Welcome to the new IOA website! Please reset your password to access your account.

Proceedings of the Institute of Acoustics

A QUANTITATIVE METHOD OF ISOLATING SENSITIVE EQUIPMENT USING AIR Adam Fox CEng MIMechE AMIOA, Mason U.K. Ltd. 1 INTRODUCTION

It is desirable and convenient to place scientific, health and education facilities close to urban areas so that they are easier to access. This brings problems in terms of proximity to ground-borne vibration sources such as local transportation. Furthermore, the cost of land and construction can force placement of sensitive facilities on suspended and lightweight structural elements. This paper discusses the available methods of achieving effective isolation. For the most challenging locations, air isolation offers extremely high performance but this is difficult to quantify for a very low vibration criterion. This reality adds risk to high-value installations where air springs are typically specified. This paper therefore presents the typical calculation method but also the result of physical testing designed to validate the calculation method, in order to provide more certainty for future projects. The calculation method was used to support the design of a presented case study, where an electron microscope was installed on air springs to isolate against local rail vibration. 2 OVERVIEW OF TYPICAL SENSITIVE EQUIPMENT

Typical vibration sensitive equipment would be electron microscopes, nanotechnology applications, precision manufacturing such as microprocessors and magnetic resonance imaging machines. It is always ideal to location such equipment in a robust structure far from any problematic vibration source such as road and rail traffic, but this is not always possible due to the desire to have an urban location for ease of access. A further factor is that many buildings are multi-purpose so it is not cost- effective to design around one piece of equipment. There is also the need to consider futureproofing as many research buildings have a legacy aspect. Because introducing a robust isolation system can have a major space requirement, it is not viable to retrospectively install. It is therefore desirable to install a system which will offer a flexible space for possible future equipment. 3 TYPICAL CRITERIA

Vibration criterion curves (Figure 1) are the most common method of specifying a suitable environment. Equipment manufacturers typically set the required level following discussion with the end user since, for example, the intended magnification level can dictate the sensitivity to vibration.

Vol. 43. Pt. 1. 2021

Proceedings of the Institute of Acoustics

Figure 1 – Vibration Criterion curves

The influence of the supporting structure falls outside the scope of this paper but it is exceptionally important that this be taken into account along with internal vibration sources such as footfall. The specifying consultant, via modelling or site measurement, establishes if the desired VC curve will be exceeded at any point of the spectrum. The vibration equipment supplier can use this information to determine what practical isolation measures will be required. For minor exceedances tending towards 100Hz, conventional isolation measures such as elastomeric or helical spring may be suitable. But, either due to a combination of resonance modes inherent in elastomeric and spring isolators or because sub-10Hz energy needs to be isolated, air springs are typically necessary for the more demanding VC curves.

Vol. 43. Pt. 1. 2021

Proceedings of the Institute of Acoustics

4 AIR ISOLATION SYSTEMS

Fundamentally, air springs are a elastomeric bellows which hold pressurised gas, typically nitrogen, to reduce leak risk. The physical size of the air spring and the internal pressure provides a capacity to support load, so equipment is supported on columns of air (example in Figure 2)

Figure 2 – Example of air spring supported equipment A series of values are used to feed or vent air from each air bag to level. The system is self-levelling and due to the use of valves introducing a damping effect there are two major benefits:

1. Very low support natural frequencies can be achieved: sub 2Hz. 2. Sub 2Hz can be achieved with a helical spring system but due to the large deflection

required from a spring, the support system will be mobile and prone to excitation/resonant response. This is not the case with an air spring system as air springs do not have a significant resonant condition at any point in the spectrum. 5 FREQUENCY CALCULATION METHOD

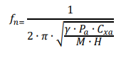
The principle natural frequency remains the main influence on overall performance and is the focus of this paper. Equation 1 and details illustrated in Figure 3 are used to determine the natural frequency of an air spring. It is important to note that this equation is designed around a mass supported by a column of air, analogous to a mass dropped into a frictionless cylinder. The dimensions of the cylinder and the nature of the gas inside affects with what frequency the mass will oscillate within.

Vol. 43. Pt. 1. 2021

Proceedings of the Institute of Acoustics

γ = Adiabatic gas constant (typically 1.4) P a = Pressure in cylinder (Pascal) C xa = Cross sectional area of cylinder (m 2 ) or average diameter of the air spring/tank. M = Mass on cylinder (kg) H = Height of cylinder containing air (m)

" DIAMETER > "MD" MAXIMUM Top & BOTTOM “MO MeN “D" DIAMETER TOP & BOTTOM stppen and 8 | INSTALLED NeicHT

Figure 3 – cut through of typical air spring (Mason Industries type MT) Because the height of the air column has a major influence, it is common to attach the air spring to a supplementary tank, which as shown in Figure 4 can either be incorporated into a support stanchion or by connection to a supplementary tank which can provide a more space-efficient arrangement. The photo is from an ultrasound equipment isolated base in Oxford.

Figure 4 – air spring on hollow station (L) and remote tanks to save space (R)

Vol. 43. Pt. 1. 2021

Proceedings of the Institute of Acoustics

6 FREQUENCY CALCULATION VALIDATION TESTS

Equation (1) does not consider the air spring itself. This is an elastomeric bellows which is specifically designed with semi-circular cross section allowing for low spring rate, but a spring rate does exist which elicits a frequency response separate to that of the column of air. To better understand this effect and to help validate equation (1), a series of tests were carried out with the following aims:

1. Establish a baseline natural frequency for a typical air spring installation. 2. Demonstrate the effect of adding additional air volume, effectively increasing the effective

air column. 3. Finally, to demonstrate the increased damping inherent with air spring systems, contributing

to the lack of resonant response – since this is a crucial benefit when providing isolation to very low driving frequencies. 6.1 Test Arrangement

Figures 5 and 6 display the test arrangement. A steel frame was filled with concrete to provide an inertial slab with significant stiffness. A stiff supporting mass is a critical part of any isolated system to avoid generating new modes of vibration which could influence the results. A 70kg drop rig was also designed so a similarly large impulse force could be generated. Tri-axis accelerometers were placed on each air spring location.

Figure 5 – general view of test rig

Vol. 43. Pt. 1. 2021

Proceedings of the Institute of Acoustics

Figure 6 – Close up of air spring. The accelerometer can be seen on the top of the spring bracket. Figure 6 shows a value which was used to add or subtract the extra volume of air provided by the hollow supporting station. The slab was subjected to three forcing events. Oscillations were measured using four accelerometers, model TLD333B50 from PCB Piezotronics. These were connected to a PC fitted with a data acquisition module, model NI-9234 from National Instruments and running LabView Sound and Vibration Assistant software, also from National Instruments. 6.2 Test Results

Tests were carried out with two types of air spring and a number of helical spring isolators. Results are presented in Table 1 and a graphical representation of the damping/decay can be seen in Figure 7.

Test number

Mason Industries Specimen model

Mass per isolator

Recorded natural frequency

Recorded damping ratio 1 MT-4 air spring 865kg 2.62Hz 2.59% 2 MT-4 air spring with additional air volume

865kg 2.37Hz 3.29%

3 MAS-3000 rolling lobe type air spring

865kg 2.00Hz 4.28%

4 MAS-3000 rolling lobe type air spring with additional air volume

865kg 1.66HZ 10.16%

5 Comparator – type SLF-109 helical spring isolator

1035kg 2.20HZ 0.13%

Table 1 – Summary of results from test

Vol. 43. Pt. 1. 2021

Proceedings of the Institute of Acoustics

Figure 7 – Decay of air spring (L) and helical spring isolator (R) Entering the test configuration into Equation (1) results in the two main points:

1. The equation baseline needs to be factored up to consider the baseline inherent in the

elastomeric carcass, but this effect can be minimised by using a lower spring rate rolling lobe design such as the MAS-3000. 2. Increasing the air volume does lower the natural frequency by a similar quantity from Equation

1 and that seen in the results. The equation is therefore a suitable method of demonstrating likely benefit of including extra air volume. 7 CASE STUDY EXAMPLE

The example case study is from a current project with a scanning electron microscope with a VC-G requirement, situated near a railway line. Maximum space was allocated to the installation to allow a deep section keel slab and tall stanchions for additional air volume. The deep section keel slab is present to designed to add stability, lower centre of gravity and maximum possible stiffness given volume constraints, to avoid generating additional response modes. The calculated system frequency is circa 1.4Hz.

Figure 8 – Cross-section through final air spring base design

Vol. 43. Pt. 1. 2021

Neminal datiny [an ar 27S Newhingt 84Brnn adanichi Height TRG, | . Height 1B

Proceedings of the Institute of Acoustics

Figure 9 shows a photo of the ongoing construction. The reinforcing mesh is coated in resin to reduce the risk of electromagnetic continuity. A number of the air spring system components were also fabricated in stainless steel for the same reason.

Figure 9 – construction of keel slab for VC-G project 8 CONCLUSIONS

This paper has documented testing commissioned to better understand frequency response and damping of air-sprung systems. The accepted equation for calculating frequency response has been shown to have reasonable correlation but not to consider system element response, inherent with installations of this type. 9 REFERENCES

1. Michael Gendreau, Hal Amick, Colin G Gordon, ‘Facility Vibration Issues for Nanotechnology Research’ Symposium on Nano Device Technology 2002. 2. Hal Amick, Paulo J. M. Monteiro, ‘Vibration Control Using Large Pneumatic Isolation Systems with Damped Concrete Inertia Masses’ 7 th International Conference on Motion and Vibration Control 2004. 3. Victor Clemente, ‘Mason Industries Spring Natural Frequency and Damping Ratio Testing’ March 2020

Vol. 43. Pt. 1. 2021