Welcome to the new IOA website! Please reset your password to access your account.

Acoustic source localization in underwater environment using set methods

 

Quentin Brateau , Luc Jaulin and Benoit Zerr

 

Citation: Proc. Mtgs. Acoust. 47 , 070023 (2022); doi: 10.1121/2.0001643

 

View online: https://doi.org/10.1121/2.0001643

 

View Table of Contents: https://asa.scitation.org/toc/pma/47/1

 

Published by the Acoustical Society of America

 

ARTICLES YOU MAY BE INTERESTED IN

 

Modelled sonar and target depth distributions for active sonar operations in realistic environments

 

Proceedings of Meetings on Acoustics 47 , 070013 (2022); https://doi.org/10.1121/2.0001610

 

Stevens Passive Acoustic Detection System (SPADES-2) and its prospective application for windfarm underwater noise assessment

 

Proceedings of Meetings on Acoustics 46 , 070001 (2022); https://doi.org/10.1121/2.0001626

 

Measurements of shipping, fin whales, earthquakes and other soundscape components at the Lofoten- Vesterålen Observatory, Norway (2018-2019)

 

Proceedings of Meetings on Acoustics 47 , 070017 (2022); https://doi.org/10.1121/2.0001619

 

The SOUNDS project: towards effective mitigation of underwater noise from shipping in Europe

 

Proceedings of Meetings on Acoustics 47 , 070021 (2022); https://doi.org/10.1121/2.0001638

 

Sonar array beampattern bounds and an interval arithmetic toolbox

 

Proceedings of Meetings on Acoustics 47 , 055002 (2022); https://doi.org/10.1121/2.0001613

 

Estimation of uncertainties in underwater sound measurements of ships

 

Proceedings of Meetings on Acoustics 47 , 070002 (2022); https://doi.org/10.1121/2.0001571

 

 

 

Acoustic source localization in underwater environment using set methods

 

Quentin Brateau , Luc Jaulin and Benoit Zerr

 

LAB-STICC, ´ Ecole Nationale Sup´erieure de Techniques Avanc´ees Bretagne, Brest, Bretagne, 29200, FRANCE; quentin.brateau@ensta-bretagne.org ; lucjaulin@gmail.com, benoit.zerr@ensta-bretagne.org

 

The study of underwater acoustic wave propagation provides solutions to localization and underwater nav- igation problems. In these cases, simulation can be a powerful tool for a better understanding of acoustic propagation. These simulations are based on models that rely on simplifying assumptions allowing the nu- merical resolution. Simulation is also used to solve more specific problems in underwater environments. For instance, acoustic source localization using receivers in an underwater scene is still a challenging problem and has both civil and military applications. Classical methods are based on the use of acoustic receiver arrays placed in the environment. Assuming a normal modes model for the propagation, collected data are then processed, for example, by singular value decomposition or matched field processing based approach, which provides probabilistic results. The proposed approach to solve this problem is to use set methods. This method allows enclosing all source positions compatible with the recorded hydrophone signal. In ad- dition, possible sets for source position compatible with each receiver can be intersected to increase the certainty of the source location. Besides requiring a good knowledge of the scene, this method requires simulating the acoustic propagation as well as possible to correctly solve this localization problem.

 

1. INTRODUCTION

 

State estimation is a field that aims to estimate the state of a system using its output. There are mainly two approaches to solve state estimation problem: probabilistic methods1 and set methods .2 Among probabilistic methods , one can mention Luenberger state observers or Kalman filters , which are designed to output the most probable state of the system with its associated probability. Among set methods , one can cite set state estimator , which is designed to enclose all possible states for the system.

 

Both these approaches are based on the same type of two-step algorithm, composed of a prediction step and of a correction step, which will be repeated to estimate the state of the system over time. The prediction step aims to predict the next state of the system using the current state and the evolution function , while the correction step will correct this prediction using the system’s output.1

 

Probabilistic methods are powerful in state estimation for linear systems.1 In the nonlinear case, model system equations have to be linearized which induces rough approximations. With nonlinear systems, set methods for state estimation are more robust.

 

Underwater acoustic propagation is a field that provides a lot of information about the environment. However, it involves nonlinear partial derivative equations which when combined with complex scenes can lead to complex dynamics. Valuable data extraction from underwater acoustic propagation is therefore a challenging problem.

 

The localization of acoustic sources from hydrophones is a well-known problem named Matched Field Processing. This method is based on the full field structure of the acoustic signal propagation analysis to estimate source localization as well as the estimation of the ocean waveguide’s parameters.3 For this purpose, a normal mode propagation model is assumed for the ocean’s waveguide to be able to solve the inverse problem.

 

The use of probabilistic methods in solving this type of problem can be challenging because the state estimator has to deal with the non-linear aspect of the problem. In this case, we will show that it is possible to solve this problem efficiently using set methods .

 

More generally, this problem of underwater acoustic source localization is a state estimation problem involving an inversion problem. The purpose of this problem is to estimate the state of the scene, i.e. the position of the transmitter relative to the receiver, knowing that there is in most cases no simple analytical expression between the recorded acoustic level by the receiver and the state of the system.

 

2. SET STATE ESTIMATION

 

A. INTRODUCTION

 

This part deals with the formalism used in the rest of the paper. First, state equations are presented as a tool to model our problem and to define a state which has to be estimated. Then, the state estimation problem is presented using set methods to identify all possible states compatible with the system output. At the end of this part, the theoretical tools necessary to solve a set state estimation problem will be fully developed.

 

B. STATE EQUATION

 

State equations is the mathematical model of a physical system which explains the dynamic behavior of a system through Eq. 1a, named evolution equation and Eq. 1b, named measurement equation . This tool is used in automatics to deal with temporal systems. Equation 1 is the discrete case of state equations, in which x (k) ∈ ℝn is the state vector and y (k ) ∈ℝm is the output vector of this system.

 

 

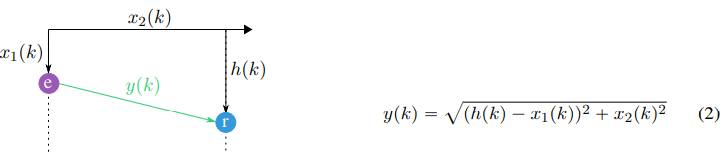
Example 2.1. Consider a receiver r able to measure its distance to an emitter e at any time. Let x (k) = (x1(k), x2(k) )T be the state of the system, where x1(k)represent the depth of the emitter, x2(k)the range between the emitter and the receiver and h(k) is the known depth of the receiver, as illustrated by Fig. 1. The non-linear measurement function g is then known analytically and its expression is the Euclidean distance between the transmitter and the receiver given by Eq. 2.

 

 

Figure 1: Distance sensing example

 

C. SET STATE ESTIMATION

 

Set state estimation is a tool used to estimate the state of a system in a guaranteed way using set meth- ods.2 The current state x(k) is enclosed in a consistency domain 𝕏(k) and the measurement y(k) is enclosed in a consistency domain 𝕐(k) , such that the state and the measurement are guaranteed to be enclosed.

 

This method of state estimation is based on a two-step algorithm, composed of a prediction step based on the previous state, and of a correction step based on a measurement of the system output. Figure 2 shows an iteration of the set state estimation between time k ´ 1 and time k .

 

 

Figure 2: One iteration of the set state estimator

 

On one hand, the state of the system is estimated using the evolution function f applied on the previous consistency domain 𝕏(k - 1) . This prediction step allows characterizing compatible states with the previous one and its dynamics. 𝕐(k) can be built, and by applying the inverse of the measurement function g , all states compatible with the measurement can be characterized.

 

Then, as the consistency domain at time k should be compatible with the two previous conditions, Eq. 3 presents the recursive equation managing the set state estimation method, which gives an enclosing set 𝕏(k) for the real state x(k) of the considered system.

 

 

D. DISCRETIZATION OPERATOR

 

The discretization operator □ can be defined on a set S to enclose it in the tightest set □S defined on a support grid of spatial step ∆x . This enclosing set is built using the case function c∆x applied on each element x in S .

 

 

Figure 3: Discretization operator

 

Figure 3 shows an example of the case operator applied on a two dimensional set. S is enclosed by □S defined on the support grid of step ∆x = (∆x1, ∆x2 )T .

 

E. SIMULATED STATE EQUATION

 

System modeling is sometimes complex and there are systems for which it is difficult to find analytical expressions for their state equations. These cases are frequently encountered when physical mechanisms driving the system are based on non-linear differential equations or non-linear partial differential equations. In these cases, it is then necessary to find solutions to estimate the state of the system while not having these analytical expressions for the state equations.

 

This part shows a solution found to use the previous set state estimation method when the system does not have a simple analytical expression for its state equations, as it is often the case in underwater acoustics. In that case, a simulator can be an alternative to approximate the expression of the unknown function. Models for underwater acoustic propagation simulation are numerous4 and a lot of implemented simulators are available.5

 

In the case there is no analytic evolution function f or measurement function g for the considered system, a simulator can be used. By generating a dataset for a discretized state space with a space step ∆x , images and antecedents of a function could be linked. Then, a continuous set S can be enclosed in □S using the discretization operator.

 

Example 2.2. Consider Example 2.1 extended by adding a reflection of the emitted ping on the sea surface and on the seabed. The receiver will record three pings, one for the direct path and two others later linked to the path with reflection, as shown on Fig. 4. Identifying the analytical expression for g in this case could become more tedious.

 

Assuming one have a simulator which takes the state of the system x(k) as input and return the three pings reception times y1(k), y2(k), y3(k) which form the measurement vector of the system y(k) = (y1(k), y2(k), y3(k))T . This simulator could be used to simulate the forward propagation and to build a dataset that relates states x(k) and measurements y(k) .

 

Then, a discretized version of the measurement function g is built and the inversion problem could be solved. From a measurement y(k) , the set of all possible states 𝕏(k) compatible with this measurement can be enclosed it in □𝕏(k) .

 

 

Figure 4: Three reflecting pings

 

Example 2.2 uses a simulator to inverse the measurement function g , but this method could also be used to generate a dataset for efficient f approximation. For instance, this method could be useful if the relation between 𝕏(k - 1) and 𝕏(k) involves a complex algorithm, and that this estimation has to be done online, i.e. on an embedded system while it is running.

 

3. UNDERWATER SOURCE LOCALISATION

 

A. INTRODUCTION

 

The problem of localization of the emitter using receivers in an underwater environment is a state esti- mation problem. The goal is to estimate the state of the system, which is defined by the depth of the emitter and the range of the receiver depending on the emitter.

 

The tools presented above are used to locate an emitter from a receiver in an underwater environment. Set state estimation can be used to characterize all possible positions for the source compatible with acoustic level measurements done on the receiver.

 

As underwater acoustic propagation involve non-linear partial differential equations, there are no general analytical solutions. The measurement function g which gives the acoustic level recorder by the receiver depending on the state of the system is then unknown. A dataset can be generated using a simulator that allows inverting this function, in other words, to find all possible states compatible with a measurement.

 

B. SIMULATOR

 

Simulators for underwater acoustic simulations are based on solving the wave partial differential equa- tion under assumptions. There are a lot of models involving various assumptions which allows getting more or less accurate solutions for acoustic propagation problems.

 

The most direct models to solve the wave equation are Finite Difference Method or Finite Element Method which discretize time and space or medium. These methods let the possibility to simulate in complex environments but are rather limited due to excessive computational requirements.4

 

Alternative model exists, such as Ray Method , Normal Modes Method or Parabolic Equations Method . These last ones are quite restrictive because of their assumptions to which they are subject, but they are more computationally efficient.

 

It is therefore necessary to choose a simulator that matches the state estimation problem assumptions. For instance in complex environments, it could be interesting to use a Finite Difference Method which provides quite accurate results and is faster than the Finite Element Method .

 

C. FORMALISM

 

Let x(k) = (x1(k), x2(k))T be the state of our problem, with x1(k) the depth of the emitter to be localized, and x2(k) the range between the emitter and the receiver. The depth of the receiver h(k) is known and can be controlled. With this model, estimating the state of the system is equivalent to know the position of the emitter relative to the receiver. Figure 5a shows the formalism of the problem.

 

The state of the system is fixed initially and stays unchanged during the state estimation, i.e. the emitter is immobile and the receiver can only be controlled in depth. It follows that the evolution function f is identity and 𝕏(k) =𝕏(k - 1) .

 

 

Figure 5: Formalism of the scene

 

As shown on Fig. 5b, the seabed is covered with a height s = 40 m of sediments, and the remaining space is filled with water. The immersed part of the scene is x= 2000 m wide and x2 = 100 m high.

 

Sound is assumed to have a constant celerity which in water is fixed at cw = 1500 m s-1 , and in sedi- ments at cs = 1575 m s-1 . The density of water is fixed at ρw = 1000 kg m-3 and density of sediments at ρw = 1700 kg m-3 . The sediment layer is assumed to be thin enough to consider only P-wave propagation.4

 

The acoustic propagation in this scene is simulated using PyRAM5 which uses simplifications based on the rotational symmetry of the problem.

 

D. DATASET GENERATION

 

The possible state space for our problem must be discretized to have a finite number of simulation to launch. As the emitter and the receiver have to be immersed in the scene and not buried in sediments, x1(k) ∈ [0,100] m, x2(k) ∈ [0,2000] m, and h(k) ∈ [0,100] m . Let ∆x1, ∆x2 and ∆h be respectively the discretization steps for x1(k), x2(k) and h(k) . Then, the dataset D ∈ Mn,m,l(ℝ), is a three dimensional matrix, such that n = [x1,max/∆x1] = 100, m = [x2,max/∆x2] = 2000, l = [hmax/∆h] = 100 and by denoting L(x1, x2, h) the received acoustic level :

 

 

Let ∆x = 1 m be the space step for x1(k), x2(k) and h(k) . Figure 8 in Appendix A shows a sample of the dataset for some fixed receiver depth h(k) . These images represent the received acoustic level in dB depending on the state of the system x = (x1, x2)T . When the emitter is near the receiver, i.e. x1 is close to h and x2 is small, transmission losses reach zero while conversely transmission losses are more important. Numerous reflections from the sea surface and the silt layer are visible on the acoustic level and result in very different data.

 

E. MEASUREMENT UNCERTAINTY

 

Due to many uncertainties, it is not possible to take the recorded acoustic level by the hydrophone as an absolute value. There is first the hydrophone’s uncertainty which is applied to the measurement. Often, the measurement’s uncertainty is guaranteed by the manufacturer to be in a Gaussian curve around the real value. With this uncertainty modeling, there is the possibility of having sometimes outliers. They affect the state estimation by reducing to the empty set the estimated state, which means that the incoming measurement is incompatible with the estimated state.

 

Then, the environment model can be sometimes not very accurate. For instance, sea noise modeling is an important step to take into account for the ambient noise in the source acoustic level measurements. The most famous sea noise model is the Wenz model6 which gives an idea of the spectral sound pressure level for a whole frequency range. The main sources of underwater noise that can interfere with the measurements as described by Wenz are turbulence, traffic noise, sea noise, and thermal agitation. This noise is added to the measured one and can also be estimated.

 

For all these reasons, measurements y(k) have to be enclosed in a consistency domain 𝕐(k) which ensures that y(k) ∈ 𝕐(k) . If the uncertainty around the measurement is perfectly known, then this model can be used. Otherwise, the uncertainty can be estimated using for instance the Wenz diagram of noise 6 and the manufacturer’s manual of the considered sensor.

 

 

Figure 6: Uncertainty model using interval analysis

 

Figure 6 shows the uncertainty model using interval analysis.y(k) is the measured acoustic level by hydrophone, and l(k) is the emitted acoustic level. The measurement is enclosed in the consistency domain 𝕐(k) such that the emitted acoustic level l(k) is guaranteed to be enclosed in this interval.

 

 

F. MEASUREMENT FUNCTION INVERSION

 

At time k the receiver’s depth h(k) and the received acoustic level L(x(k), h(k)) are known. Then, the set of possible state 𝕏(k) could be enclosed by □𝕏(k) characterized in the dataset by the set of all the discrete states such that the recorded acoustic level is equal to the simulated acoustic level.

 

 

G. APPLICATION

 

Let x1 = 15 m and x2 = 1965 m be the unknown state of our system. The goal is to estimate this state using the implemented tools and by controlling the receiver’s depth.

 

Using interval analysis as a tool to compute and enclose sets, it is possible to draw inner and outer approximations for sets.2

 

Figure 9 in Appendix B shows □𝕏(k) which is enclosing 𝕏(k) for different receiver depth h(k) . These set are enclosed in paving of ℝ2 using sivia algorithm.2 The red point represents the position of the receiver, the dark blue set is the set of states compatible with the recorded acoustic level, the white set is the incom- patible one and the light blue is the uncertain one. The frontier of the set □𝕏(k) is then enclosed between the dark blue area and the white area.

 

The characterized areas are very different depending on the receiver depth h(k) , but by applying discrete state estimation over different times, we could intersect these different sets as they are referring to the same state, i.e. acoustic levels are recorded from the same immobile emitter.

 

Figure 7 shows the intersection of sets presented in Fig. 9. The real position of the receiver is well enclosed in the set 𝕏 itself enclosed in the set □𝕏 shown in the figure. A zoom is visible in the lower right corner of this figure to have a closer look at this tiny set.

 

 

Figure 7: Underwater acoustic source localisation

 

4. CONCLUSION

 

Set state estimation applied to underwater acoustic source localization seems to give effective results. Besides the fact that with classical probabilistic methods, such as a Kalman filter, it would be difficult to get solutions in a non-linear problem like this one, these set methods add a guaranteed aspect to the solutions which can be interesting in some cases. For instance, in a military context, it could be sensitive to ensure that an acoustic source is not in a certain area and to be sure that it is in another one.

 

Furthermore, these methods are complementary to probabilistic methods because the set of possible positions for the source can be sparse and large in some cases, which does not give a lot of information on the real source location. But the difference with probabilistic methods is that a single recorded acoustic level does not give interesting information except the fact that the emitter’s position is in the characterized area, while a probabilistic method will return the most probable emitter’s position with very poor accuracy.

 

Set state estimation is not a new method, but the use of a simulator in state estimation problems, partic- ularly in the set inversion problem, seems to be quite new in this field. This simulator can also be involved to estimate the evolution function which has not been tested here. However, some problems can occur with this method, particularly the guarantee in the results can be lost if the discretization step or the uncertainty on the measurements are improperly chosen, because the acoustic level is supposed constant on the entire case. More interesting results could be obtained using an interval-based simulator which is able to give an interval enclosing the acoustic level on each discrete case.

 

APPENDIX A

 

 

Figure 8: Simulated dataset for different h(k)

 

APPENDIX B

 

 

Figure 9: Set estimation for different h(k)

 

REFERENCES

 

  1. S. J. Dodds, State Estimation , pp. 561–624. London: Springer London, 2015.
  2. L. Jaulin, M. Kieffer, O. Didrit, and E. Walter, Applied Interval Analysis with Examples in Parameter and State Estimation, Robust Control and Robotics . Springer London Ltd, Aug. 2001. http://www.springer.com/engineering/computational+intelligence+and+complexity/book/978-1- 4471-1067-5
  3. A. B. Baggeroer and W. A. Kuperman, Matched Field Processing in Ocean Acoustics , pp. 79–114. Dor- drecht: Springer Netherlands, 1993.
  4. F. Jensen, W. Kuperman, M. Porter, and H. Schmidt, Computational Ocean Acoustics . Modern Acoustics and Signal Processing, Springer New York, 2011.
  5. U.S. Office of Naval Research, “Oalib ocean acoustics library,” 2022.
  6. G. M. Wenz, “Acoustic ambient noise in the ocean: Spectra and sources,” The Journal of the Acoustical Society of America , vol. 34, no. 12, pp. 1936–1956, 1962.