulting in sound level monitoring software causing engineers to “mix to the limit” or unwittingly use up their “sound capital” early on in the event), problematic noise pollution monitoring practices (where the low signal to noise ratios or varying environmental conditions make an accurate assessment of the situation difficult), and poor education (where engineers and other key stakeholders have a poor grasp of key concepts surrounding this area).

 

While it is easy to read a paper such as this thinking exclusively of large-scale live events, readers must remember that most live events take place in small to medium-sized venues. In such scenarios, it is unlikely that there will be a sufficient budget to adequately treat the venue acoustics or install the most appropriate sound system. It is, therefore, necessary to focus on the educational aspects discussed in this paper to ensure that these venues’ technicians will be competent in the current best practice and be equipped with appropriate methods for minimizing hearing health risks and noise pollution issues during their day-to-day work.

 

This paper offers few solutions to the outlined problems but does point to necessary further research that is necessary to fill the existing knowledge gaps. This is best detailed in the AES technical document [3]. The authors hope that such research will be taken on by a wide range of academics and industry professionals in a global effort to ensure the continuing success of the live event industry, where a peaceful coexistence with local communities is within the grasp of all venues and events.

 

5 REFERENCES

 

  1. World Health Organization. Environmental noise guidelines for the European Region. (2018).

  2. World Health Organization. Guidelines for community noise. WHO, Geneva (1999).

  3. A. J. Hill (chairman and editor), Understanding and Managing Sound Exposure and Noise Pollution at Outdoor Events. Audio Engineering Society Technical Document AESTD1007.1.20-05 (May 2020).

  4. World Health Organization. WHO global standard for safe listening venues and events. (2022).

  5. J. Angus, “Is Class D the most efficient amplifier for real audio signals,” Proc. Institute of Acoustics – Conference on Reproduced Sound, Moreton-in-Marsh, UK, November 2016.

  6. S. McGinnity, J. Mulder, E. F. Beach, and R. Cowan, “Management of sound levels in live music venues,” J. Audio Eng. Soc., vol. 67, no. 12, pp. 972–985, 2019.

  7. S. E. Durbridge and A. J. Hill, “Efficient acoustic modelling of large acoustic spaces using finite difference methods,” Proc. Institute of Acoustics – Conference on Reproduced Sound, Nottingham, UK, November 2017.

  8. A. J. Hill, J. Mulder, M. Kok, J. Burton, A. Kociper, and A. Berrios, “A case study on sound level monitoring and management at large-scale music festivals,” Proc. Institute of Acoustics – Conference on Reproduced Sound, Bristol, UK, November 2019.

  9. A. J. Hill and J. Burton, “A case study on the impact live event sound level regulations have on sound engineering practice,” Proc. Institute of Acoustics – Conference on Reproduced Sound (online), November 2020.

  10. J. Mulder, A. J. Hill, J. Burton, M. Kok, and M. Lawrence, “Sound level monitoring at live events, Part 2 – Regulations, practices, and preferences,” J. Audio Eng. Soc., vol. 70, no. 1/2, pp. 62–72, January 2022.

  11. I. M. Wiggins and K. Liston, Sound distribution for safe listening in entertainment venues: A review. Make Listening Safe, World Health Organization, September 2020.

  12. R. Arnheim, “Perceptual dynamics in musical expression,” Music Quarterly, vol. 70, no. 3, pp. 295–309, July 1984. https://doi.org/10.1093/mq/LXX.3.295.

  13. A. J. Hill, J. Mulder, J. Burton, M. Kok, and M. Lawrence, “Sound level monitoring at live events, Part 1 – Live dynamic range,” J. Audio Eng. Soc., vol. 69, no. 11, pp. 782–792, November 2021.

  14. M. Kok, A. Hill, J. Burton, J. Mulder, and M. Lawrence, “The influence of audience participatory noise on sound levels at live events,” InterNoise, Glasgow, UK, August 2022.

  15. J. Segura, F. Santiago, M. Cobos, A. Torres, and J. M. Navarro, “Psychoacoustic annoyance monitoring with WASN for assessment in urban areas,” Audio Engineering Society Convention 138, Audio Engineering Society, 2015.

  16. A. J. Hill, J. Mulder, J. Burton, M. Kok, and M. Lawrence, “Sound level monitoring at live events, Part 3 – Improved tools and procedures,” J. Audio Eng. Soc., vol. 70, no. 1/2, pp. 73–82, January 2022.

  17. J. G. Burton, D. T. Murphy, and J. S. Brereton, “Perception of low frequency content of amplified music in arenas and open-air music festivals,” Audio Engineering Society Conference: 2017 AES International Conference on Sound Reinforcement – Open Air Venues., Audio Engineering Society, 2017.

  18. A. J. Hill and M. O. J. Hawksford, “A hybrid virtual bass system for optimized steady-state and transient performance,” in Proceedings of the 2nd Computer Science and Electronic Engineering Conference, pp. 1–6, Colchester, UK, September 2010. https://doi.org/10.1109/CEEC.2010.5606489.

  19. J. Mulder, A. Hill, J. Burton, M. Kok, M. Lawrence, and E. Shabalina, “Education and certification in sound pressure level measurement, monitoring and management at entertainment events,” AES International Conference on Audio Education, July 2021.