Welcome to the new IOA website! Please reset your password to access your account.

Decay behavior of a reverberant sound field in a deep fjord

 

Jan Abshagen

 

Citation: Proc. Mtgs. Acoust. 47, 070020 (2022); doi: 10.1121/2.0001634

 

View online: https://doi.org/10.1121/2.0001634

 

View Table of Contents: https://asa.scitation.org/toc/pma/47/1

 

Published by the Acoustical Society of America

 

ARTICLES YOU MAY BE INTERESTED IN

 

A methodology to define underwater acoustic radiated noise norms for small commercial vessel classes using neural networks

 

Proceedings of Meetings on Acoustics 47, 070019 (2022); https://doi.org/10.1121/2.0001633

 

Comparison of two different methods to include a beam pattern in parabolic equation models

 

Proceedings of Meetings on Acoustics 47, 070006 (2022); https://doi.org/10.1121/2.0001593

 

Measurements of shipping, fin whales, earthquakes and other soundscape components at the Lofoten-Vesterålen Observatory, Norway (2018-2019)

 

Proceedings of Meetings on Acoustics 47, 070017 (2022); https://doi.org/10.1121/2.0001619

 

Automatic recognition of underwater munitions from multi-view sonar surveys using semi supervised machine learning: a simulation study

 

Proceedings of Meetings on Acoustics 47, 070018 (2022); https://doi.org/10.1121/2.0001632

 

A wave glider-based, towed hydrophone array system for autonomous, real-time, passive acoustic marine mammal monitoring

 

The Journal of the Acoustical Society of America 152, 1814 (2022); https://doi.org/10.1121/10.0014169

 

Estimation of uncertainties in underwater sound measurements of ships

 

Proceedings of Meetings on Acoustics 47, 070002 (2022); https://doi.org/10.1121/2.0001571

 

 

 

Decay behavior of a reverberant sound field in a deep fjord

 

Jan Abshagen

 

Bundeswehr Technical Center for Ships and Naval Weapons, Maritime Technology and Research - WTD 71, Eckernf¨orde, SH, 24340, GERMANY; janabshagen@bundeswehr.org

 

Deep fjords are confined waters with unusual sound propagation properties due their special oceanographic conditions and bathymetry. In particular the presence of lateral fjord walls has a substantial influence on reverberation due to multiple reflections and scattering. Results from bistatic reverberation experiments with RV Elisabeth Mann Borgese (IOW, Germany) in the Norwegian Sognefjord are presented. The decay behavior of the reverberant sound field is determined for three different distances between source and receiver within a range of 11 km. The structure of the decaying sound field is analyzed by utilizing a vertical receiving array aligned with delay-and-sum beamforming techniques and matched filtering. Evidence for a power-law decay in sound power of the reverberant sound field is provided.

 

1. INTRODUCTION

 

The reception of underwater sound is typically interfered by various noise sources, which can be either attributed to (sonar) self noise1,2 or to ambient noise.3 The detection performance on an active sonar, on the other hand, is often limited by reverberation.4 In the monostatic case, i.e. if source and receiver are located at the same position, reverberation arises from backscattering of emitted sound from all objects or surfaces, except from the target itself. Scatterers or scattering surfaces are located at the sea bottom or surface, but also within the water column, such as air bubbles.5 The relative contribution of bottom, surface, and volume reverberation to the reverberate sound field depends on the specific properties of the sea area but also on the parameters of the sound transmitter and receiver. In a bistatic situation source and receiver are located at different positions. Here, emitted sound can not only be received by scattering from a target or other scattering objects or surfaces, but also by line-of-sight transmission between source and receiver or along reflecting paths. In fact, in underwater communication with a target being absent, line-of-sight transmission is most important.6,7

 

Deep fjords are confined waters with unusual sound propagation properties. They often have specific oceanographic conditions, for instance due to the presence of a sill at the entrance, which can have substantial influence on the vertical stratification of temperature and salinity and therefore on the vertical variations of sound speed.8,9 For instance, the thermocline, and therefore the location of a deep sound channel, can be at much lower depth in a fjord than in a deep ocean.5

 

 

Figure 1: Near-surface sound transmission in Sognefjord (Norway) in June 2019. The normalized matched filter output of HFM pulses is depicted on a decibel scale (for measurement procedure see10).

 

While the oceanographic conditions in a fjord determine the propagation of sound in case of direct transmission, direct reflections or reverberation are substantially influenced also by the specific bathymetry, in particular the presence of lateral fjord wall. In Fig. 1 the sound transmission of HFM pulses (hyperbolic frequency modulated) at different distances between a near-surface source and receiver in a deep fjord is illustrated. The direct pulse arrives first and is clearly separated from a long reverberate signal, which also contains direct reflections from the confining surfaces of the fjord.

 

In this work results from an experiment on bistatic reverberation in the Sognefjord (Norway) in October 2018 are presented. A focus of the work is given to the decay behavior of the reverberate sound field.

 

2. EXPERIMENTS

 

The experiments were performed during a research cruise with RV ELISABETH MANN BORGESE (IOW) in the central part of Sognefjord (Norway) in October 2018. The dimensions of the fjord in this area are about 3 km in width (north-south direction) and 1.3 km in depth. Side branches of the fjord, however, make the geometric shape of the measurement area more complex. In east-west direction, i.e. along the course of the fjord in this area, the measurement area was confined to 10.9 km as the largest distance between source and receiver (labeled as position 1). The other two distances are 6.1 km (position 2) and 2.6 km (position 3).

 

 

Figure 2: RV ELISABETH MANN BORGESE with vertical array (a), vertical sound speed profiles in the central part of Sognefjord in October 2018 (b).

 

The sound projector utilized for the measurements, a freely flooded ring transducer, is attached to a drift buoy, which is equipped with an electronic and a communication unit. The projector depth was kept constant to 104 m during the experiments. A vertical array lowered from RV ELISABETH MANN BORGESE served as the receiver (Fig. 2 (a)). The array is designed as a nested array containing 128 hydrophones, which can be combined to three sub-arrays of 64 staves, and a total length of 38.5 m. These three sub-arrays are designed for different frequency ranges up to 5 kHz. The acoustic center of the array was positioned at a depth of 112 m for measurements at the three positions. In Fig. 2 (b) typical vertical sound speed profiles in the measurement area are depicted. The profiles were measured with the on-board CTD probe of RV ELISABETH MANN BORGESE on a daily basis at a position in central Sognefjord fjord. It can be seen from Fig. 2 (b) that both sound projector and receiver are positioned within the deep sound channel below the main thermocline in Sognefjord.

 

The experiments were performed by emitting a signal from the drifting projector buoy, which is received later at the vertical array dangling from drifting RV ELISABETH MANN BORGESE. Matched filter and delay-and-sum beamforming techniques are utilized in order to determine the time-of-arrival (TOA) and the direction-of-arrival (DOA) of components of the sound field, respectively. A GPS-trigger signal is used in both sound emission and reception.

 

3. RESULTS

 

A. PULSE PROPAGATION

 

In Fig. 3 the results of a sound transmission experiment with a distance between sound projector and receiving array of 6.1 km (i.e. position 2) are shown. A single LFM (linear frequency modulated) down sweep was emitted from the drift buoy and received later at the vertical array. The pulse has a duration of T = 1s, a center frequency at f = 2 kHz, and a bandwidth of ∆f = 2.4 kHz. The received signals are first beamformed before a matched filter is applied. For reasons of visibility the normalized matched filter output is plotted on a decibel scale in Fig. 3.

 

 

Figure 3: Time-of-arrival (TOA) and direction-of-arrival (DOA) with angle Φ ( Φ = 0 correspond to upward direction) of a direct LFM pulse and of sound field components that arrive subsequently in time. Those components are related to propagation along reflecting paths and to reverberation.

 

From Fig. 3 it can be clearly seen that the direct pulse propagating along the line-of-sight path arrives first at the vertical array and is timewise well separated from the reverberate sound field that arrives subsequently in time. Since source and receiver are located at (almost) equal depths, line-of-sight transmission took place along the horizontal line, i.e. at a DOA of Φ = 90.

 

The structure of the sound field that arrives subsequent to the direct pulse is complex which reflects the complexity of sound propagation conditions in the fjord. It can be seen from Fig. 3 that only a few pronounced peaks add to the reverberate sound field. Those peaks arrive later than the direct pulse and can be assigned to propagation along paths with few reflections at the confining surfaces of the fjord.

 

B. REVERBERATION

 

Generally, the average sound power of a diffuse field in a closed space decays according to a certain decay law after the sound source within the space is switched off. The observed decay behavior reflects characteristic acoustics properties of the space. A well-known example arises, e.g., from Sabine’s law in room acoustics, where sound power decays exponentially and the decay rate is related, among other things, to wall absorption. A fjord is a confined but not a closed space, since sound can propagate along the course of the fjord and leave the measurement area. Moreover, wall absorption may not expected to have the same relevance in fjord acoustics than in room acoustics.

 

 

Figure 4: Time evolution of spectral power for different angles Φ during a reverberation experiment with a long (pseudo random) noise signal with a distance of 6.1 km between source and receiver. In (b) the time evolution of (a) is plotted in polar coordinates.

 

In order to characterize the decay behavior of a stationary sound field in a fjord, a long (pseudo random) noise (PRN) sequence of about T = 30 s duration is emitted from the drifting projector buoy for the three distances. PRN-pulses with a center frequency of 2 kHz and a single length of about 4 s were utilized, however, it was not made use of the specific correlation properties of these signals in this work. After an (short) initial phase the sound pressure level at the receiver adjusts to a steady value, i.e. the sound field reaches a stationary state. The temporal evolution of spectral power within a frequency band of 500 Hz width around a center frequency of 2 kHz is depicted in Fig. 4 as a function for DOA. This figure is related to the experiment that is conducted with a distance between source and receiver of 6.1 km (position 2).

 

From Fig. 4 the time interval of noise emission can clearly be distinguished from the subsequent period of sound decay. It is obvious that preferred propagation paths are illuminated by this method. Furthermore it should be noted, that disturbances at very low DOA originate from interfering ship noise from the research vessel.

 

 

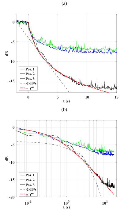
Figure 5: Decay of average sound power of the reverberate sound field after switching off noise emission for three different distances between source and receiver: linear time scale (a) and log-scale (b).

 

The decay of average sound power at the receiver is depicted in Fig. 5 for the three different distances between source and receiver. The directional average is taken from a DOA of Φ = 30on in order to filter out the interfering ship noise at very low DOA. The curves are normalized to the stationary value of sound power measured during the stationary phase and the time origin is chosen to be the end of (line-of-sight) noise emission at the position of the receiver (not projector).

 

It can be seen from Fig. 5 that the decay behavior for the shortest distance between source and receiver differs from that of the other two, which both display similar behavior. A comparison with a decay by 2 dB / s reveals the qualitative departure of the observed decay behavior from an exponential decay law. Empirical a (asymptotic) power law decay according to P ∝ (1 + βtα )−1 with α = 1.35 and β = 1.5 fits much better to the data, however, there is no theoretical rationale so far supporting a power law decay.

 

4. CONCLUSION

 

Deep fjords are environments with special hydroacoustic conditions because of their specific oceanographic conditions, on the one hand, and a particular bathymetry with fjord walls on the other hand. This gives rise to a rather slow decay of sound power in a fjord. Quantitative measurements of the decay behavior of sound power within a frequency and geometric range, where absorption in sea water is not a dominant attenuation process, reveals evidence for a power law decay behavior. This differs qualitatively from exponential decay processes, which are known, for instance, from room acoustics. Exponential decay is related, among others, to wall absorption, which is not expected to be a dominant attenuation process at hard fjord walls.

 

ACKNOWLEDGMENTS

 

The excellent support of captain and crew of RV ELISABETH MANN BORGESE (IOW, Germany) and of the engineering department of WTD 71 during the sea experiments is gratefully acknowledged.

 

REFERENCES

 

  1. J. Abshagen, V. Nejedl, “Towed body measurements of flow noise from a turbulent boundary layer under sea conditions”. J. Acoust. Soc. Am, 135, 637–645 (2014).
  2. E. Ciappi, S. De Rosa, F. Franco, J.L. Guyader, S.A. Hambric, R. Chi Kin Leung, A.D. Hanford (Hrsg.): “Flinovia - Flow Induced Noise and Vibration Issues and Aspects II”, Springer, Cham, (2019).
  3. W.M. Carey and R.B. Evans, “Ocean Ambient Noise: Measurement and Theory”, Springer, New York (2011).
  4. Urick, R.J., “Principles of Underwater Sound (2nd ed.)”, McGraw-Hill, New York, (1975).
  5. H. Medwin, C.S. Clay, “Fundamentals of Acoustical Oceanography”, Academic Press, San Diego, (1998).
  6. R. Otnes, A. Asterjadhi,, P. Casari, M. Goetz; Th. Husøy, I. Nissen, K. Rimstad; P. van Walree; M. Zorzi, “Underwater Acoustic Networking Techniques”, Springer, Berlin, Heidelberg, (2012).
  7. T. Jenserud, S. Ivansson, “Measurements and Modeling of Effects of Out-of-Plane Reverberation on the Power Delay Profile for Underwater Acoustic Channels", IEEE J. Ocean Eng., 40, (2015).
  8. R.J. Urick, “Sound propagation in the sea”. Peninsula Publishing, Los Altos, (1982).
  9. F.B. Jensen, W. A. Kuperman, M. B. Porter; H. Schmidt, “Computational Ocean Acoustics (2nd ed.)”, Springer, New York, (2011).
  10. J. Abshagen, V. Nejedl: “Sound propagation experiments in a Norwegian fjord”, Proceedings of the 23rd International Conference on Acoustics (ICA2019), Aachen, 1929-1934 (2019).