Welcome to the new IOA website! Please reset your password to access your account.

Proceedings of the Institute of Acoustics

NOISY NEIGHBOURS: TOWARDS A HYBRID PREDICTION AND TESTING PROCESS FOR SOUND INSULATING PARTITIONS

Gabriel Whittle iKoustic Soundproofing and the Acoustics Research Centre, University of Salford Andrew Elliott Acoustics Research Centre, University of Salford Joshua Meggitt Acoustics Research Centre, University of Salford Daniel Wong-McSweeney Acoustics Research Centre, University of Salford Rick Parsons iKoustic Soundproofing

email: g.c.r.whittle@salford.ac.uk

1 INTRODUCTION

There are numerous methods for characterising sound insulating and impact noise reducing compo- nents and systems, each with their own advantages and disadvantages. Two of the predominant mod- elling techniques for prediction of transmission loss through partitions are finite element analysis (FEA) and the transfer matrix method (TMM). FEA has the advantage that one can model the entire system, taking into account most of the degrees of freedom. However, this advantage makes the method more computationally expensive, especially in the high frequencies where the short wavelength dictates the length of computation, as identified in [ 1 ] . The TMM is useful for understanding how sound propagates through a medium and makes the addition of more layers to the model an easier task. There is an assumption of each layer as infinite, meaning that final results can be unreliable, as discussed in [ 2 ] . It is accepted that due to the distinct advantages and disadvantages inherent to each method, no one method is applicable for every system and across a broad frequency range. This paper is concerned with the creation of a method for characterising complex systems accurately with a view to creating a tool for optimisation of soundproofing technologies.

A hybrid experimental-numerical method utilising a component-based approach is proposed. A sound insulation partition is split into its constituent elements and characterised as individual subsys- tems using various methods to gather the frequency response functions (FRFs). These FRFs are then coupled using substructure synthesis and compared with physical assembly measurements. Through this manner, more complex partitions can be modelled without the need for massive computational expense and the ability to amend properties of individual components within the system allows for optimisation of the partition. At each stage of the modelling process, the model is validated against comparable physical assemblies to ensure the efficacy of the process.

Section 2 will introduce the methodology adopted, section 3 will offer validation to the models through comparison with measurements, and section 4 shows the results of the coupling process.

2 Methodology

This paper is aiming to show that models of subsystems can be coupled together to find the overall FRFs of the entire system. This section will detail the creation of models for beams, plates, and the method chosen for coupling the models. The eventual outcome will involve a situation like the one shown in figure 1 .

Vol. 43. Pt.1 2021

Proceedings of the Institute of Acoustics

Figure 1: Coupling of components.

2.1 Mobility

The first task in the creation of the hybrid method is identifying a method for characterising a compo- nent’s frequency response. The FRF which is most useful in this regard is mobility, which relates the input force ( F ) to the output velocity ( v ) in the equation:

Equation 1 is formulated in [ 3 ] , where fundamental concepts in mobility and impedance are ex- plained. The means to discover the mobility of a component differs depending on the complexity of the shape. In this paper, the data will generally be presented as a mobility matrix, where the diagonal entries to a 2 × 2 matrix represent point mobilities and the off diagonals represent transfer mobilities:

Although mobility is the predominant FRF discussed throughout this paper, impedance will also be utilised extensively, where the impedance is the inverse of the mobility, demonstrated in the equation:

2.2 Identifying and characterising individual components

A full sound insulation partition involves many parts which can be analysed individually. Finding a valid method to characterise these individual elements is important in the construction of the final prediction model. This section discusses the different components.

2.2.1 Beams

Integral to the construction of plasterboard partitions is a timber stud frame, where the individual studs are characterised as beams. The shape of a beam means that bending waves along the beam’s primary axis are the predominant modes of deflection, allowing for creation of a simpler model. In the

Vol. 43. Pt.1 2021

Plasterboard Plasterboard

Proceedings of the Institute of Acoustics

PhD thesis [ 4 ] , the closed form analytical equations for beams with different boundary equations are given. For this model, only beams with a free-free boundary condition are considered. For each material used within the beam model, the structural properties of Young’s modulus, den- sity, poisson’s ratio, and damping loss factor need to be known to get a representative result against measurements. The precise, analytical nature of the beam model means it is possible to use it to find some structural properties of materials. This is achieved by cutting the material into a beam-like structure and updating the model to the measurements by amending the structural properties.

2.2.2 Plates

Wall partition constructions will involve board-like structures like plasterboard which are screwed into the stud frame. These can be represented as plates, which due to their shape are more complicated to model than beams because of the wave interaction across the surface. The method chosen to find the FRFs of a plate is the finite element method. The mass and stiffness matrices, discovered using the PDE package [ 5 ] for MATLAB, are combined to create a modal summation model. This method is outlined in [ 6 ] .

2.3 Substructure rigid coupling

Each component within a system can be characterised analytically or numerically by FRFs. The method chosen to characterise the full system is substructuring, which can be used to couple two subsystems together. Substructuring is based on two assumptions: the continuity condition and the equilibrium condition (following Newton’s third law). Continuity assumes that if the source and receiver are rigidly coupled then the velocity at the interface point must be equal, and equilibrium assumes that the forces acting on source and receiver are opposite and equal. By following these conditions equation 4 can be derived. The substructuring method used in this paper is the direct method, but there are other routes to the same end goal utilising either the dual or primal substructuring method. De Klerk’s paper [ 7 ] is a good resource for understanding the value of the substructuring method. The paper explains the three major advantages of the methodology. The first is that it allows evaluation of structures that would otherwise be too large or have too many degrees of freedom to be computed numerically within a reasonable time frame. Secondly, by splitting the components into individual structures, problems within the system can be diagnosed, meaning that if the beam model computed above had a particular problematic frequency to be avoided, this can be identified. Finally, the method allows for sharing of substructures from different structures i.e. an alternative solution to the problematic beam could be instantly substituted and evaluated. Utilising substructuring methods, the FRFs can be coupled together in matrix form, leading to an understanding of the frequency response of the coupled system. Chapter three of Elliott’s thesis [ 8 ]

explains how a system can be substructured and coupled. Due to the continuity and equilibrium con- ditions for coupling, the FRFs to be coupled are at the interface points for the source and receiver structures. This means that the size of the mobility matrix for each subsystem will be the same and defined by the number of interface points. By inverting the mobility matrices gathered for both beam and plate using equation 3, the coupled system can be discovered and converted back to mobility. This is completed using the equations below,

where Y P ∈ C n × n is the mobility matrix for a plate and Y B ∈ C n × n is the mobility matrix for a beam and Y C ∈ C n × n is the mobility matrix for the coupled structure.

Vol. 43. Pt.1 2021

Proceedings of the Institute of Acoustics

3 Model validation

3.1 Beam

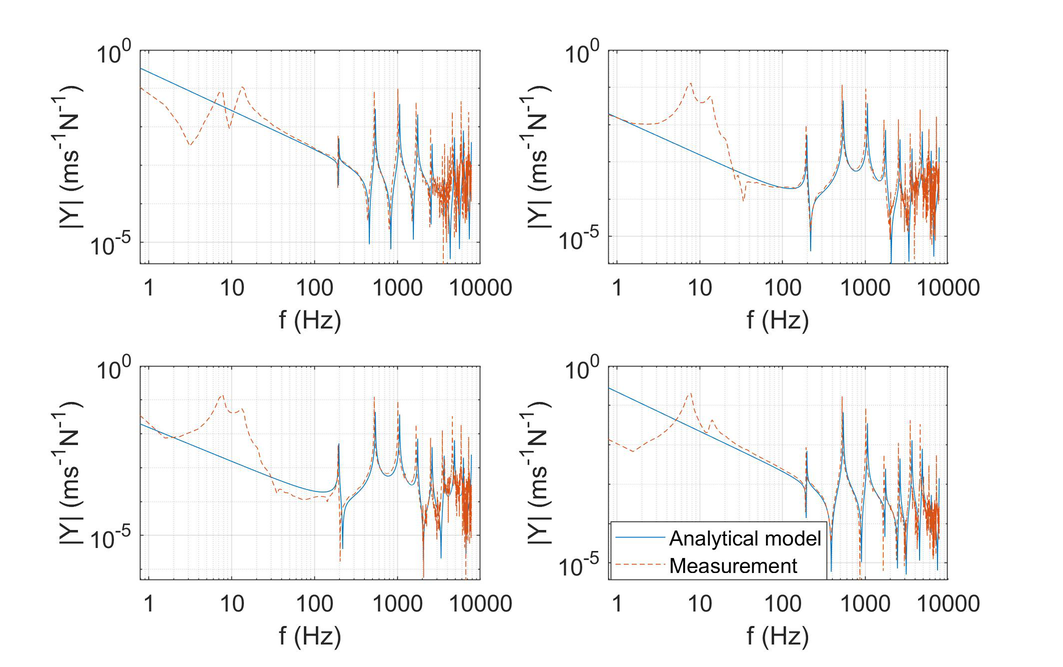
Measurements on a steel beam supported freely are compared with the results provided from the analytical beam model. Figure 2 shows experimental setup where blue cross is excitation using a force hammer and orange circle is response using accelerometers.

Figure 2: Experimental setup for steel beam measurement.

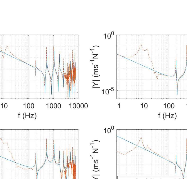
Figure 3: Mobility matrix for steel beam comparing model with measurements.

The graphs are presented in mobility matrix form, where the diagonal entries are point mobilities and the off-diagonal transfer mobilities Figure 3 shows that given the correct structural properties for

Vol. 43. Pt.1 2021

IY| (ms“'N™) 10° 10° 10 100 1000 10000 f (Hz) IY] (ms™'N™) 2 o IY] (ms™'N™) 10 100 1000 10000 f (Hz) —~ fo) ° 10° 10 100 1000 10000 f (Hz) 10° —— Analytical model " — Measurement i 1 10 100 1000 10000 f (Hz)

Proceedings of the Institute of Acoustics

steel, the beam model offers results that are almost identical in the region from 100-5000Hz. The peaks between 8-12Hz are due to the rigid body modes which are not accounted for in the model.

3.2 Plate

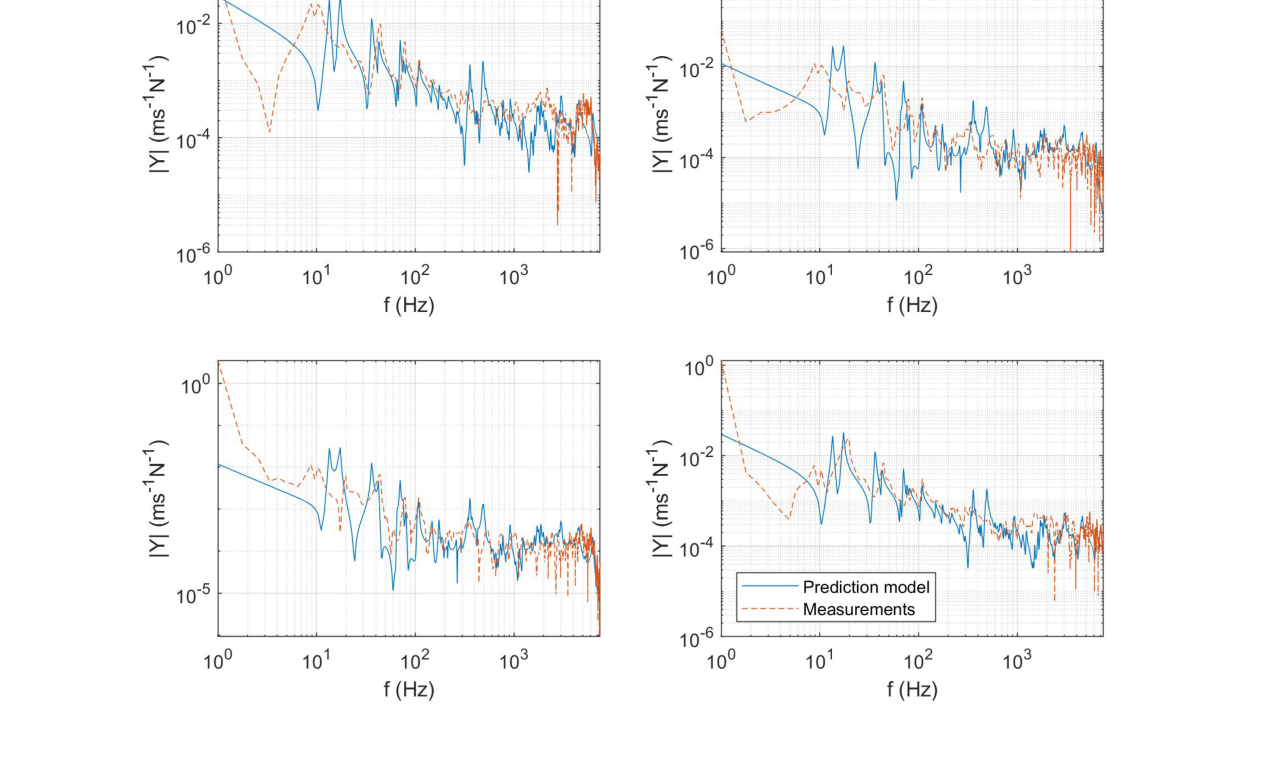
A 1.2 × 0.6 × 0.015m acoustic plasterboard is measured at two points to validate the plate model, as shown in figure 4 . Like the beam model, the correct structural properties need to be available to get comparable results between measurement and model. As mentioned in section 2.2.1, the beam model can be utilised to find the structural properties. In this instance, plasterboard is cut into a beam and measured at two points, then the model fit to the measurements to ascertain the correct properties.

Figure 4: Experimental setup for plasterboard measurement.

Figure 5: Mobility matrix for plasterboard comparing model with measurements.

Vol. 43. Pt.1 2021

100 1000 10000 f (Hz) 4 10 1000 lY| (ms'N“!) 5 oa 10000 = fs) ° 100 1000 f (Hz) 10 ~~ FE plate model Measurement 100 1000 10000 f (Hz) 1 10

Proceedings of the Institute of Acoustics

As shown in figure 5 , the finite element plate model prediction has a similar amplitude of mobility to measurements. The mid-frequency band from 100-4000Hz shows the model to be closely aligned with measurements in both the range of peaks to troughs and the frequency of resonant peaks. The resonances do not match below 80Hz, where the frequency is out by 1-5Hz. This is assumed to be due to the boundary conditions – it is difficult to get a fully free-free plate as the corners are balanced on foam to give the best approximation of free-free, as shown in figure 4 . The measurements are noisy from above 4000Hz so it is not clear how well the model matches the measurements from above that point. As this is a finite element model, the prediction of high frequency waves takes significantly more computation. It is reasonable to assume that model and measurements may not match so closely in this area.

4 Results of coupling process

Given successful validation of plate and beam models, validation of the coupling process can be com- pleted. Two experiments are carried out – a plasterboard coupled to a timber beam by screws, then this structure coupled to another plasterboard on the opposite side. These two structures are shown in figure 6 . Screwing one structure to another provides a rigid coupling effect, where measurement at the interface points (on the screws) will provide data to compare with positions of interest assessed in the model.

Figure 6: The left picture shows plasterboard screwed into a timber beam, the right picture the full system of plasterboard - beam - plasterboard.

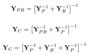
Measurement of the plasterboard screwed into a timber beam compared with the hybrid model equivalent in figure 7 shows matching peaks and a similar level of amplitude of mobility up to 1000Hz. Above that point the model predicts a greater loss of mobility than is apparent in the measurements. The point mobility plots show a better agreement with the measurements than transfer mobility. It can be observed that during the physical rigid coupling process, an element of damping is created which is not accounted for in the model above 500Hz. In the model, the components are coupled only at a single point. In reality, the movement of the two components adds more connection points which are unaccounted for, adding to the damping. The beam is much lighter than the plasterboard due to the size and density of the material, which means that the amplitude of the coupled mobility is brought down in amplitude to closer to that of the plasterboard. This indicates that the influence a lighter material will have on a larger structure is less than the influence of the larger elements.

Vol. 43. Pt.1 2021

Proceedings of the Institute of Acoustics

Figure 7: Mobility matrix for plasterboard rigidly screwed into a timber beam.

1 : 2 : "2 acd : g10 = 10% 10° 410° tot 10! 107 10° f (Hz) f (Hz) IY| (ms“N") Prediction model Measurements 10" 10? f (Hz)

Figure 8: Mobility matrix for plasterboard rigidly screwed to a timber beam and another plasterboard.

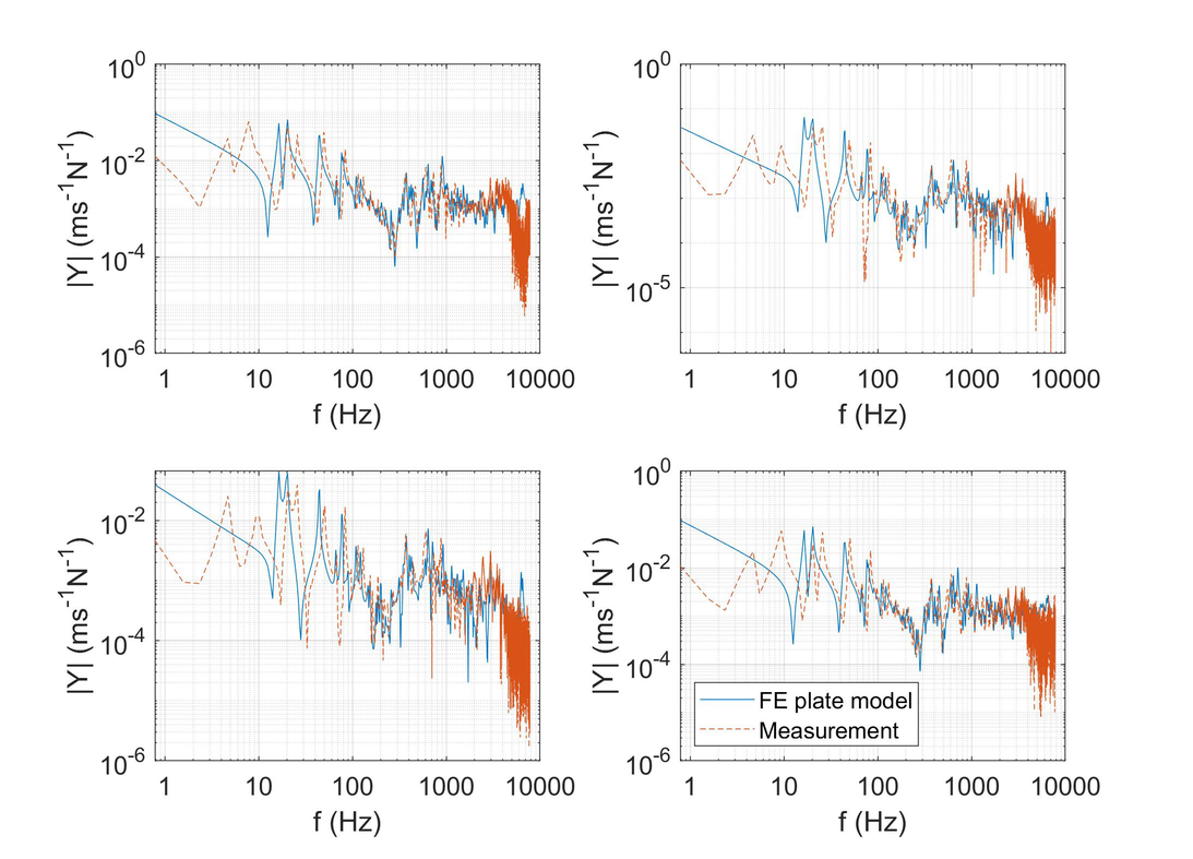
Figure 8 indicates that the initial measurement comparison with the hybrid model rigid coupling

Vol. 43. Pt.1 2021

° r= % + (Ny sw) IAl 10° * ° f (Hz) Prediction model ~~ Measurements f (Hz) (Ny sw) IAl 10° 107 f (Hz) f (Hz)

Proceedings of the Institute of Acoustics

process gives results that compare favourably. The resonant peaks match within a range of 2Hz, especially in the point mobility graphs, and amplitude of mobility is within a reasonable range. The addition of the plasterboard on the opposite side adds more weight to the full system, pulling the amplitude of mobility down by an average of 0.1ms − 1 N − 1 . In similar fashion to figure 7 , an improvement to the model will be to include frequency dependent damping.

5 Conclusions

Models of finite element plates and analytical beams have been validated successfully against mea- surements. Further, larger systems formed from rigidly coupled components have been found to com- pare favourably with measurements of representative physical structures. At this stage, the measure- ment and modelling of a simple partition has offered impressive results. To further validate this method, tests need to be carried out on similar systems with different sizes and materials of components. The validation process indicates that this hybrid experimental-numerical method will produce reliable re- sults for use as a tool for the development of new soundproofing products. The next step is to include a coupling process for resilient elements and to consider a method such as the TMM to include the air cavity transmission.

6 REFERENCES

1. J. Brunskog and P. Davidsson. Sound transmission of structures. a finite element approach with simplified room description. Acta Acustica united with Acustica , 90(5):847–857, 2004.

2. J. Massaglia. Modelling the sound insulation of corrugated roof structures: an extended transfer matrix ap- proach . PhD thesis, University of Salford, Salford, 2017.

3. G. J. O’Hara. Mechanical impedance and mobility concepts. The Journal of the Acoustical Society of America , 41(5):1180–1184, 1967.

4. J. X. Su. Simplified characterisation of structure-borne sound sources with multi-point connections . PhD thesis, University of Liverpool, 2003.

5. MATLAB. Partial differential equation toolbox. https://www.mathworks.com/products/pde.html , 2021.

6. M. Petyt. Introduction to Finite Element Vibration Analysis . Cambridge University Press, New York, USA, 2010.

7. D. de Klerk, D. Rixen, and S. Voormeeren. General framework for dynamic substructuring: History, review, and classification of techniques. Aiaa Journal - AIAA J , 46:1169–1181, 2008.

8. A. Elliott. Characterisation of Structure borne sound sources in-situ . PhD thesis, University of Salford, 2009.

Vol. 43. Pt.1 2021