Welcome to the new IOA website! Please reset your password to access your account.

 

 

Reproduction of acoustic evanescent waves using wave field synthesis and study of the effect of phase differences between monopole secondary sources

 

Akash Kumar1 ; Amrita Puri2

Department of Mechanical Engineering, Indian Institute of Technology Jodhpur, Jodhpur 342030, India

 

ABSTRACT

 

This paper is about the reproduction of acoustic evanescent waves using the linear distribution of discrete monopole secondary sources. The driving function for the actuation of secondary sources is derived using the theory of wave field synthesis. The analysis of the synthesized wave field is done for different source excitation frequencies. A new method of creating more precise evanescent waves based on the phase difference between the sources is also presented. The simulation results show that the driving function obtained using the WFS method results in the correct synthesis of evanescent wave below aliasing frequency. Above the aliasing frequency, when the consecutive secondary sources are in antiphase, it will produce evanescent waves. Otherwise, propagating plane waves get produced. Different errors in the reproduced wave field which comes due to the use of discrete and fixed array length are also investigated, and some solutions to mitigate those errors are presented.

 

Keywords: Wave field synthesis, Evanescent wave, phase difference between secondary sources.

 

1. Introduction

 

With the advancement of technology and the development of new sensors, evanescent waves draw the attention of many researchers due to their peculiar properties like exponentially decaying amplitude and frustrated total internal reflection [1]. When a plane wave goes from a denser medium 1 to the rarer medium 2, such that the incident wave is above the critical angle, then evanescent waves form in medium 2, and if another denser medium 3 is placed close to the medium 1, again, a plane wave will form in medium 3, this property of wave is termed as frustrated total internal reflection. Evanescent wave generally appears at the interface of two medium, when the incident wave fall above the critical angle of total internal reflection and in the case of radiation from a structural vibration when the phase velocity of the flexural wave is less than the speed of the wave in the fluid of contact [2]. Evanescent waves can be used to create a personalized sound field because of their rapidly decaying property [3]. Many researchers have investigated its properties and proposed different methods for its synthesis. David Trivett [4] uses copper electrodes bonded with PVDF to produce evanescent waves in the water and uses least square method to find the driving signal for the individual electrode. Ayaka Ken et al. [5] has proposed a device to generate evanescent wave using piezoelectric crystals attachedan to acrylic sheet, to securely transfer data among nearby gadgets. Hiroaki et al. [3], [6] uses spectral division method (SDV) to define the driving function for the reproduction of evanescent waves using a circular and linear array of secondary sources. In the literature which deals with the synthesis of audible acoustic sound fields, evanescent waves are considered a near-field error [7], [8], [9] but its perceptual effect is not clearly understood [10].

 

This paper uses linear and discrete distribution of ideal monopole sources to produce evanescent waves. The effect of temporal frequency of secondary sources for different control parameters is analyzed to produce a better evanescent wave. The effect of the phase difference between consecutive sources for the reproduction of wave field is also studied.

 

The paper is organized as follows: The theory used in the paper is presented in Section 2. The numerical simulations are discussed in Section 3 and finally, Section 4 concludes the work.

 

2. Theory

 

In this section, the basic theory of evanescent waves and their reproduction methods are briefly discussed. The continuous secondary source is approximated by the discrete and finite length of monopole sources. These approximations result in errors in the reproduced wave field which is discussed in Section 2.4. The relation of phase difference between the consecutive sources and reproduced evanescent waves/propagative waves is established in Section 2.6.

 

2.1 Evanescent waves

 

Evanescent waves appear in many physical phenomena, like when an acoustic wave from medium 1 incident on medium 2 (where 𝑣1 and 𝑣2 are respective wave propagation speeds such that 𝑣2 > 𝑣1) above the critical angle, then a rapidly decaying wave generally appears in the medium 2, which is termed as an evanescent wave. This phenomenon is usually explained by the continuity principle of acoustic energy flux at the interface of two mediums [11]. Another physical phenomenon where evanescent waves are more common is the sound wave radiation from a vibrating structure If the phase velocity of a flexural wave in the plate is less than the sonic speed in the contact fluid, a hydrodynamic short circuit (the normal upward and downward velocity of the fluid particles in contact with the vibrating plate is too close, which restricts the formation of propagating wave and radiated field dies out rapidly) occurs in the radiated wave [12], which result in a rapidly decaying wave, called an evanescent wave.

 

2.2 Acoustic wave radiated from a harmonically vibrating plate

 

Consider an infinite length harmonically vibrating plate (in x-z plane) such that wave number along the z-direction (𝑘z ) is zero. The vertical displacement 𝑌 of the plate can be expressed as [2]:

 

 

where 𝑗= √−1 and 𝑘pt is the wave number of flexural wave along the x direction. Wave number is defined as, 𝑘pt = 𝜔/𝑐pt , (𝑐pt is the phase velocity of flexural wave along x-direction).

 

After solving the Helmholtz wave equation for the boundary condition  obtained from Euler’s equation and assuming no any source above the vibrating plate. And at the vibrating surface, both plate and fluid particle’s velocity is same in the normal direction [12]. The radiated pressure field in the contact fluid due to flexural wave is expressed as [12]:

 

 

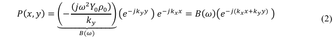
where 𝐵(𝜔) is the spectral term depend upon 𝜔 and fluid acoustic properties (mass density, 𝜌0 ). 𝑘x(𝑘pt) and 𝑘y are respective wave number of radiated pressure field along x and y-direction.

 

The wave number ( 𝐾= 𝜔/𝑐 ) in 2D Cartesian coordinate obeys the following relation:

 

 

Since the wave propagates away from the plate, thus positive sign is taken. In this case, the phase velocity of the flexural wave in the plate is greater than the speed of sound in the fluid.

 

The wave will propagate away from the plate by an angle 𝜃 to the x-axis [12].

 

 

 

Since the intensity of radiated pressure wave always decays away from its source thus negative sign is taken; i.e. 𝑘y= −𝑗𝑘ye . From Equation (2) the radiated wave can be written as:

 

 

 

Equation (5) depicts that radiation/disturbance in the fluid is exponentially decaying normal to the surface of the plate and such a sound field is termed an evanescent wave field.

 

Case III : When 𝐾 = 𝑘x ;ky=0

 

The amplitude 𝐵(𝜔), of the radiated wave, will become infinity, and this can be easily explained using Equation (2).

 

2.3 Reproduction of acoustic evanescent waves and propagating waves using WFS

 

According to Rayleigh 1st integral, under free field condition, the sound field 𝑃(𝑿, 𝜔) created by a linear distribution of monopole secondary sources (at the boundary 𝑿𝟎 ) , is the superposition of wave fields created by all individual sources can be given as [13]:

 

 

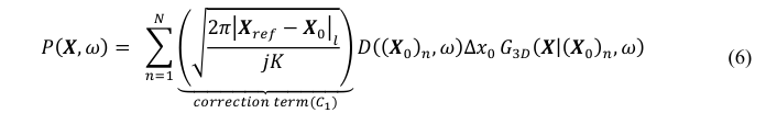
where 𝑁 is the total number of monopole sources, Δ𝑥0 is the distance between two consecutive monopole sources, 𝜔 is the temporal frequency, 𝑿 is the field point in x-y plane, 𝑿ref is the location where correct pressure amplitude is required and correction term( 𝐶1 ) accounts for that [12]. In our study a linear array of monopole sources is taken and |Xref - X0|l= 0.3 m . So correction term is constant throughout the study.

 

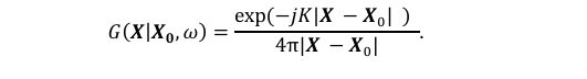
𝐺(𝑿|𝑿𝟎 , 𝜔) is the free field Green’s function for monopole source and it is defined as [12]:

 

 

𝐷(𝑿0 , 𝜔) is termed as driving function, which control the secondary source to achieve a desired sound field 𝑃(𝑿, 𝜔) , it can be defined as [13]:

 

 

2.3.1 Driving function for the synthesis of evanescent waves

 

By inserting the expression of desired sound field i.e. Equation (5), into the Equation (8), the respective driving function can be written as:

 

 

The unit inward normal to the liner array is taken as, n^(X0)= [0,1]T .

 

2.3.2 Driving function for the synthesis of a propagating plane waves

 

From Equation (2) and (8), the driving function for a propagating plane wave can be expressed as:

 

 

Equation (10) and (9) appears similar in expression, only a difference of negative sign and this can be explained using the Case I and II described in Section 2.2.

 

By taking the inverse Fourier transformation of driving function defined in temporal frequency domain the driving signal in time domain can be calculated, which can be used to drive the loudspeakers to generate an evanescent wave field.

 

2.4 Relation between spatial aliasing frequency and spacing between monopole sources

 

The use of discrete distribution of secondary sources may result in under-sampling (at least two secondary sources to capture one repeated disturbance along the array) of the virtual sound field which results in spatial aliasing. The condition of spatial aliasing given by Start [14] can be utilised to study the reproduction of evanescent waves. The condition is reproduced here as:

 

 

where 𝑓a is the temporal aliasing frequency of secondary sources for a particular value 𝑚 and c is the speed of sound. 𝑚a is a constant and 𝑚a > 1 for the reproduction of evanescent waves.

 

The value of temporal frequency above which aliasing will occur even for the smallest value of 𝑚, can be given as [14],

 

 

Below 𝑓’a , for a particular frequency 𝑓a , 𝑚a is that constant above which plane wave will start to form. Above 𝑓’a , it is not possible to create only evanescent waves in the entire region above the linear array.

 

2.5 Phase difference between the consecutive secondary sources for evanescent waves and propagating waves.

 

Using Equation (9) the phase difference between the driving function of evanescent waves of two consecutive sources of a linear array at y=0, can be expressed as:

 

 

At the limiting conditions ( 𝑚= 𝑚a and 𝑓= 𝑓a ) of spatial aliasing given in Equation (11), the generalized condition for respective phase difference can be given as:

 

 

Replacing ΔΦevn of Equation (13) with ΔΦ’evn and utilizing the limiting conditions given in Equation (11) we can write:

 

 

In Equation (15), 𝑚 represents those values 𝑚a (such that 𝑓a < 𝑓’a ) at which evanescent wave dominate the total reproduced wave field. This is illustrated by simulation results in Section 3.

 

Similar to the Equation (13), the phase difference between the driving function of plane wave at two consecutive secondary sources can be expressed as,

 

 

2.6 Relation between the phase differences between two consecutive secondary sources for evanescent waves and propagating waves

 

Since , (𝑘x)pw < |𝐾| and (𝑘x )evn > |𝐾| , to find the relation between the phase difference of Equations (13) and (16) we have to add an additional term (2𝑆1 𝜋) such that 𝑚> 1 :

 

 

The value of 𝑆1 should be taken such that the right-hand side of Equation (18) should satisfy the range of cos𝜃pw 𝜖[−1 ,1].

 

3. Numerical study

 

In this section different numerical simulation results are presented to analyse the evanescent waves created by an equally spaced ( Δ𝑥0 = 10 cm) linear array of length 2 m. Using Equation (12), for Δ𝑥0 = 10 cm, 𝑓’a 𝑖𝑠 1715 𝐻𝑧 .

 

Figure 1(a) and Figure 1(b) represent two different cases as discussed in Section 2.2, the real value of radiation (pressure field) radiated from a plate is presented for two cases, one for m <1, which radiate plane waves and another for m >1.4, which radiate a rapidly decaying evanescent waves.

 

 

Figure 1: The acoustic wave radiated from a vibrating plate for different 𝑘x is shown in figure (a) and (b). Figure (c) represents the variation of absolute pressure along y-direction at different temporal frequencies. 𝑚= 𝑘x /𝐾 .

 

Figure 1 shows the acoustic wave radiation from a vibrating plate, from Figure 1(a) and Figure 1(b), we can observe that the plate produces plane wave for 𝑚 <1, and for 𝑚 >1 it only produces evanescent waves. From Figure 1(c), we can also observe that as the frequency ( 𝑓 ) increases, the decay rate in the y-direction increases.

 

 

Figure 2: Synthesized wave field using monopole secondary sources for frequencies 1000 Hz and 2000Hz at different values of 𝑚 , using the driving function of evanescent waves defined in Equation (9), 𝐵(𝜔) = 1.5 . Blue triangles represent the secondary sources.

 

Figure 2 shows the wave field reproduced by a finite and discrete distribution of secondary sources using the driving function (refer Equation (9)) defined for evanescent wave. We can observe that, unlike a continuous source for a discrete case it is not possible to create an evanescent wave above a certain frequency. For 𝑓< 𝑓’a , a pure evanescent wave can be produced for 𝑚= 𝑚a = 1.7 (Refer Equations (11)) and for 𝑚> 𝑚a propagating plane waves form as shown in Figure 2(b). For 𝑓> 𝑓’a , as shown in Figure 2(c) , a diffused field form near the central region of array, and above certain distance away from the array there is some presence rapidly decaying waves along the y-direction. The calculation of these distances is out of the scope of this paper, and will be addressed in our future study. The use of a finite length array results in truncation artifacts in the reproduced field which is explained by the diffraction phenomenon of wave [15]. To reduce this error ‘ Tukey window ’ is taken in the simulations.

 

 

Figure 3: Reproduced pressure field at aliasing frequency, 𝑓’a =1715Hz.

 

 

Figure 4: Pressure amplitude (dB) along y- direction at x=0.( 𝑚= 1.4 )

 

Figure 3 represents the presence of evanescent waves and propagating waves at aliasing frequency, given in Equation (12). In Figure 3, 𝑚= 1.005 and from the simulation result, we can say that, above 𝑓’a , even for a smaller value of 𝑚, propagating waves appear in the reproduced field.

 

From Figure 4, we can observe that for 𝑚= 1.4 , 𝑓a is 1225 Hz (Refer Equation (11)), as frequency increases, propagating waves start to form and 𝜃pw can be calculated using Equation (18). Because of finite length of array, the propagating wave cannot appear in all region above the array. So, even after 1225 Hz, rapidly decaying waves can be traced at some locations above the array.

 

 

Figure 5: Pressure amplitude along y-direction created by a finite and discrete monopole secondary sources is plotted as a function of 𝑚 at different values of temporal frequencies (200Hz, 500Hz, and 1000Hz). Black dash line is plotted by using the condition given in Equation (18) (for 𝜃pw = 90º ) and red dash line is plotted by using the condition given in Equation (15) for different integral value of 𝑆1 and s.

 

From Figure 5, we can observe that for 𝑚< 𝑚a , evanescent waves reproduced and follow the same trend as represented in Figure 1(c) for the case of continuous source. For 𝑚> 𝑚a , propagating waves start to form and at an even multiple of 𝑚a , a normally radiating plane waves formed. Between 𝑚= 𝑚a 𝑎𝑛𝑑 2𝑚a , an inclined plane waves form and the relation between the propagation direction and 𝑚 is explained in Section 2.6.

 

 

Figure 6: Pressure amplitude (dB) at different geometric location and for different combination of parameters (𝑓, 𝑘x and 𝑚 ) is plotted using driving function obtained for evanescent wave (Ref. Equation (6) and (9) ). In figure (c) 𝑚= 𝑘x 𝑐/2𝜋𝑓 .

 

From Figure 6 (a) and Figure 6 (b), we can observe that below aliasing frequency 𝑓’a , there is a periodic behaviour between the formation of propagating waves (yellow area) and evanescent waves (blue area). Comparing Figure 6 (a) and Figure 6 (b) above 1600Hz, we can say that, at a larger distance (y=2.67 > 1) away from the array, the frequency above which, wavefield dominated by propagating waves decreases. Thus we can say that at a particular location, the aliasing frequency also depends on the position with respect to the array.

 

In Figure 6 (c) a point in the plot represents the contribution of plane wave along the x-direction (i.e. 𝑘x ) for a particular value of temporal frequency ( 𝑓 ). The dark blue area represents the absence of plane wave at X (0,0.5). Above 𝑓’a (1715Hz) a diffused field will forms, result in low and high amplitude of sound for different pairs of 𝑓 and 𝑘x .

 

4. Conclusions

 

In this paper, the driving function to create evanescent waves using discrete and linear secondary sources is presented. This results error in the form of plane waves and diffused sound field.

 

It is impossible to create only evanescent wave fields (using WFS (used in this paper) or SDM [6]) for all temporal frequencies 𝑓 using the source distribution taken in this paper, there will be some leakage of the wave fields in the space in the form of propagating waves above aliasing frequency.

 

The use of a finite length of secondary source distribution becomes a favourable condition for producing propagating waves, because of the absence of counteracting wave fronts to completely cancel out the wave fronts emitted by the source at the edge of a linear array and this undesired propagating wave field can be eliminated by using a tapering windowing function.

 

The error appears due to discretization can be reduced by taking a finer distribution of secondary sources or by judicially choosing the 𝑓 and 𝑚 pair in the driving function.

 

For a given temporal frequency ( 𝑓 ) below the maximum allowable frequency ( 𝑓’a ) , a pure evanescent wave field can be produced only for a narrow range of 𝑚 ( 𝑘x /𝐾 ). For other values of m propagating wave starts to form.

 

The phase difference between the consecutive sources depends upon 𝑚 , 𝑓 and Δ𝑥0 . If 𝑚< 𝑚a , the phase difference between the consecutive monopole is below 180° and evanescent waves form. If 𝑚= 𝑚a , a highly decaying evanescent waves form, corresponding to the 180° phase difference between the secondary sources. Above 𝑚> 𝑚a , plane waves start to form and at an odd multiple of 𝑚a , strong evanescent waves form.

 

Above aliasing frequency 𝑓’a ,the presence of the evanescent field, propagating wave field and diffused field can be traced in the generated wave field. From simulation results is it found that the presence of evanescent waves or plane waves above the linear array also depend on the spatial location and array length, which will be addressed in our future study.

 

References

 

  1. Y. Zhu, C. Yao, J. Chen, and R. Zhu, “Frustrated total internal reflection evanescent switching,” Opt. Laser Technol. , vol. 31, no. 8, pp. 539–542, 1999, doi: 10.1016/S0030-3992(99)00102-4.
  2. F. Fahy and A. Kalnins, Sound and Structural Vibration Radiation, Transmission, and Response by Frank Fahy , vol. 81, no. 5. 1987.
  3. H. Itou, K. Furuya, and Y. Haneda, “Localized sound reproduction using circular loudspeaker array based on acoustic evanescent wave,” in ICASSP, IEEE International Conference on Acoustics, Speech and Signal Processing - Proceedings , 2012, no. February, pp. 221–224, doi: 10.1109/ICASSP.2012.6287857.
  4. D. H. Trivett, L. D. Luker, S. Petrie, A. L. Van Buren, and J. E. Blue, “A planar array for the generation of evanescent waves,” J. Acoust. Soc. Am. , vol. 87, no. 6, pp. 2535–2540, 1990, doi: 10.1121/1.399046.
  5. A. Fujii, N. Wakatsuki, and K. Mizutani, “A planar acoustic transducer for near field acoustic communication using evanescent wave,” Jpn. J. Appl. Phys. , vol. 53, no. 7 SPEC. ISSUE, 2014, doi: 10.7567/JJAP.53.07KB07.
  6. H. Itou, K. Furuya, and Y. Haneda, “Evanescentwave reproduction using linear array of loudspeakers,” in IEEE Workshop on Applications of Signal Processing to Audio and Acoustics , 2011, pp. 37–40, doi: 10.1109/ASPAA.2011.6082299.
  7. S. Spors and R. Rabenstein, “Spatial aliasing artifacts produced by linear and circular loudspeaker arrays used for wave field synthesis,” in Audio Engineering Society - 120th Convention Spring Preprints 2006 , 2006, vol. 3, no. 1, pp. 1418–1431.
  8. S. Spors and J. Ahrens, “Analysis of near-field effects of wave field synthesis using linear loudspeaker arrays,” in Proceedings of the AES International Conference , 2007, pp. 1–10.
  9. S. Spors and J. Ahrens, “Reproduction of focused sources by the spectral division method,” in Final Program and Abstract Book - 4th International Symposium on Communications, Control, and Signal Processing, ISCCSP 2010 , 2010, no. March, pp. 3–5, doi: 10.1109/ISCCSP.2010.5463335.
  10. J. Ahrens and S. Spors, “Focusing of virtual sound sources in higher order Ambisonics,” in Audio Engineering Society - 124th Audio Engineering Society Convention 2008 , 2008, vol. 2, no. May, pp. 628–636.
  11. D. C. Woods, J. S. Bolton, and J. F. Rhoads, “On the use of evanescent plane waves for low-frequency energy transmission across material interfaces,” J. Acoust. Soc. Am. , vol. 138, no. 4, pp. 2062–2078, 2015, doi: 10.1121/1.4929692.
  12. E. G. Williams, Fourier Acoustics: Sound Radiation and Nearfield Acoustical Holography. Academic Press, 1999 . .
  13. S. Spors, R. Rabenstein, and J. Ahrens, “The theory of wave field synthesis revisited,” in Audio Engineering Society - 124th Audio Engineering Society Convention 2008 , 2008, vol. 1, no. January, pp. 413–431.
  14. E. W. Start, “Direct sound enhancement by wave field synthesis,” PhD thesis, Delft University of Technology, Delft, The Netherlands, 1997.
  15. E.N.G. Verheijen, “3D Sound Reproduction by Wave Field Synthesis,” PhD thesis, Delft University of Technology, Delft, The Netherlands, 1997.

 

Reply : to reviewer’s comments

 

Authors are very thankful for providing an opportunity to revise our submitted manuscript titled “ Reproduction of acoustic evanescent waves using wave field synthesis and study of the effect of phase differences between monopole secondary sources ”. We appreciate the reviewer for giving his/her valuable time to read and provide us with critical feedback to improve the quality of the manuscript. We tried to answer all the reviewer's comments and revised the manuscript accordingly.

 

Comment # 1: The goal of the paper is a bit of a complex issue.

 

Reply: The goal of this paper are:

 

1. Synthesis of acoustic evanescent waves reproduced by a linear and discrete distribution of secondary sources using the theory of WFS.

2. To study the effect of temporal frequency of secondary sources on the reproduced evanescent waves based on WFS.

3. To understand the effect of the phase difference between the consecutive secondary sources for the reproduction of evanescent waves.

 

Comment # 2: Frustrated total internal reflections probably only known to very few readers, but it appears all well-motivated.

 

Reply: In the revised paper frustrated total internal reflection is briefly explained.

 

Revision: “When a plane wave goes from a denser medium 1 to the rarer medium 2 such that the incident wave is above the critical angle then evanescent waves form in medium 2 and if another denser medium 3 is placed close to the medium 1, again a plane wave will form in medium 3, this property of wave is termed as frustrated total internal reflection.”

 

Comment # 3: The discussion and conclusions of the paper appears a bit shaky, or not well formulated, yet.

 

Reply: In the revised manuscript, the sections are rearranged and the conclusion section is revised.

 

Comment # 4: The wave number should be explained to be omega/c in the basics section.

 

Reply: We have defined “the wave number as ( 𝐾= 𝜔/𝑐 ) above Equation 3”

 

Revision: “The wave number ( 𝐾= 𝜔/𝑐 ) in 2D Cartesian coordinate obeys the following relation:”

 

Comment # 5: Fonts in Fig.1 are not readable and should probably be enlarged. (I always use set(gcf, 'PaperUnits','centimeters','PaperPosition',[0 0 13 8]) and print('-depsc2','my_automatically_saved_diagram.eps') or something similar to make it happen, and scaling is done with adjusting the x-y size that is 13 x 8 in the above example)

 

Reply: In the revised paper the font size of text is increased to improve its readability.

 

Comment # 6: Eq.7 uses a dot between -j and k and after 4pi, why? What would that mean? If you want to make a space, just use a space (or in LaTeX "\;") Why does the wave-number symbol change to non-capital "k" in eq(7), when it was capital "K" above? Pls. unify or explain.

 

Reply: The dot between j and k is removed and after pi.

 

Revision: “ 𝐺(𝑿|𝑿𝟎 , 𝜔) is the free field Green’s function for monopole source and it is defined as:

 

 

Comment # 7: The position vectors Xref, X0, X are not explained.

 

Reply: We have explained 𝑿ref , 𝑿0 , 𝒂𝒏𝒅 𝑿 in the section 2.3 in the updated manuscript.”

 

Revision: “ ‘linear distribution of monopole secondary sources (at the boundary 𝑿𝟎 )’ , ‘ 𝑿 is the field point in x-y plane, 𝑿ref is the location where correct pressure amplitude is required’ ”

 

Comment # 8: Fig.2 is nearly unreadable.... Does the scaling need to be as small?

 

Reply: In the revised manuscript the size of the figure is increased.

 

Comment # 9: Could you insert some words about what is the key difference/distinction of the driving function of eq(9), in comparison to the typical WFS driving functions?

 

Reply: Equation 9 is derived using the theory of WFS.

 

Revision: In the revised manuscript a sentence is included “By taking the inverse Fourier transformation of driving functions defined in temporal frequency term the driving signal in time domain can be calculated, which can be used to drive the loudspeakers to generate an evanescent wave field.”

 

Comment # 10: So that now it is not a free field but vibrating-plate boundary condition for the plate displacement Y in eq (1) of the x-z plate in y direction? You only write "can be defined as" in your contribution... Eqs 9 and 14 are nearl the same but do not really refer to each other. Wouldn't that help readability?

 

Reply: Yes, we agree with you. In the revised manuscript this sentence is modified.

 

Revision: In the revised manuscripts the equation numbering is changed from (14) and (9) to (10) and (9).

 

Revised sentence “Equation (10) and (9) appears similar in expression, only a difference of negative sign and this can be explained using the Case I and II described in Section 2.2.”

 

Comment # 11: Eq.15 and others uses italic "cos", which is normally non-italic. maybe consider changing.

 

Reply: Thank you for pointing out this error. In the revised manuscript we have corrected it and made all cos term non-italic.

 

Revision: “ cos 𝜃pw = 𝑚−(2𝑆1 𝜋)/𝐾Δ𝑥0 . ”

 

Comment # 12: Below Fig. 5 the text probably requires re-phrasing "This paper represents a method to recreate an evanescent wave created by a continuous source (harmonically vibrating infinite long plate), having temporal frequency f and spatial wavenumber ... Theoretically, for any temporal frequency f, if the wavenumber ratio is greater than one (i.e. ...) plate will produce a rapidly decaying wave as represented Figure 3(c), but this is not the case if sources are discrete." -> it reads like an introduction, but actually your contribution is just about to finish.

 

Reply : Thank you for this suggestion. This statement is modified in the revised manuscript

 

Revision: “From Figure 5, we can observe that for 𝑚< 𝑚a , evanescent waves reproduced and follow the same trend as represented in Figure 1(c) for the case of continuous source. For 𝑚> 𝑚a, propagating waves start to form and at an even multiple of 𝑚a , a normally radiating plane waves formed. Between 𝑚= 𝑚a 𝑎𝑛𝑑 2𝑚a , an inclined plane waves form and the relation between the propagation direction and 𝑚 is explained in the Section 2.6.”

 

Comment # 13: probably "The equations and figures above discuss our method ... to..." -> it should be "the plate", with an article, in my view, and "an evanescent wave reproduces", and "a sound field of larger amplitude", and "the evanescent wave".

 

Reply: We have taken care of these articles in the revised manuscript.

 

Comment # 14: Figures would benefit from being vector graphics, or least of readable font sizes.

 

Reply: Thank you for this suggestion. We have applied it in some of the plots.

 

Comment # 15: Conclusion "in term of the wave number" in terms of? "is odd multiple of" is an odd multiple of? "is even mulitple of" is an even multiple of?

 

Reply: In the revised manuscript, conclusion is modified.

 

Revision: “The phase difference between the consecutive sources depends upon 𝑚 , 𝑓 and Δ𝑥0 . If 𝑚< 𝑚a , the phase difference between the consecutive monopole is below 180 º and evanescent waves form. If 𝑚= 𝑚a , a highly decaying evanescent waves form, corresponding to the 180 º phase difference between the secondary sources. Above 𝑚> 𝑚a , plane waves start to form and at an odd multiple of 𝑚, strong evanescent waves form. ”

 

Comment # 16: I must admit, that I do not understand the accomplishment of the paper, or recognize it from the graphics. It could be made clearer if your paper can produce evanescent waves better, even if the sampling is not dense enough.

 

Reply:

 

Accomplishment:

 

1. Analysis of acoustic evanescent waves reproduced by a linear array of discrete monopole sources based on the theory of WFS.

2. Analysis of evanescent wave above and below the aliasing frequency. To improve the graphical representation. “Graphics are separately explained in the numerical study section, in the revised manuscript the.”

 

Comment # 17: It could be made clearer if your paper can produce evanescent waves better, even if the sampling is not dense enough.

 

Reply: Using the method described in the paper it is not possible to accurately create evanescent waves if sampling is not dense enough .

 

Revision: In the Conclusion, a statement is added based on our analysis: “It is impossible to create only evanescent wave fields (using WFS (used in this paper) or SDM [6]) for all temporal frequencies 𝑓 using the source distribution taken in this paper, there will be some leakage of the wave field in the space in the form of propagating wave above aliasing frequency”.

 

Comment # 18: It could be made clearer what the method is and what it is compared to.

 

Reply: The method used in this paper to reproduce evanescent waves is based on the theory of WFS (for discrete and finite-size linear array). And its comparison is done with the evanescent wave created by a vibrating plate (continuous source).

 

Comment # 19: I don't see a clear comparison. I see a formal discussion in terms of the equations, but I cannot actually recognize the verbal and graphical discussion clearly...]

 

Reply: We have compared the evanescent wave reproduced by a finite length of discrete array with the evanescent waves produced by an infinite length continuous source (plate).

 

Revision: In the revised paper we added a new figure 4 (Pressure amplitude (dB) along y-direction at x=0 for ( 𝑚= 1.4 )) to compare the discrete case with the continuous source as shown in figure 1(c)( the variation of absolute pressure along y-direction at different temporal frequencies.

 

In the revised paper a new section on the numerical study is included which describes all the numerical studies based on simulation results.

 

Comment # 20: “Des the paragraph before the conclusion mean that only specific frequency and spatial discretization configurations reproduce evanescent waves usefully? And others won't? What is the strategy then to reproduce them? Knowing where it works and where it won't?”

 

Reply: Yes, analogous to the temporal aliasing concepts in signal and system, in wave field synthesis using discrete source we sample the virtual wave field in space. If the spacing between the secondary sources is not small enough, it will result in spatial aliasing (deviated from the desired wave field) in the reproduced wave field. From our study on the reproduction of evanescent wave using WFS method, we found that it is nearly impossible to generate only evanescent waves above aliasing frequency using WFS.

 

Revision: In the revised paper Figures 3 and 4 are included to represent that above 𝑓’a , it is not possible to generate only evanescent wave using WFS.

 

Comment # 21: The third conclusion paragraph makes this a bit clearer, but it is not obvious from the text above 

 

Reply: In the previous paper third paragraph in the conclusion section states as “From the simulation results it is observed that the correct synthesis of the evanescent waves using a discrete source distribution can only be obtained for a specific range of 𝑚(𝑘/𝐾). And outside this range, the plane wave components appear in the synthesized wave field. The values of m for accurate synthesis of the evanescent wave are discussed in this paper. Above the aliasing frequency a relation between the plane wave propagation direction ( 𝜃pw ) and 𝑚 is established in term of wave number (K) and distance between the secondary sources ( Δ𝑥0 ).”

 

In the revised paper, Figure 5 represents the variation of pressure along the y-direction with respect to m, and the rapid transition from yellow part to blue part (along the y-direction) for a particular m represents the presence of rapid amplitude decaying waves, for that particular value of m. And for other values where such phenomenon is not occurring it represents the presence of propagating waves.

 

Revision: In the revised paper, Figure 2 is modified to make a comparison between the reproduced wave fields for different values of m and f

 

Comment # 22: “In my understanding the paper mainly analyzes the effect of spatial aliasing.

Aliasing means in the worst case that an alternating component can be mistaken as containing a constant component. (or that one directional plane-wave component can be mistaken as another directional plane-wave component). Is it that?”

 

Reply: Yes, in this paper we analyze the effect of spatial aliasing. We also find the relation of phase difference between consecutive sources and the type of wave field produced using the driving function explicitly obtained for the synthesis of evanescent wave.