Welcome to the new IOA website! Please reset your password to access your account.

Proceedings of the Institute of Acoustics

OPTIMISATION OF RAILWAY NOISE BARRIER DESIGN USING FINITE ELEMENT AND BOUNDARY ELEMENT MODELLING METHODS César Bustos Cesar.Bustos@arup.com Vincent Jurdic Vincent.Jurdic@arup.com Calum Sharp Calum.Sharp@arup.com David Hiller David.Hiller@arup.com Arup, 8 Fitzroy Street, London, W1T 4BQ, UK Abstract

The prediction of environmental noise barrier insertion loss (IL) is commonly undertaken from widely available empirical methods derived from measurements and geometrical acoustic approximations. During detailed design, the accuracy of these methods is limited when assessing the performance of non-conventional noise barriers or the sound absorption requirements. This article presents a methodology to optimise and improve confidence in the detailed design of railway noise barriers using a simplified numerical method. The numerical method is based on a two-dimensional hybrid finite element and boundary element analysis. It assumes an infinitely long train with pre-defined rolling, body aerodynamic and pantograph sound sources. The numerical model quantifies the effect of various parameters upon the barrier IL including material properties; area and location of sound absorbing materials; diffraction over the barrier top; and analysis of energy build-up between train and barrier. The outcome of this study can be extended to other transportation applications when designing non-conventional environmental noise barriers. 1 INTRODUCTION

The design and implementation of environmental noise barriers is an essential part of any large transportation project. Through the detailed design of projects such as railways or highways, it is essential to consider and control their impacts upon the environment. Noise emission is an important aspect to assess as it has the potential to give rise to significant adverse effects upon sensitive receptors such as residential dwellings and communities. Where mitigation is required to eliminate or minimise such significant effects, environmental noise barriers are a common solution to provide screening between the source and receiver. Environmental noise barriers may be difficult to implement, especially in places where there is not sufficient space to erect the barrier, or where the barrier could itself result in other environmental impacts (e.g. landscape and visual impacts) or health and safety concerns. These barriers can also be expensive to construct and maintain, hence it is imperative that the design of such barriers must be carefully considered. There are several standard and well-established methods to predict the insertion loss (IL) 1 of a noise barrier. These methods are generally based upon empirical approximations e.g. geometrical acoustics and complemented with measurements of existing barriers. These standard methods are robust and useful at early stages of a project for a high-level assessment. However, for detailed design stages, the standard methods are limited in accuracy. These standard methods do not easily account for detailed parameters including:

• specific geometry of barriers (e.g. cranked tops, barrier slant);

1 Insertion loss (IL) is defined as the noise reduction provided by a barrier compared to the free field scenario.

Vol. 43. Pt. 1. 2021

Proceedings of the Institute of Acoustics

• characteristics of any sound absorption; • location of absorption (e.g. on different parts of the barrier to target different sources); • energy build-up between source and barrier to consider reflections back and forth between the body of the source, the ground and the barrier; or • diffraction effects over the barrier. To assess the IL performance of non-conventionnel noise barriers, a mock-up is often built and tested, increasing significantly the design cost. This article presents a methodology developed to build a hybrid numerical model to predict IL, when the parameters listed above are considered. The numerical model built in COMSOL Multiphysics© uses a combination of Finite Element Analysis (FEA) and Boundary Element Analysis (BEA) to model the propagation of acoustic energy emitted by a vehicle, from its dominant noise sources. The model accounts for the interaction of the acoustic waves between sources and receptors and allows a calculation of barrier IL at any point in space as a function of sound frequency. The numerical model allows a quantifiable assessment of different configurations in terms of barrier geometry to minimise noise and visual impact. Moreover, the numerical model enables a study of the benefits that arise from the quantity and location of sound absorbing materials so that these can be optimised. The numerical model helps improve the environmental barrier design which effectively reduces the quantity of materials used, improves its cost effectiveness and reduces maintenance requirements without adversely affecting the IL performance. 2 STATE OF THE ART

The prediction of noise barrier performance is a widely studied subject and the literature available is extensive. The standard ISO9613.2 [1] describes a method to calculate IL from screening obstacles using the Fresnel number approximation which belongs to geometrical acoustics. The Maekawa [2] and Degout [3] methods are also based upon the same principles with additional corrections to enhance accuracy. The Calculation of Road Traffic Noise (CRTN) [4], developed in the United Kingdom, presents a simple method to predict screening correction based on path difference and on whether the receptor is the shadow zone or the illuminated zone. The study of the benefit of changing barrier top geometries and implementing absorbing materials in environmental barriers has also been studied before. K. Attenborough [5] presents an extensive list of references and examples used to predict the performance of outdoor noise barriers. Ishizuka and Fujiwara [6] present a summary of a BEM analysis of various barrier tops and conclude that the improvement of the barrier IL in broadband could be around 4-5dB. A study undertaken by A.L’Espérance, J.Nicolas and G.A.Daigle [7] based on laboratory data found that the improvement of absorbing barriers would range between 3 and 5dB, depending on the location of the barrier and the location of absorption. A similar comparison carried out by P.A.Morgan [8] concluded that the IL of a rigid screen would improve by 6 to 10dB. This article also refers to the Train Noise Prediction Method (TNPM) developed for the Channel Tunnel Rail Link [9]. The studies presented in this section, have been used to benchmark the FEM-BEM model built to assess and optimise the design of railway barriers.

Vol. 43. Pt. 1. 2021

Proceedings of the Institute of Acoustics

3 MODELLING

3.1 Benchmarking of numerical predictions

The first step was to setup a simple numerical model to compare against some of the most widely used IL standard prediction methods. The numerical method is a hybrid combination of Finite Element Method (FEM) and Boundary Element Method (BEM). A monopole, as a simple noise source, is modelled within a FEM environment. The propagation of energy, however, is more efficiently modelled within a BEM environment as it is necessary to calculate the sound pressure at various locations a distance away from the source. The COMSOL multi-physics coupling between FEM and BEM allowed the model to work efficiently and hence the reason the model is called a hybrid FEM-BEM. When comparing different methods to each other, it is important to have a clear understanding of their assumptions and boundary conditions. To ensure the comparison was like-to-like, the FEM-BEM model emulates the standard methods by recreating the same source-receiver geometry (to have the same path difference) and by solving a simple monopole in the air with no complex impedance-ground interaction. This is done by creating a ‘cliff’ configuration (or can be thought of as an infinitely vertically long barrier) as shown in Figure 1a.

Figure 1 (a) Simple model built in FEM-BEM to allow comparison to standard methods and (b) results as function of frequency The FEM-BEM model is solved for single frequencies and predicts a narrowband IL (continuous black lines in Figure 1b). The model was solved for 10 logarithmically equally spaced frequencies per octave band. The narrowband IL predictions were then converted to obtain an octave band IL spectrum (black bars in Figure 1b). This octave band spectrum is compared against the standard methods in Figure 1b, which shows that the results are in good agreement and gives confidence in the numerical model. A mesh analysis was also undertaken to ensure there was a sufficient number of degrees of freedom without deviation in the results. 3.2 Railway model assumptions

Undertaking a detailed numerical prediction of a railway’s infrastructure would result in significant computing cost due to its complexities (e.g. geometry, frequency range, moving sources, incoherent sources). The main aim of the model is to assess the relative performance of various barrier configurations rather than predicting accurately the overall noise level at nearby receivers. To

Vol. 43. Pt. 1. 2021

Proceedings of the Institute of Acoustics

maintain the robustness and flexibility (and computing time efficiency) of the model, the following assumptions have been made:

• The computation domain is reduced to a two-dimensional model (infinitely long geometry in the z-axis). • The geometry of the train and rail corridor is simplified (refer to section 3.3). The train body is included to consider wave reflection effects but the train itself remains static:

o The aerodynamic effects due to the air movement within the rail corridor are ignored; o The noise sources are pre-defined at specific locations of the train section (see section 3.4). • The airborne transmission through the barrier itself or the structure-borne noise generated by the barrier vibration are assumed to be negligible. • As described in section 3.1, the ground between barrier and receiver side is not modelled (“cliff” model approach). Hard boundary conditions (i.e. fully acoustic reflective) have been set on all surfaces except on the internal side of the barrier. For this boundary, different impedance conditions have been set to consider sound absorbing materials (see section 3.5). 3.3 Railway geometry

To limit the computational time of the model, the geometries of both the rail corridor and train body have been simplified. The rail corridor is assumed to be a flat slab with the rail slightly elevated. Details such as drainage trench and overhead catenary have been removed. The simplified cross-section is shown in Figure 2. Torsion beams are often required to ensure the stability and resilience of the barrier. The modelled barrier includes the torsion beam which presents a reflective surface close to the rolling noise source.

Figure 2 Geometry, sound sources and simplified cross-section of a train and the location and relative amplitude of sound sources 2 3.4 Source definition

Noise sources of a train pass-by are generally categorised into 5 different sources (e.g. Marshal et al [10]):

• Rolling noise: generated by the wheel and rail interaction; • Body aerodynamic noise: generated by airflow interacting with the discontinuities of the lower region of the train body; • Engine noise: generated by the propulsion and ancillary systems;

2 TOR stands for Top Of Rail (TOR)

Vol. 43. Pt. 1. 2021

Tenet | Anata revete some “wane | “rte inim | _ Sten) nko Baty cee (om

Proceedings of the Institute of Acoustics

• Raised pantograph noise: generated from airflow around the pantograph used in overhead power lines; • Pantograph well noise: generated by the upper part of the train where the recessed pantograph lays. This paper presents the results predicted for a typical high-speed train traveling at 320km/h. At this speed the engine noise contribution compared to the other noise sources is assumed to be negligible. The engine noise sources are therefore not included in the model to improve computation time. Similarly, because a 2D model is proposed, the pantograph well source has also not been included to avoid a super-position of the raised and recessed pantograph sources. The location and relative contribution of the three remaining noise sources has been defined as presented in Figure 2 and described in [10]. The sources are modelled independent from each other so that the energy addition is done incoherently with no dependency on wave phase. The rolling and aerodynamic noise sources are modelled as simple monopoles. The pantograph noise sources have been modelled as two monopoles, vertically distributed to provide a dipole-like directivity pattern. Only the directivity of the pantograph has been considered since this is the only source located above the barrier top and its contribution might become dominant at nearby receivers after the noise barrier is introduced. The two pantograph monopoles have been calibrated to ensure the resultant directivity is in good agreement with the directivity measured by Jaume et al [11] as shown in Figure 3.

Figure 3 Pantograph directivity at 320km/h - green solid line shows the measured directivity and red solid lines shows predicted directivity For each source, a typical spectrum has been set based on available published data and Arup’s extensive measurement database. 3.5 Absorption model

The reflective surface of the train body will play an important role in the energy build-up between source and barrier, which will impact the noise diffraction over the barrier and propagation to receptors. The energy build-up between source and barrier also will influence where it is best to place absorption. For the body of the train and the barrier, the boundary conditions are set as a sound hard boundary where all energy is perfectly reflected. Having a sound hard boundary in a FEM-BEM model will create

Vol. 43. Pt. 1. 2021

Proceedings of the Institute of Acoustics

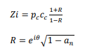
‘perfect reflections’ which consequently will generate pronounced constructive and destructive interference at some point in space. This comb filter effect, which does take place in practice to some extent, may make the IL prediction vary significantly between adjacent frequencies. It is not possible to easily eliminate this effect in the FEM-BEM model unless a complex expression for impedance is developed. This, however, will increase the calculation time and was therefore not considered in this study. There are numerous ways in which the boundary condition of the absorptive barrier could be defined. The most common ones are assuming a porous layer; a ‘characteristic specific impedance’; and an impedance condition dependent on absorption coefficient. The porous layer boundary condition sets the barrier as a poroacoustic model which is defined from material properties such as flow resistivity or porosity. The well-known Delany-Bazley [12] approach (with the Miki [13] modification) could be implemented to solve the differential equations at the boundary. The definition of absorption based upon the ‘characteristic specific impedance’ allows the boundary to be defined as a complex impedance function – several methods are presented in Cox and d’Antonio [14]). However, the most common way to define and quantify an absorptive material is to use the absorption coefficient α. This approach assumes incoming plane waves, which may not be ideal for the noise sources that represent a train, but there is more availability and certainty on absorption coefficients than the other material properties such as flow resistivity or porosity. For the FEM-BEM model the boundary condition of the absorptive barrier is defined is defined as:

Where p c and c c are the density of air and the speed of sound respectively. Theta 𝜃 is the acoustic wave phase which is assumed to be zero for simplicity as waves are assumed to be incoming plane waves. Alpha 𝑎 is the absorption coefficient which is a function of frequency and can normally be provided by manufacturers. 3.6 Model output

 

The performance of a noise barrier is quantified through its IL value. This value is obtained by subtracting the overall predicted sound pressure levels at a receiver point with and without the barrier. The sound pressure level of each source is derived from the narrowband numerical results by converting them first into broadband spectra and by applying the A-weighting filter. The overall sound pressure levels are obtained by summing the derived A-weighted sound pressure levels of the three sources. Insertion loss of a noise barrier is also associated with a path difference value between the source and receiver, such as:

Where  is the path difference, a is the distance between source and top of the barrier, b is the distance between the top of the barrier and receiver, and c is the distance between the source and receptor. The numerical model assumed three sources located at different positions along the train cross- section: for the same receiver location, different path differences can be associated with each source. However, when comparing with IL measurements, a single path difference is defined for a train passage by assuming a source located at 0.5m above the rail as done for the TNPM [9].

Vol. 43. Pt. 1. 2021

Proceedings of the Institute of Acoustics

4 RESULTS

4.1 TNPM curve

Standard methods do not easily quantify the effect of the train body as they are generally based on a single ray analysis. For the validation of the body train, the model result was compared to an empirical method based on site measurements of various barriers. The empirical method extrapolates the site IL measurements to allow a prediction of IL as a function of path difference for an average train. The empirical method also considers whether the barrier is reflective or absorptive. Figure 4 below, shows that the results of the FEM-BEM model are comparable to that of the empirical method [9]. The results are not expected to be identical, as the empirical method measured various train and barriers, different to the modelled geometry in the FEM-BEM model. Since the prediction of a barrier IL is dependent upon the location the source, barrier and receiver, a more efficient way to use the FEM-BEM model is to predict IL to a grid and then extrapolate the results to find a trend curve which defines IL as function of path difference. The FEM-BEM model is therefore solved for a grid on the receptor side as shown in Figure 6. The grid ranges from 0m to 8m on the x- axis and from 0m to 10m in the y-axis and contains 100x100 points. The results presented in Figure 4 show that the boundary condition defined from the absorption coefficient gives comparable results to the empirical method [9]. Upon close inspection of Figure 5 and Figure 6, it can be seen that absorption reduces the sound pressure level within the rail corridor (between train and barrier) and it consequently increases the IL on the receptor side. 4.2 Results at receiver

The FEM-BEM model was used by the design team to undertake a relatively large number of iterations and parametric studies to quantify and inform the best barrier geometry and the most efficient location for absorption. For the train and barrier geometry assessed in this study, it was found that the height of the barrier relative to the height of the reflecting train body is an important parameter to consider when developing barrier design – regardless of the position of the actual noise sources. This is because the sound pressure level formed within the rail corridor (as a result of the energy reflection back-and- forth from train to barrier) impacts the energy diffraction over the barrier as shown in Figure 7. For the assessed receptor, which was within the acoustic shadow zone, if the barrier is taller than the train then the effect of having absorption would improve by only 1-2dB(A), but if the barrier height is less than the train then the benefit of having absorption is 2-4dB(A). Table 1 shows the results of various BEM-FEM models calculated at the receptor which was most exposed to the railway. This exercise is done with one path difference only to allow a direct comparison between the barrier designs. As shown in the table, absorption does not make a significant improvement when the barrier is higher than the train. This is because at the assessed receptor, the body of the train is not reflecting energy out to the receptor as it is screened already by the barrier (illustrated in Figure 7). The results are different when the height of the barrier is less than the train height as illustrated in the left image of Figure 9 and presented in the table below. The added absorption could mitigate train noise by almost 3dB at the receptor. If the barrier is brought about 1m closer to the train, the effect of absorption is even more evident. It can also be concluded that the most effective location for the absorption is towards the bottom of the barrier as this is where the noisiest sources are.

Vol. 43. Pt. 1. 2021

Proceedings of the Institute of Acoustics

aeay » 0 ° at os 00 os 10 as 20 Pathiferencem) = COMSOLN rece rndnd + COMSOLIL ste -Broncund + Kip Mathod tthe

Figure 4 Results of FEM-BEM model compared to empirical methods for a reflective and an absorptive barrier

re

Figure 5 Sound pressure level prediction of the FEM-BEM model for a simple reflective barrier (left) and an absorptive barrier (right)

Figure 6 IL prediction of the FEM-BEM model for a finite grid for a simple reflective barrier (left) and an absorptive barrier (right)

Figure 7 Illustration of energy built up within rail corridor. Barrier shorter than train (left) and barrier about the same height as train (right). Illustration only for body aerodynamic and rolling noise

Vol. 43. Pt. 1. 2021

- SS oo

Proceedings of the Institute of Acoustics

Table 1 BEM-FEM full model results at receptor within shadow zone

FEM-BEM model IL improvement Barrier higher than train 0% Absorptive barrier - 50 % Top of absorptive barrier 50% Bottom of absorptive barrier

+0.2dB +1.3dB 100% Absorptive barrier +1.4dB Train higher than barrier 0% Absorptive barrier - 50 % Top of absorptive barrier +1.1dB 100% Absorptive barrier +2.7dB Train higher than barrier – 1m closer to train

0% Absorptive barrier - 50% Bottom of absorptive barrier

+0.7dB +2.9dB 100% Absorptive barrier +3.5dB 5 CONCLUSION

50 % Top of absorptive barrier

A FEM-BEM model has been built to optimise the detailed design of railway noise barriers. The FEM-BEM model allows quantification of parameters which are not easily defined with standard methods, including geometry of train, absorption location, energy build-up within rail corridor and diffraction over the barrier top. The model has been tested and compared with the most widely used standard prediction methods. The results of IL prediction are in good agreement with standard methods, which increases confidence in the model. The FEM-BEM model also allows the results of IL prediction to be presented as function of path difference and this on its own allows the model to be tested in multiple ways. The train noise sources are modelled as a combination of monopoles and dipoles and these are placed on the relevant train location and are individually calibrated using measurements and relevant literature. The model included parameters such as height of the barrier relative to train height, shape of train body, distance between train and barrier and location of receptor. The model also allowed the investigation of the absorbing material as this was defined from its absorption coefficient. The FEM- BEM model was successfully used to advise on the optimal position on the barrier for absorption to be installed. The FEM-BEM shows the capabilities of using numerical modelling to undertake a large number of parametric studies to advise on the detail design of a railway noise barrier. 6 REFERENCES

1. ISO 9613-2:1996 Acoustics – Attenuation of sound during propagation outdoors – Part 2: General method of calculation 2. Maekawa, Z. 1965, Noise reduction by screens, Kobe University 11, 29.53, Japan. Mem. Faculty of Engineering . 3. Salomons E, Van Maercke D, Defrance J and de Roo F (2011). The Harmonoise Sound Propagation Model, Acta Acustica united Acustica 97, pp62-74.

Vol. 43. Pt. 1. 2021

Proceedings of the Institute of Acoustics

4. Calculation of Road Traffic Noise (1988). Department for Transport. United Kingdom Government. 5. Predicting Outdoor Sound, Keith Attenborough, Kai Ming Li, Kirill Horoshenkov. First published 2007 by Taylor & Francis. 6. T. Ishizuka and K. Fujiwara, Performance of noise barriers with variable edge shape and acoustical conditions, Applied Acoustics 65:125-141 (2004) 7. A.L’Espérance, J.Nicolas and G.A.Daigle, Insertion loss of absorbent barriers on ground, J. Acoust. Soc. Am., 86:1060–1064 (1989), and W.J.Hadden and A.D.Pierce, Sound diffraction around screens and wedges for arbitrary point-source locations, J. Acoust. Soc. Am., 69(5):1266–1276 (1981). 8. P.A.Morgan, D.C.Hothersall and S.N.Chandler-Wilde, Influence of shape and absorbing surface—a numerical study of railway noise barriers, J. Sound Vib., 217: 405–417 (1998). See also the Erratum, J. Acoust. Soc. Am., 71:1290 (1982). 9. Hood, R.A. et al.: Calculation of railway noise. Proc. Of the Institute of Acoustics (8) (1991). Also referred to as the Train Noise Prediction Method (TNPM) developed for the Channel Tunnel Rail Link. 10. Marshall T., Fenech B.A., Greer R. (2015) Derivation of Sound Emission Source Terms for High Speed Trains Running at Speeds in Excess of 300 km/h. In: Nielsen J. et al. (eds) Noise and Vibration Mitigation for Rail Transportation Systems. Notes on Numerical Fluid Mechanics and Multidisciplinary Design, vol 126. Springer, Berlin, Heidelberg. https://doi.org/10.1007/978-3-662-44832-8_58 11. Sole Bosquet J., Higuenet P., Sica G., “Evolution of pantograph noise directivity at increasing speeds” Internoise 2019, Madrid, Spain. 12. Delany, M.E., Bazley E.N., Acoustical properties of fibrous absorbent materials , Applied Acoustics vol.3, 1970, pp.105-116 13. Yasushi Miki, Faculty of Engineering, Takushoku University, 815-1, Tatemachi, Hachioji, 193 Japan (Received 11 March 1989) 14. Cox, Trevor J., and Peter D’Antonio. Acoustic Absorbers and Diffusers: Theory, Design and Application, CRC Press, 2009.

Vol. 43. Pt. 1. 2021