Welcome to the new IOA website! Please reset your password to access your account.

Modelled sonar and target depth distributions for active sonar operations in realistic environments

 

Kristoffer Engedal Andreassen and Karl Thomas Hjelmervik

 

Citation: Proc. Mtgs. Acoust. 47, 070013 (2022); doi: 10.1121/2.0001610

 

View online: https://doi.org/10.1121/2.0001610

 

View Table of Contents: https://asa.scitation.org/toc/pma/47/1

 

Published by the Acoustical Society of America

 

ARTICLES YOU MAY BE INTERESTED IN

 

Correlations between sound speed and density in seabed sediment cores collected in Norwegian waters

 

Proceedings of Meetings on Acoustics 47, 070004 (2022); https://doi.org/10.1121/2.0001588

 

Sonar array beampattern bounds and an interval arithmetic toolbox

 

Proceedings of Meetings on Acoustics 47, 055002 (2022); https://doi.org/10.1121/2.0001613

 

Optimization of active sonar parameters in a measured environment

 

Proceedings of Meetings on Acoustics 44, 070006 (2021); https://doi.org/10.1121/2.0001456

 

Photogrammetry as a finite element modelling geometry builder

 

Proceedings of Meetings on Acoustics 47, 022001 (2022); https://doi.org/10.1121/2.0001611

 

Comparison of two different methods to include a beam pattern in parabolic equation models

 

Proceedings of Meetings on Acoustics 47, 070006 (2022); https://doi.org/10.1121/2.0001593

 

Acoustic attenuation of cohesive sediments (mud) at high ultrasound frequencies

 

Proceedings of Meetings on Acoustics 47, 070009 (2022); https://doi.org/10.1121/2.0001594

 

 

 

Modelled sonar and target depth distributions for active sonar operations in realistic environments

 

Kristoffer Engedal Andreassen

 

Department of Defence Systems, Norwegian Defence Research Establishment: Forsvarets forskningsinstitutt, Horten, Vestfold og Telemark, 3183, NORWAY; kristoffer-engedal.andreassen@ffi.no

 

Karl Thomas Hjelmervik

 

Department of Microsystems, University of South-Eastern Norway, Borre, Vestfold og Telemark, NORWAY; Karl.T.Hjelmervik@usn.no

 

Target detection performance of mid-frequency active sonars depends heavily on both sonar and target depth. For a given target depth, a sonar performance model may help predict a sonar depth that maximizes the detection performance in the present environment. Similarly, for a given sonar depth, an optimal target depth to minimize the detection performance of the opposing sonar, may be predicted. Statistical representations of sonar and target behavior are required as prerequisites for Monte Carlo simulations, in which sonar and target depth are key parameters. In a real sonar operation, the choice of each depth parameter is subject to careful consideration of the current environment by qualified personnel. The a priori probability distributions from which the Monte Carlo method samples sonar and target depth therefore require sufficient realism to ensure the quality of the simulations. Here we propose an algorithm for generating distributions of sonar depth and the depth of an adversarial target in a realistic environment, based on calculating the Nash equilibrium strategies of the two parties, with the inputted probability of detection modelled by an acoustic ray tracer, Lybin. We demonstrate the proposed method in a sample environment and show the superior performance when compared to simpler distributions.

 

1. INTRODUCTION

 

There is an increasing interest in both industry and academia to explore the advantages of introducing unmanned vessels into underwater warfare.1 Sea trials for test and development of such concepts and the necessary new tactics are expensive and time-consuming, something which seriously inhibits and slows down the implementation. By using simulation tools, such concepts and tactics can be narrowed down to some select few viable concepts that can be moved forward to physical experimentation. The sonar operation simulation suite, Rattus,2,3 simulates sonar operations taking into account the movements and decisions of all parties in the operation, as well sonar performance predictions for the present environment. The tool allows for inexpensive development and evaluation of both new concepts and tactics.

 

The performance of active sonars in a real ocean environment depends heavily on both the relative positions of the transmitter, target and receiver and the present environment.4 By employing acoustic wave propagation models4,5 and the sonar equation,6 the sonar conditions in a known environment may be estimated. Sonar performance models, such as Lybin,7 includes both the sonar equation, acoustic wave propagation models, and receiver operating characteristic curves in order to determine the probability that a given sonar is able to detect a specific target in a known environment.

 

During sonar operations, the participants employ sonar performance models to either maximize their own sonars ability to detect their adversary8 or to minimize their opponents ability to detect them (i.e. maximizing avoidance). In the case of an uncertain environment, Monte Carlo approaches9,10 or more sophisticated approaches11,12 may be employed to determine the resulting acoustic uncertainty, for more robust estimates of the optimal depths.

 

For realistic sonar operation simulations, the participating parties decisions to ensure detection or avoidance must be automated within the framework of the simulations. For Monte Carlo simulations this decision should also take into account environmental uncertainty and variation.

 

Here we demonstrate a method using the Nash equilibrium13 strategies of the parties to determine a probability density function (PDF) for best avoidance and detection depths using variable depth sonar (VDS) in a sample environment. The PDFs are input into a simple Monte Carlo simulation, and the simulation results are compared to results from simulations using single depths or uniform distributions.

 

2. METHOD

 

A. DEFINING THE STATE VECTORS

 

The low computation time of Lybin allows for Monte Carlo runs in order to map out the expected uncertainty and variation in the input parameters. These parameters and their uncertainty depend on the present environment, the target, and the sonar used. Following the steps described by by Bøhler et al 10 we represent both the sonar parameters and environmental parameters as stochastic state vectors, S and M, respectively. We let the target state be described by the deterministic target state vector, T. All these state vectors are assumed to be statistical independent.

 

The modelled sonar performance is defined as P(D|M ,S ,T), and represents the probability that the target, whose state is described by T, is detected by the sonar (probability of detection), whose parameters are described by S, in an environment described by M. Each of the states S and M have associated probabilities given by P(S) and P(M) . The probability that the target is detected in a given state is then given by,

 

 

This expression may be marginalized to estimate the marginal probability, P(D|T) , that the target is detected regardless of the environment and sonar for a given targat state, T,

 

 

If P(M) and P(S) are known, then P(D|T) may be determined, as P(D|M ,S ,T) for a single realisation of each of the states may be estimated using the acoustic model Lybin.7

 

B. PREMISE OF THE METHOD

 

For our application, S will represent the active sonar parameters of an anti-submarine warfare (ASW) vessel, and thus T the state of an adversarial submarine. We will assume that both parties know T in full, except for submarine depth, z, which is only known by the submarine, and distance from the ASW vessel, r, which neither parties alone can control. Likewise, both parties know S in full, except for the depth of the VDS, d, which is only known by the ASW vessel. The environment, M, is assumed to be common knowledge for both parties without exceptions. The minimum and maximum values z, r and d can obtain are also assumed to be common knowledge. Therefore, since our acoustic model always gives estimates for the probability of detection for a range of z and r values, for a given M, T\ z, r and S\ d we only need to iterate over the possible d values when running the model.

 

While the ASW vessel is hunting the submarine, we will assume that the submarine is attempting to use passive sonar to detect a third vessel, a high value unit (HVU), while trying to avoid detection by the ASW vessel which is protecting the HVU. Here again we do not know the distance from the submarine to the HVU, rp (subscript p for passive), but the target depth, zp, is known as the HVU will need to be on the surface. Because the submarine’s sonar is at the same depth as the submarine itself, we have dp = z, thus forcing the submarine to strike a balance between active detection avoidance and passive detection performance. In our acoustic model we will not iterate over different dp like in the active case, as the fixed zp value allows us to exploit the reciprocity of the propagation loss when swapping transmitter/receiver and target, thus only requiring a single model calculation for a given M, T\rp and S\dp

 

C. THE NASH EQUILIBRIUM

 

The Nash equilibrium of a two player game denotes a set of strategies where neither player stand to gain by deviating alone.14 To apply this to our sonar we need to define a measure of success, also known as payoff or utility, for each player. As the submarine is looking to both avoid active detection by the ASW vessel and at the same time detect the HVU passively, we will consider its payoff to be the product of the expected values of the probability of passive detection and the probability of no active detection. With U denoting utility, this is simply

 

 

where UA and UP are the active and passive expected values. For a discrete distribution of d and z values, U (zi , dj) then produces the payoff matrix Uij, see fig. 1 for an example. Setting the payoff for the ASW vessel to be−U(d, z) makes the situation into a two player zero-sum game. This ensures that neither party can alter their strategy in a way that benefits both parties, thus leaving no room for cooperation.

 

This zero-sum game is completely defined by the payoff matrix Uij, which can be passed to a solver like Nashpy14 to determine the equilibrium strategies. If the players are limited to pure strategies, meaning that there is a single choice of z or d which they will use every time, an equilibrium point is not guaranteed to exist, as z1 might counter d2, but d1 might counter z1, and so on with no self-countering tuple ( zi , dj ) existing. However, if one allows mixed strategies, which are probability distributions over pure strategies,13 equilibrium points are guaranteed to exist.16 This is our basis for constructing the PDFs for sonar and target depth.

 

 

Figure 1: The payoff matrix, with submarine depths zi and VDS depths dj. Submarine win probability is U from eq. (3).

 
 

Figure 2: Sound speed profile used. Climatological profile sampled from the World Ocean Atlas.15

 

D. CALCULATING THE PAYOFF MATRIX

 

The elements UP and UA of eq. (3) are obtained from the Lybin calculations as outlined in section 2.B. As the target ranges r and rp are not present in this equation, they need to be marginalized out of the state vector T. We will assume that the possible ASW vessel and HVU positions are both uniformly and independently distributed in an annulus centered around the submarine, with inner and outer radius r1 and r2. The expected value of the passive probability of detection is thus

 

 

with |A| being the total area of the annulus A and D P denoting a passive detection. In practice this is done by taking the weighted mean over the range axis of the probability of detection matrix output by Lybin, where the weight is the matrix element’s corresponding range or 0 if r < r1 or r > r2 .

 

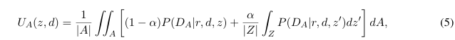
Obtaining UA is done similarly, but including a small weight α which awards choices of d which give good detection probabilities when taking the mean over all z in the known target depth range Z. The formula is therefore

 

 

with, similarly as above, |Z| being the range of z values and DA denoting an active detection.

 

Note that determining the mixed equilibrium strategies of a finite game is a calculation that typically scales as O(2N), where N is the number of elements in the payoff matrix. This is due to support enumeration, which requires iterating through every combination of which zi and dj to include in a candidate mixed strategy. Therefore, reducing Uij by taking a block-wise mean can greatly speed up the Nash equilibrium calculation.

 

 

Figure 3: Results of Lybin calculations, showing outputted probability of detection. Black lines in active sonar plots are ray trace lines.

 

3. DATA

 

In order to demonstrate the proposed method, we will use a single realization of the environment state, M, and fixed sonar parameters, S, except for VDS depth. The sound speed profile is sampled from the World Ocean Atlas, 15 see fig. 2. The wind speed is fixed and the ocean floor is set to be flat at 500 m. The target strength of the submarine and source level of the HVU is also kept fixed.

 

The active sonar detection modelling is run with 16 different VDS depths dj between 50 m to 200 m, with resolution for 38 different submarine depths zi between 30 m to 400 m. See fig. 3 for examples from different VDS depths and the passive calculation. After calculating the payoff matrix using eqs. (4) and (5), it is then reduced with a 2 × 2 block filter using the mean, giving the final dimensions of 19 × 8. This matrix is the one shown in fig. 1. The annulus dimensions used in the calculation were r1 = 2 km and r2 = 50 km , and with α = 0.1.

 

 

Figure 4: Probability density functions, both piecewise uniform around the discrete depths (blue) and smoothed with a Gaussian filter (orange).

 

4. RESULTS AND DISCUSSION

 

The resulting equilibrium strategy is a mixed strategy, with the submarine picking either 35 m or 55 m, and the VDS set either at 75 m or 195 m, as shown by the piecewise uniform distributions with different heights according to their equilibrium strategy weight in fig. 4. The equilibrium payoff is U = 0 . 0986, or a 9 . 86 % ”submarine win probability”. As examples of the inferiority of pure strategies: a submarine using a pure strategy of z fixed at 55 m will get optimally countered by d = 75 m giving a 9 . 54 % sub. win probability, and a d fixed at 195 m will get optimally countered by z = 55 m giving a 10 . 40 % sub. win probability.

 

To turn these discontinuous and piecewise uniform distributions into continuous PDFs, a Gaussian filter with σ = 5 m is applied. Then, to check the validity of our method, we run a simple Monte Carlo simulation with N = 1 , 000 , 000 static snapshots of randomly sampled ASW vessel and HVU positions and depths according to these filtered PDFs. The other parameters are kept the same, so we reuse the original fine grained Lybin calculations used to calculate the Nash equilibrium. See fig. 5 for visualisations of these simulations. Table 1 shows the aggregated results, including an additional variant with the same depth strategies but with r2 = 20 km when simulating afterwards. The original 50 km variant has a performance very close to the expected Nash equilibrium value, with a small difference due to the usage of a non-zero α (this weight is not used when calculating the submarine win % for the simulated runs). The 20 km variant is much more favorable for the submarine, explained by the defined cutoff range around 15 km the passive probability of detection displays in fig. 3d.

 

 

Table 1: Results of different simulated variants.

 

 

Figure 5: Illustrations of simple Monte Carlo simulations used to check the generated PDFs. ”FF” is the ASW vessel and ”SSK” the submarine.

 

Rerunning the simulations, but substituting either the z or d PDF with a uniform distribution shows how much the equilibrium strategies gain when going up against these typical ”zero-assumption” strategies. In table 1 we see that the active detection % greatly increases when the submarine picks its depth uniformly, showing how a non-zero α helps the ASW vessel exploit non-optimal behavior by the opponent. Using a uniform distribution for the VDS depths however does not have such a big impact on the overall result, as the active detection % was already low compared to the passive detection %. The passive detection performance is of course not impacted by the VDS depth setting. This suggests that the submarine behavior is the most sensitive strategy parameter for these types of simulations and underscores the importance of modelling it accurately.

 

5. CONCLUSION

 

For this single environment and sonar parameter realization, we have demonstrated how this method functions as a policy function, taking the environmentally dependent sonar performance calculations as input and outputting optimized strategies. The natural next step, remembering eq. (2), is then to sample over the distributions P (M) and P (S) to aggregate a large set of different strategies. Especially the sampled sound speed profile (fig. 2) will have a large impact on the sonar performance of different depths, and keeping this constant will not give strategies which are robust to variations which are expected in realistic environments. A way to sample sound speed profiles is combining ocean model data with climatology following the steps of Østenstad.17 This also has the advantage of making the distribution more temporally specific than the seasonal average one would get from using only climatological data. Wind speed distributions can be obtained similarly, and instead of using a flat ocean floor one can sample bathymetric data in different directions in the relevant area.

 

Each environmental sample will require their own set of Lybin calculations, thus increasing the run time linearly for each sample. However, using these strategies for tactical simulations in Rattus will act as a time saver, as we will not be wasting time on simulation runs where the participating units display unreasonable behavior. If the tactical parameters were sampled from a wide uniform distribution, which is shown in table 1 to give the user significantly reduced performance, one would have to filter out the runs with poorly performing input parameters to keep the results in line with real world expectations. Therefore this presents a trade-off between spending time refining the input to the simulations and wasting time on simulation runs which will be filtered out. Our method provides a way to refine these inputs without complicating the simulated behavior by introducing additional stochastic parameters.

 

REFERENCES

 

  1. E. McCutcheon and T. Haggett, “Counting the ASW Calories: Maximising Sonar Performance under Weight and Size Constraints,” in UDT 2019 , (Stockholm, Sweden), 2019.
  2. H. Berg, T. E. Lindhjem, and K. T. Hjelmervik, “Rattus – a simulation framework for tactical analysis and development,” in UDT 2017, (Bremen, Germany), 2017.
  3. K. E. Andreassen, H. Berg, K. T. Hjelmervik, and T. E. Lindhjem, “Simulations of ASW operations in the littoral zone,” in UDT 2022, (Rotterdam, The Netherlands), 2022.
  4. F. B. Jensen, W. A. Kuperman, M. B. Porter, and H. Schmidt, “Ray Methods,” in Computational Ocean Acoustics (F. B. Jensen, W. A. Kuperman, M. B. Porter, and H. Schmidt, eds.), Modern Acoustics and Signal Processing, pp. 155–232, New York, NY: Springer, 2011.
  5. K. R. James and D. R. Dowling, “A method for approximating acoustic-field-amplitude uncertainty caused by environmental uncertainties,” The Journal of the Acoustical Society of America, vol. 124, pp. 1465– 1476, Sept. 2008. Publisher: Acoustical Society of America.
  6. R. J. Urick, “Principles of underwater sound - 2. ed.,” tech. rep., New York, N.Y. (USA) McGraw-Hill Book, 1975.
  7. E. Dombestein and T. Jenserud, “Improving Underwater Surveillance: LYBIN Sonar performance Prediction,” in MAST Americas 2010, (Washington DC, USA), 2010.
  8. K. T. Hjelmervik and E. M. Bøhler, “Optimization of active sonar parameters in a measured environment,” in 6th Underwater Acoustics Conference and Exhibition, (Virtual Meeting), 2021.
  9. K. Heaney and H. Cox, “A Tactical Approach to Environmental Uncertainty and Sensitivity,” IEEE Journal of Oceanic Engineering, vol. 31, pp. 356–367, Apr. 2006. Conference Name: IEEE Journal of Oceanic Engineering.
  10. E. M. Bøhler, K. T. Hjelmervik, and P. Østenstad, “A Monte Carlo approach for capturing the uncertainty in sonar performance modelling,” in Global Oceans 2020: Singapore – U.S. Gulf Coast , pp. 1–8, Oct. 2020. ISSN: 0197-7385.
  11. S. Finette, “Embedding uncertainty into ocean acoustic propagation models (L),” The Journal of the Acoustical Society of America, vol. 117, pp. 997–1000, Mar. 2005. Publisher: Acoustical Society of America.
  12. K. D. LePage, “Estimation of Acoustic Propagation Uncertainty Through Polynomial Chaos Expansions,” in 2006 9th International Conference on Information Fusion, pp. 1–5, July 2006.
  13. J. F. Nash, “Equilibrium points in n-person games,” Proceedings of the National Academy of Sciences, vol. 36, pp. 48–49, Jan. 1950. Publisher: Proceedings of the National Academy of Sciences.
  14. V. Knight and J. Campbell, “Nashpy: A Python library for the computation of Nash equilibria,” Journal of Open Source Software, vol. 3, p. 904, Oct. 2018.
  15. T. P. Boyer, H. E. Garcia, R. A. Locarini, M. M. Zweng, A. V. Mishonov, J. R. Reagan, K. A. Weathers, O. K. Baranova, D. Seidov, and I. V. Smolyar, “World Ocean Atlas 2018,” June 2021.
  16. J. F. Nash, “Non-Cooperative Games,” Annals of Mathematics , vol. 54, no. 2, pp. 286–295, 1951. Publisher: Annals of Mathematics.
  17. P. Østenstand, K. Hjelmervik, J. Albretsen, and K. T. Hjelmervik, “Adjusting modelled sound speed profiles for use in sonar operations,” in OCEANS 2017 - Aberdeen, pp. 1–5, June 2017.