Welcome to the new IOA website! Please reset your password to access your account.

Sonar array beampattern bounds and an interval arithmetic toolbox

 

Havard Kjellmo Arnestad, Gábor Geréb, Tor Inge Birkenes Lønmo, et al.

 

Citation: Proc. Mtgs. Acoust. 47, 055002 (2022); doi: 10.1121/2.0001613

 

View online: https://doi.org/10.1121/2.0001613

 

View Table of Contents: https://asa.scitation.org/toc/pma/47/1

 

Published by the Acoustical Society of America

 

ARTICLES YOU MAY BE INTERESTED IN

 

Modelled sonar and target depth distributions for active sonar operations in realistic environments

 

Proceedings of Meetings on Acoustics 47, 070013 (2022); https://doi.org/10.1121/2.0001610

 

Photogrammetry as a finite element modelling geometry builder

 

Proceedings of Meetings on Acoustics 47, 022001 (2022); https://doi.org/10.1121/2.0001611

 

Analysis of hydroacoustic time series by parametric predictive modelling

 

Proceedings of Meetings on Acoustics 47, 055001 (2022); https://doi.org/10.1121/2.0001596

 

Accuracy of numerically predicted underwater sound of a ship-like structure

 

Proceedings of Meetings on Acoustics 47, 070001 (2022); https://doi.org/10.1121/2.0001565

 

Estimation of uncertainties in underwater sound measurements of ships

 

Proceedings of Meetings on Acoustics 47, 070002 (2022); https://doi.org/10.1121/2.0001571

 

Comparison of two different methods to include a beam pattern in parabolic equation models

 

Proceedings of Meetings on Acoustics 47, 070006 (2022); https://doi.org/10.1121/2.0001593

 

 

 

Sonar array beampattern bounds and an interval arithmetic toolbox

 

Havard Kjellmo Arnestad and Gábor Geréb

 

Department of Informatics, University of Oslo: Universitetet i Oslo, Oslo, 0373, NORWAY; havard.arnestad@gmail.com; haavaarn@uio.no; gaborge@uio.no

 

Tor Inge Birkenes Lønmo

 

Kongsberg Maritime AS, Horten, Viken, NORWAY; Tor.Inge.Birkenes.Lonmo@km.kongsberg.com

 

Jan Egil Kirkebø

 

InPhase Solutions AS, Trondheim, 7038, NORWAY, janki@ifi.uio.no

 

Andreas Austeng and Sven Peter Näsholm

 

Department of Informatics, University of Oslo: Universitetet i Oslo, Oslo, 0373, NORWAY, andreas.austeng@ifi.uio.no; svenpn@ifi.uio.no

 

The framework of interval arithmetic (IA) and its extension to complex numbers has in the last decade been applied as a tool for finding robust tolerance bounds of antenna arrays. The IA framework complements statistical methods, as inclusive upper and lower bounds of the beampattern are obtained directly, only assuming error bounds on specifically chosen array parameters.

 

Recently, beampattern synthesis for sonar arrays subject to amplitude excitation errors has been extended from linear arrays with omnidirectional elements to non-linear arrays with directive elements. In this work, we demonstrate that the analysis can be developed further to include both amplitude and phase errors. Moreover, we account for error bounds in element position and orientation, thus representing a more comprehensive method for evaluating the worst-case performance due to uncertainty bounds in a multitude of design parameters.

 

For this purpose, we have created an open-source MATLAB toolbox to calculate beampattern bounds for an array with bounded error tolerances. The toolbox features an object oriented library of interval classes and an interactive graphical user interface with easily configurable settings, where results for different interval representations are shown along with their corresponding bounds. The beampattern bounds of a sonar array is illustrated through an example

 

1. INTRODUCTION

 

In underwater applications, sensor arrays are used to increase the signal-to-noise ratio as well as to steer the directivity of the sonar system. However, there will always be differences between the theoretical and attained image quality due to, e.g., imperfections in the manufacturing and deviations from the propagation medium model. This affects both the directivity and the noise suppression capabilities of the sensor array. It is therefore important to be able to predict the magnitude of these errors quantitatively and how they affect the imaging quality, as discussed by Bates1 in the context of acoustical imaging.

 

Several aspects of the imaging quality and capabilities of a sensor array can be evaluated from the beampattern (see Johson and Dudgeon2). The lateral resolution of the array is largely determined by the width of the beampattern’s mainlobe, and the directional noise suppression capability (and thus the contrast) is given by the beampattern sidelobe level. The nominal beampattern (without errors) is mainly a function of the position, directivity, and weighting of the array elements. For a fixed element configuration, it is possible to trade off mainlobe width to sidelobe level by adjusting the weighting of the array elements. This is referred to as array pattern synthesis, tapering, or apodization.

 

Inherent uncertainties in the manufacturing process and deviations from specifications and models can cause significant degradation in the array performance, i.e. in the beampattern of the sensor array, which has been shown by Ruze3 for antennas and by Sherman and Butler4 in the context of arrays for underwater acoustics. These errors can, e.g., appear in the amplitude and the phase of the element sensitivity, the element orientation, and its location. The resulting increase in sidelobe level can be critical for common applications of such sensor arrays since it can impede the detection of targets. Therefore, it is of great importance to understand how the manufacturing tolerances to these errors can affect the beampattern, so that upper and lower bounds can be estimated for the beampattern and the sonar performance.

 

Several approaches have been studied for estimating the beampattern interval bounds due to these errors, such as statistical methods applied by Steinberg5 and Lee et al.6 However, since mainstream statistical tools like Monte Carlo methods are based on generating a set of random beampattern realizations, they can only sample from a distribution of beampatterns, and effectively do not yield the upper and lower bounds. Even for simple array geometries, like uniform linear arrays with a low number of elements, a very large number of simulations are required to approximate the beampattern interval bounds using statistics-based approaches. As a method to specify a general upper bound, Schmid et al.7 showed that the worst-case boundary of the beampattern can be approximated by defining circular tolerance regions around the nominal vectors corresponding to the ideal element response.

 

Interval analysis is a proven methodology for finding the absolute upper and lower bounds in a wide range of computational problems by using a specialized arithmetic for intervals (see Moore8). It has been shown that interval arithmetic can be applied to the problem of bounding errors in the beampattern subject to inaccuracies in the system. These upper and lower bounds for the errors can be derived as analytical expressions. Anselmi et al.9 studied the problem of finding beampattern upper and lower bounds given the amplitude error bounds. An approach to find the beampattern interval bounds subject to phase errors was presented by Poli et al.10. Zhang et al.11 presented the joint interval bounds for amplitude and phase errors. All of these works assumed uniform linear arrays with omni-directional elements. Positional errors have also been treated by Zhang et al.,12 while Kirkebø and Austeng13 derived the interval bounds for non-linear arrays with directional elements.

 

In this paper, we present the beampattern upper and lower bounds using interval arithmetic, with errors jointly in the amplitude, phase, orientation, and position of the elements. We show that the resulting interval bounds largely depend on the amplitude and argument error bounds of each of the complex exponential terms of the beampattern. We find that the interval bounds for each such term is an annulus sector in the complex plane, and the methods for finding the total interval bounds require a representation of the interval bounds for each of the beampattern terms. A rectangular, circular, and polygonal representation of this shape is used, and an example of how the choice of shape affects the tightness of the beampattern bounds of a curved array with directive elements is shown. For this example, errors are introduced jointly for the amplitude, phase, orientation, and position of the elements.

 

Furthermore, a MATLAB software package has been developed for the purposes of calculating beampat- tern bounds named the Beampattern Interval Analysis Toolbox (BIAT). Notably for the release version is an interactive graphical user interface (GUI), where sliders allow the adjustment of the array parameters and the error tolerances. The corresponding array geometry and the beampattern is displayed in the GUI, along with a plot showing the contributions of each of the beampattern terms to the total beampattern interval. This is shown for each of the three mentioned representations for the interval bounds. The code is made available for downloading from an open repository.14

 

2. METHODOLOGY

 

A. NARROWBAND FARFIELD BEAMPATTERN

 

The steered narrowband farfield nominal beampattern, i.e. focused in infinity and assuming that there are no errors, of a sensor array can be written as2

 

 

 

where k and ks are the wavenumber and steering vectors, M is the number of array elements, and xm and wm are the position and apodization weights of the array elements. The wavenumber vector can be written as a function of the incidence angle θ relative to broadside:

 

 

 

Therefore, the steered narrowband farfield beampattern can be written as a function of θ, where the steering angle θs is defined equivalently. We note that each term in the beampattern sum is simply a complex number.

 

The element directivity d(∆θm) can be incorporated into the nominal beampattern, given in Eq. (1), by multiplying it with its corresponding term. The angle ∆θm = θ−ψm determines the influence of element directivity, where ψm is the angle orthogonal to the surface of the mth element. We then get the nominal beampattern for a sensor array with directive elements:

 

 

B. BEAMPATTERN WITH ERRORS

 

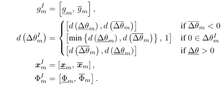
We allow for errors in the element amplitude sensitivities gm, the element directivity d(∆θm ), the element positions xm and the phase Φm, so that they have values in some specified error interval:

 

 

 

Figure 1: Interval representations for a single beampattern term, where the black arrows represent the location in the complex plane of one term of the nominal beampattern, the blue line shows the interval bound for amplitude and phase, and the red line shows the rectangular (middle, left), circular (middle, right) and polygonal (right) representations of the bound.

 

Here the underline and overline notation is used to denote the lower and upper bounds of the error interval. We also note that the position xIm is a vector with interval components. The directivity function is evaluated with interval inputs, and for the formula above to be valid, the only allowed extremum is a maximum at ∆θ = 0. This is, e.g., the case for the tapered first order Bessel aperture smoothing function used in this work. The beampattern with error bounds can then be written as:

 

 

The weight and the directivity interval terms are multiplied with each of the complex exponentials in the beampattern summation, and the position and phase interval terms are in the argument of each of these complex exponentials. We can then define:

 

 

We see that these represent the scaling and the argument of the complex exponentials as one-dimensional intervals. Therefore, we can use defined interval arithmetic of sums and multiplications. The beampattern with error bounds can therefore be written more simply as:

 

 

C. INTERVAL REPRESENTATION

 

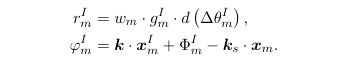
Each of the terms in the summation of Eq. (4) correspond to an amplitude-phase interval in the complex plane, shown in the first panel of Figure 1 to be shaped as an annulus sector. The interval sum of two complex intervals AI and BI is formed by adding each complex number a in AI to each complex number b in BI:

 

 

The total complex interval representing the sum of all the terms in the beampattern with error bounds can be found by summing each of the amplitude-phase intervals. Methods for calculating this sum of complex intervals are well known in the literature, and they require a representation of the amplitude-phase intervals that allow the summation to be performed in a closed-form expression.

 

 

Figure 2: Beampattern with error bounds. The black line is the nominal beampattern (nom.), the pink line shows the upper and lower bounds using the rectangular representation (rIA), the red line shows the upper and lower bounds using the circular representation (cIA), and the blue line shows the upper and lower bounds using the polygonal representation (mIA). The beampatterns have been steered to broadside (left) and to 15 (right).

 

 

The three main representations from the literature for beampattern calculations are 1) rectangular, 2) circular, and 3) polygonal. These are illustrated in Figure 1 for a single beampattern term. Each of the representations have benefits and drawbacks with regards to computational complexity and the tightness of the resulting upper and lower bounds.

 

We see that the rectangular representation – as the name implies – is a rectangle in the complex plane, that also includes the whole amplitude-phase interval. The circular representation corresponds to a circle in the complex plane with a complex-valued center point and a real-valued radius, and this circle includes the whole amplitude-phase interval. Finally, the polygonal representation is a closed polygon that approximates the amplitude-phase interval. One caveat of the polygonal representation is that by sampling points on the boundary, the polygon will not necessarily include the entire annulus sector. This means that the upper and lower bounds of the beampattern may not be rigorous. Inclusiveness by the polygon can be ensured if the points along the convex arc are extended radially.

 

When a representation has been chosen, the upper and lower bounds of the beampattern, i.e. the sum of all beampattern terms, are then the points on the interval sum furthest from and nearest to the origin, respectively. The effect of the different representations of the interval bounds on the beampattern with error bounds are shown for an example array in section 3.

 

3. RESULTS

 

In this section, some results of simulations will be presented, showing the beampattern with error bounds for a curved array with directive elements. The interactive software package will also be presented.

 

A. SIMULATIONS

 

The basic parameters of the array were as follows: Speed of sound c = 1500 m / s , f 0 = 20 kHz , M = 11 elements, element distance d = 37.5 mm, element diameter equal to 80% of the element distance, and a radius of curvature for the array of 0.5 m, which gives an angular distance between each of the array elements of about 5. For the errors, the following parameters were chosen: Gain error of 3 %, phase error of 3, element orientation error of 3, element position error in the x and y direction of 0.38 mm, corresponding to about 1 % of the element size. The element directivity is a standard first-order Bessel aperture smoothing function for circular elements, tapered around ± 90. For the apodization weights, a Kaiser window was applied with a β -value of 1. The resulting beampattern with error bounds, steered to broadside and to 15, is shown in Figure 2.

 

 

Figure 3: Graphical view of beampattern terms and the total beampattern at broadside (left) and − 16 (right), where the black arrow shows the complex value of the nominal beampattern, the red circles shows the circular representation, the pink squares show the rectangular representation, and the blue line shows the polygonal representation. For the beampattern at broadside, the black rectangle shows a zoomed view of the beampattern terms.

 

There we see that the polygonal representation gives the tightest upper and lower bounds on the beampattern, as expected. 15 The rectangular and circular representation give quite similar bounds, with the rectangular representation giving slightly tighter bounds than the circular representation.

 

Figure 3 shows the beampattern terms and the total beampattern steered to broadside and to − 16 (corresponding to the angle of occurrence of the maximal sidelobe). At broadside, we see that the nominal beampattern terms all have real values, as is expected since the argument of the complex exponential is zero. Therefore, the value of the beampattern terms will all equal the amplitude of the apodization weights. At − 16 the beampattern terms are all scattered in the complex plane. We see that the tightness of the bounds of the circular and rectangular representations are about the same, while the polygonal representation gives a noticeable improvement in the tightness of the bounds. This confirms what we saw in Figure 2.

 

B. INTERACTIVE SOFTWARE PACKAGE

 

The Beampattern Interval Analysis Toolbox (BIAT) is an interactive software package developed in MATLAB. The core of the package is an object-oriented library of real and complex interval classes. This allows multiple operations with intervals to be performed in an efficient manner, e.g., the creation of intervals, various arithmetic and set operations, type casting, and plotting. The beampattern bounds are calculated and plotted by functions relying both on the interval classes and the array class. The array class initializes and stores the physical parameters of the array, and enforces the physical dependencies when they are changed. A graphical user interface (GUI) has been developed to allow quick access to most of – but not all – the functionalities currently offered by the toolbox.

 

Figure 4 shows the GUI of the toolbox, where the sliders have been adjusted to have the same parameters as were given in section 3. The top left part of the GUI contains the sliders for adjusting the array parameters and the size of the error bounds, the top right part shows the array element configuration along with the orientation and size of each element, the lower left part shows the resulting beampattern, and the lower right part shows the beampattern terms with error bounds.

 

 

Figure 4: Interactive MATLAB software GUI.

 

The code is available from an open repository, 14 and the aim is to update it with more capabilities as research into beampattern interval analysis progresses. The rationale of the initial release is to present a GUI that provides low barriers for engaging with the topic and reproducing the results, together with the back-end libraries allowing the dissemination of the research by providing direct access to the interval arithmetic tools.

 

4. CONCLUSION

 

In this paper, it has been shown how to calculate the upper and lower bounds of the beampattern using interval arithmetic with errors jointly in the amplitude, phase, orientation, and position of the elements. It was shown that the resulting interval bounds largely depend on the amplitude and the complex exponential argument of each of the beampattern terms with error bounds, so that the interval bounds for each such term is an annulus sector.

 

The methods for finding the upper and lower interval bounds require a representation of the annulus sector that allows for the summation of the interval bounds for each of the beampattern terms. Three representations were used, and an example of how the choice affects the beampattern bounds of a curved linear sonar array with directive elements was presented. For this example, errors were introduced jointly for the amplitude, phase, orientation, and position of the elements. As expected, it was seen that the polygonal representation gives the tightest bound, while the rectangular and circular representations give comparable bounds in these examples.

 

An interactive MATLAB software package was also developed, where array and error parameters can easily be adjusted in the GUI through its sliders, and the display of each of the mentioned representations for the interval bounds can also be selected. The software package is available for download.14

 

For future work, it would be interesting to include additional types of errors, such as coupling. It would also be useful to further investigate the interval bounds for each of the beampattern terms, so that tighter but yet reliable and computationally cheaper interval bounds can be found.

 

ACKNOWLEDGMENTS

 

The authors would like to thank Roy Edgar Hansen (principal scientist at the Norwegian Defence Research Establishment – FFI) for interesting discussions on the topic and his comments to this work. G. Gereb, T. I. Lønmo, and A. Austeng acknowledge funding from the Research Council of Norway project Element calibration of sonars and echosounders, project number 317874. J. E. Kirkebø acknowledges internal research funding from InPhase Solutions AS.

 

REFERENCES

 

  1. K. N. Bates, “Tolerance Analysis for Phased Arrays,” in Acoustical Imaging: Visualization and Characterization, edited by K. Y. Wang, Vol. 9 of Acoustical Imaging (Springer US, Boston, MA, 1980), pp. 239–262, doi: 10.1007/978-1-4684-3755-3_17.
  2. D. H. Johnson and D. E. Dudgeon, Array signal processing: concepts and techniques, Prentice-Hall signal processing series (P T R Prentice Hall, Englewood Cliffs, NJ, 1993).
  3. J. Ruze, “The effect of aperture errors on the antenna radiation pattern,” Il Nuovo Cimento (1943-1954) 9 (3), 364–380 (1952) doi: 10.1007/BF02903409.
  4. C. H. Sherman and J. L. Butler, “Projector Arrays,” in Transducers and Arrays for Underwater Sound, The Underwater Acoustics Series (Springer Science+Business Media New York, 2007), doi: 10.1007/ 978-0-387-33139-3_6.
  5. B. D. Steinberg, Principles of aperture and array system design: including random and adaptive arrays (New York : Wiley, 1976), http://archive.org/details/principlesofaper0000stei.
  6. J. Lee, Y. Lee, and H. Kim, “Decision of error tolerance in array element by the Monte Carlo method,” Antennas and Propagation, IEEE Transactions on 53 , 1325–1331 (2005) doi: 10.1109/TAP.2005. 844444 .
  7. C. M. Schmid, S. Schuster, R. Feger, and A. Stelzer, “On the Effects of Calibration Errors and Mutual Coupling on the Beam Pattern of an Antenna Array,” IEEE Transactions on Antennas and Propagation 61 (8), 4063–4072 (2013) doi: 10.1109/TAP.2013.2259455.
  8. R. E. Moore, R. B. Kearfott, and M. J. Cloud, Introduction to Interval Analysis, Other Titles in Applied Mathematics (Society for Industrial and Applied Mathematics, 2009), https://doi.org/10.1137/1.9780898717716.bm.
  9. N. Anselmi, L. Manica, P. Rocca, and A. Massa, “Tolerance Analysis of Antenna Arrays Through Interval Arithmetic,” IEEE Transactions on Antennas and Propagation 61 (11), 5496–5507 (2013) doi: 10.1109/ TAP.2013.2276927.
  10. L. Poli, P. Rocca, N. Anselmi, and A. Massa, “Dealing With Uncertainties on Phase Weighting of Linear Antenna Arrays by Means of Interval-Based Tolerance Analysis,” IEEE Transactions on Antennas and Propagation 63 (7), 3229–3234 (2015) doi: 10.1109/TAP.2015.2421952.
  11. Y. Zhang, D. Zhao, Q. Wang, Z. Long, and X. Shen, “Tolerance Analysis of Antenna Array Pattern and Array Synthesis in the Presence of Excitation Errors,” International Journal of Antennas and Propaga- tion (2017) https://www.hindawi.com/journals/ijap/2017/3424536/ doi: 10.1155/ 2017/3424536.
  12. Y. Zhang, D. Zhao, and H. Zhao, “Tolerance analysis of antenna array pattern in the presence of array weights and element position errors,” in 2016 URSI Asia-Pacific Radio Science Conference (URSI AP- RASC) (2016), pp. 1885–1888, doi: 10.1109/URSIAP-RASC.2016.7601211.
  13. J. E. Kirkebø and A. Austeng, “Amplitude tolerance analysis of curved sonar arrays,” in OCEANS 2021: San Diego – Porto (2021), pp. 1–4, doi: 10.23919/OCEANS44145.2021.9705923, issn: 0197-7385.
  14. H. K. Arnestad and G. Ger ´ eb, “Beampattern Interval Analysis Toolbox” (2022), doi: 10.5281/zenodo. 6856233.
  15. L. Tenuti, N. Anselmi, P. Rocca, M. Salucci, and A. Massa, “Minkowski Sum Method for Planar Arrays Sensitivity Analysis With Uncertain-But-Bounded Excitation Tolerances,” IEEE Transactions on Antennas and Propagation 65 (1), 167–177 (2017) doi: 10.1109/TAP.2016.2627548.