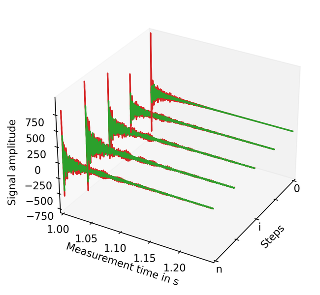
A A A Volume : 44 Part : 2 Investigation of the applicability of recurrent neural networks for structural health monitoring in the frequency domainLukas Outzen 1Tobias P. Ring 2Sabine C. Langer 3Technische Universität Braunschweig, Institute for Acoustics Langer Kamp 19, 38106 Braunschweig, GermanyABSTRACT Structural health monitoring (SHM) aims to detect or predict state changes or damages in engineering structures. In order to discriminate between various damage characteristics and locations, the SHM system requires relevant information about the structure as well as a suitable method to evaluate these. This paper explores a data-driven SHM approach that models damage processes using recurrent neural networks. As model input data, the machine learning algorithm uses sequential frequency domain data at consecutive steps during the advancing damage process. From the change in transfer functions that occurs during structural changes, the model derives information about the state of the monitored object. In order to discuss the potentials and limitations of this modeling approach, a simple bolted structure with non-trivial changes in the frequency response is employed. A gradual damage process is simulated by incrementally loosening one of the joints. The resulting sequences of transfer functions are used as input to the recurrent neural network model and related to the respective preload force. By varying the data sequences used for model training and application, the functioning of the modeling process is investigated. The possibility of inversely learning from the model about damage indicators by analyzing e ff ective input values is discussed.1. INTRODUCTIONIn order to prevent catastrophic failures and maximize the economic e ffi ciency of civil structures, structural changes must be reliably detected and evaluated as early as possible. Research in this field has been ongoing for several decades and is still very active. Recently, data-driven methods have gained increasing interest in the research community. The abundance of readily available machine learning (ML) algorithms, coupled with the increasing availability of computing power, make these methods an attractive alternative to traditional approaches. While some SHM methods rely, for example, on optical phenomena or acoustic emissions of a structure, most approaches are based on its vibration behavior [1]. They analyze the vibration1 l.outzen@tu-braunschweig.de2 t.ring@tu-braunschweig.de3 s.langer@tu-braunschweig.dea slaty. inter.noise 21-24 AUGUST SCOTTISH EVENT CAMPUS O ¥, ? GLASGOW response of the structure in the time domain or the frequency domain in order to find anomalies or patterns that indicate the presence, location and severity of structural changes. The majority of the vibration-based methods utilize the natural frequencies and / or the mode shapes of the structure and compare their initial state (considered as healthy state) to the current state [2]. The underlying principle of these approaches is that the mass-, sti ff ness- and damping properties of the structure are altered by structural damage [3]. These changes of dynamic properties have an impact on the measured data and hence can be attributed to occurrences and locations of the structural change. For the extraction of these damage indications from the frequency-domain data, the ML-based methods employ various di ff erent data-driven approaches to characterize discrepancies between the initial state and the current state of the structure [4]. However, when applying these methods to real- world SHM scenarios, there are multiple challenges arising, some of which will be addressed in the next chapter. Instead of classifying the state of the structure into the two possible states healthy and damaged , the approach of this contribution models the gradual damage process. Therefore, multiple data-processing units are coupled to build a data-driven model, the core of which is a recurrent neural network (RNN). This allows the model to relate the consecutive steps of individual measurements to an integral sequential damage process. This approach has first been presented in [5]. For this work, the method has been extended by a feature extraction and dimensionality reduction step using convolutional layers. The focus of the studies lies on the investigation of the potentials and challenges of this approach. The paper is structured as follows. In the next chapter, challenges of a real-world application of an SHM system and requirements for the modeling approach to be developed are discussed. After the exemplary structure considered in this paper has been introduced in Chapter 3, the proposed methodology is explained in detail in Chapter 4. Chapter 5 presents a series of investigations by specifying the di ff erent modeling tasks and discussing the results, respectively. Subsequently, the relevance of the interpretability of the data-driven models is discussed and first results presented in Chapter 6, before the insights of this paper are concluded in Chapter 7.2. CHALLENGES AND MODEL REQUIREMENTSAssociating structural damages to corresponding changes in the frequency domain of the vibrating structure is a promising approach in SHM research. However, there are multiple challenges on the way to successfully implementing such a monitoring system. Some of these challenges and consequential model requirements are described in this chapter.1. When analyzing simple structures, the changes in the frequency response of a system can be interpreted with simple methods, e.g. peak-fitting of the resonance frequencies or visual inspection [5]. However, the frequency responses of realistic structures are much more complex and cannot be analyzed as easily, as will be shown in Chapter 3. Hence, the model must be able to extract complex information from the frequency domain data autonomously.2. Another challenge concerning the applicability of frequency domain-based methods is the absence of knowledge about the entirety of the forces interfering with the structure. The frequency response function (FRF) of a structure is defined as the ratio of its vibration response to a defined excitation [6]. In order to compute this FRF, both the exciting forces and the resulting vibrations of the structure must be known. In the case of a large-scale structure, e.g. a bridge, not all interfering forces can be defined or measured. During the measurements of the structure, unknown forces, induced for example by wind or ground motions, will occur. Consequently, a robust output-only method is desirable, that only requires the measurement of the structural vibrations [7]. 3. Besides permanent structural changes or damages, there are temporary operational or environmental conditions that have an impact on the dynamic properties of the structure. For example, periodic temperature changes that occur in regular intervals (e.g. daily or seasonally) cause fluctuations in the frequency response of the system that must be accounted for to prevent the damage detection system from interpreting them as indications of damage [2]. In order to be able to di ff erentiate between the occurrence of such reversible changes and permanent damage processes, the method described in this contribution aims to model the changes in the frequency domain instead of individual states.4. The SHM system must be able to detect various di ff erent changes of state that could possibly occur during the service life of the structure. Therefore, the model needs relevant information about a broad range of damage scenarios. Civil structures are generally unique, so that little or no information about damage cases or changes of state are available [2]. One possibility for dealing with this lack of information is employing a model of the monitoring object for data generation. For example, this can be a finite element (FE) model approximating the real structure, or a small-scale model of the structure which can mimic relevant changes of state. In any case, there will be a discrepancy between model and reality, which needs to be dealt with methodologically. The proposed method attempts to overcome this issue by modeling the structural changes during the gradual damage process. Even if the representation of an individual structural state di ff ers between the model and the real structure, the changes between those states may coincide.The derived model requirements provide the basis for the methodology presented in the next chapters. Each of them will be addressed individually throughout this paper. Subsequently, the challenges and solution approaches are summarized in Table 1.3. INVESTIGATED STRUCTUREThis chapter introduces the experimental data for developing and testing the methodology proposed in this paper. Therefore, the experimental setup of the generic structure used to generate the data is shown, before the preprocessing of the data is described and an exemplary damage process analyzed.3.1. Experimental setup For data generation, the simple structure shown in Figure 1 with non-trivial dynamic behavior is constructed. It consists of three aluminum profiles with complex cross sections, each of which is equipped with a uniaxial acceleration sensor ( S 1 , S 2 , S 3 ) measuring the vertical accelerations. The profiles are connected with two bolted angles ( B 12 , B 23 ). The entire structure is clamped on both sides.F S 2B 12 B 23S 3 S 1Figure 1: Experimental setup for data generation. The left side shows a labeled draft with the cross section of the profile, and the right side a photo of the structure.For simulating a change of state of the structure, a bolt loosening process is considered. This is realized by reducing the preload force of one of the bolts by gradually reducing its tightening torque from an initial 20 Nm to 0 Nm with a torque wrench. After each loosening step, the vibrations of the structure in response to a broadband frequency excitation with an impact hammer are measured. 3.2. Data preprocessing According to the second model requirement from Chapter 2, the method presented in this work only processes the vibration data of the structure, measured by the three acceleration sensors. Instead of expressing the input-output relations in an FRF, output-output relations between two points of the structure are considered. The resulting transmissibility function (TF) is computed for each of the two bolted angles by processing the acceleration data of their neighboring sensors respectively. The resulting frequency spectra are obtained with the following equation:H i → j = P i j ( ω )P ii ( ω ) , (1)where i and j indicate the two considered sensors and P i j ( ω ) and P ii ( ω ) denote the cross- and auto- spectral densities of the measured accelerations as functions of the frequency ω . For each damage process consisting of n consecutive measurements, two sequences of TFs are determined, containing n steps of H 1 → 2 and H 2 → 3 respectively. Besides satisfying the second model requirement, this data processing approach allows to characterize the individual joints, which can be useful when it comes to damage localization applications. Figure 2 illustrates an exemplary damage process, representing the gradual torque reduction of the left bolt B 12 . The left side shows the decreasing bolt torques of the measured sequence, which in this case is decreased from 20 Nm to 0 Nm in 13 steps. The right diagram shows the resulting TFs of the left joint B 12 (top) and the right joint B 23 (bottom) in the frequency range between 1 Hz and 10 kHz.20.0H 1 → 2 in dB re 120 Nm 18 Nm 16 Nm 14 Nm 12 Nm 10 Nm 8 Nm6 Nm 4 Nm 3 Nm 2 Nm 1 Nm 0 Nm 502517.50Bolt torque in Nm15.02512.510.0H 2 → 3 in dB re 1257.505.0252.5500.01 2 3 4 5 6 7 8 9 10 11 12 13 Steps of the damage process0 2 4 6 8 10 Frequency in kHzFigure 2: Measurement data of an exemplary bolt loosening process: The left side shows the gradual reduction of the tightening torque of the left bolt, the right side the measured sequence of transmissibility functions of the left bolt (damaged, top) and the right bolt (undamaged, bottom).During the advancing damage process, the dynamic behavior of the entire structure undergoes major changes. That leads to global changes in vibration patterns, which do not only influence the TF of the damaged joint, but also that of the undamaged joint. Especially in the last steps of the loosening process, embodied by the red graphs, large deviations can be observed in both sequences. The global change of TFs makes a local damage detection more challenging, as the model must be able to find patterns indicating a local structural change among the globally occuring deviations. To get a clearer picture of the changes in the TFs, the Figure 3 shows three selected frequency ranges of the left joint (top right in Figure 2) each spanning 1000 Hz.By visual inspection, the occurring changes are very di ffi cult to interpret and structured patterns hardly detectable. At about 3.8 kHz and 4.3 kHz, one could speculate about structured shifts of the peaks, but these observations are very vague, not reproducible and unfeasible to analyze manually 20H 1 → 2 in dB re 1020400.0 0.2 0.4 0.6 0.8 1.0 Frequency in kHz3.6 3.8 4.0 4.2 4.4 Frequency in kHz7.0 7.2 7.4 7.6 7.8 8.0 Frequency in kHzFigure 3: Selected frequency ranges of the transmissibility functions of the damaged left bolt.or by conventional methods. Nevertheless, the hypothesis for the following investigations is that these sequences of frequency domain data contain relevant information for a damage state analysis including local damage indicators and that this information can be extracted using data-driven methods. The methodology developed for this purpose and applied within this paper is introduced in the next chapter.4. PROPOSED METHODOLOGYThe proposed approach intends to extract relevant information from the high-dimensional frequency domain data using data-driven methods, in order to approximate the current structural state or predict structural damages. Data-driven methods enable to find structured patterns and relationships in highly complex and non-linear datasets. This allows to meet the first model requirement from Chapter 2, which demanded an autonomous extraction of the complex dependencies in the frequency-domain data. Figure 4 shows a breakdown of the information flow during the implemented process. The starting point is the exemplary structure that this paper is based on, which is introduced in Chapter 3. The following paragraph will briefly describe the preprocessing and data-driven modeling by successively addressing the depicted steps that a recorded damage process goes through during model training. The steps are clustered into input data preprocessing (I 1 - I 4 ), target data preprocessing (T 1 - T 3 ) and data-driven modeling (M 1 - M 4 ). As described in Chapter 3, the signals of the acceleration sensors are recorded (I 1 ) and converted into a TF (I 2 ) for each measured step during a damage process. For obtaining the input vectors for the data-driven model, the resulting sequence of TFs is then standardized globally with a mean value of 0 and a standard deviation of 1 (I 3 ). Meanwhile, the tightening torque of the bolted angles, which is gradually reduced for simulating the structural damage, is logged (T 1 ). The target values for the model are obtained by globally normalizing and reshaping the torque values (T 2 ). The data-driven model consists of a series of blocks, which will be addressed in the following. First, each input vector is fed into a one-dimensional convolutional neural network (CNN) (I 4 ), consisting of two convolutional layers, each coupled with a maximum pooling layer. This aims to extract the relevant features from the individual TFs, resulting in a representation with a reduced dimension (from 10000 values to 1000 values) while enhancing the explanatory power. The reduced representations of the TFs are then reassembled to a sequence of consecutive states depicting the gradual damage process. This sequence of input vectors is passed to the recurrent neural network (RNN) (M 1 ), consisting of two gated recurrent unit (GRU) cells that produce an output of size 100 for each step of the damage process. The advantage of deploying these recurrent units is their ability to memorize important information from previous steps by feeding back a self-optimizing representation of the preceding input vectors. T 1Signal amplitudeI 1T 2Hy 42 in dB rel N ° ° | N oS | £ oS 10"I 2+ Nn Oo | | CTH pazipsepueysT 3Data-driven modelt = 0 t = it = 0 t = iCNN RNNI 3t = nt = n t = 0Loss functionh 0M 2 M 3I 4M 1t = ih it = n Model errorM 4Figure 4: Illustration of the information flow during model training.The outputs of the RNN cell for each time step are then fed into a conventional feed-forward neural network (M 2 ) with two hidden layers consisting of 1000 and 100 neurons respectively, and a regression output layer predicting the current damage state. The loss function receives those model predictions (M 3 ) and the target values (T 3 ) and computes a model error. By backpropagating these discrepancies between the predicted and the actual damage state, the learnable parameters of all parts of the data-driven model are adapted and optimized during the course of the model training (M 4 ). The core concept of the proposed approach is the sequential processing by the RNN cells. In addition to the information from the TFs at each individual state, the model is able to include the relationship between the measurements into its predictions, thus modeling the qualitative gradual damage process. The generalization of damage processes gives rise to di ff erent advantages concerning the realistic applicability. Firstly, relating to the third model requirement from Chapter 2, periodic changes of the frequency-domain data can be dealt with reliably when incorporated in the training database. In other words, the model could be trained such that it is able to deal with a periodic temperature change, without interpreting the e ff ects on the vibration behavior as damage. Secondly, related to the fourth model requirement from Chapter 2, generalizing the qualitative damage process instead of learning individual damage states enables the transfer of relevant information between the training domain and the reality. Even if the SHM model is trained based on an FE simulation, whose resulting TFs di ff er from reality, the model might be able to find similarities in the change of TFs between the two domains. After the approach proposed in this paper was motivated and introduced, the next chapter will show a selection of achieved results.+N 2 om © a OO ayeys abewep pazijewion205@ a a ajeys abeweq Time stepsID op MSE =~ Y\i-5) 5. IMPLEMENTED MODELS AND RESULTSThe following results apply the method from Chapter 4 to the database introduced in Chapter 3. By using di ff erent sequences of damage processes as training and test data, the adaptability of the method is explored. It should be noted that the hyperparameters of the data-driven model are determined beforehand using an independent database, so that the sequences used throughout this chapter can all be considered test data. The figures used in this chapter intend to illustrate the complexity of the modeling task, as well as the ability of the applied model to handle it. Therefore, on the left side of the figures, the damage processes to be examined by the model as test data are plotted as sequences of TFs, as introduced on the right side of Figure 2. This intends to give the reader an impression of the learning task, which di ff ers significantly between the considered use cases. The right side of the figures illustrates the model results. Since the training and test datasets are varied in each study, the following visualizations will illustrate the respective dataset selection alongside the actual model predictions.5.1. Basic functionality of the proposed approach This first section will demonstrate the general functionality of the investigated method. Therefore, the modeling results based on an examplary combination of sequences for training and testing the model are shown. As can be deduced from the right side of Figure 5, the model is trained using measured sequences in which the respective joints are loosened in 21 steps. For each measured damage process, the sequences of TFs for both the damaged and the undamaged joint are computed and passed to the model. After training, the unseen test sequences are propagated through the model. As indicated by the target values of the test dataset (empty circles connected with the dashed line), a 13-step loosening process of the left bolt is employed. The predictions of the model are plotted as filled circles connected with a solid line. In the case of an error-free prediction, these circles would coincide with the empty circles of the target values.Left bolt (damaged)H 1 → 2 in dB re 12520.0017.5Bolt torque in Nm2515.0Left bolt Right bolt Training } (21 steps)5012.5Right bolt (undamaged)10.0H 2 → 3 in dB re 1Target Prediction257.505.0252.5500.02.0 2.5 3.0 3.5 4.0 4.5 5.0 Frequency in kHz1 2 3 4 5 6 7 8 9 101112131415161718192021Steps of damage processFigure 5: Illustration of the basic functionality of the proposed method. The left side shows the sequences of TFs of the test data, the right side visualizes the training data as well as the targets and model predictions for the 13-step bolt loosening process applied as test data.The model predictions approximate the target values very well with a determination coe ffi cient of 94.44 %. In each step of the damage process, the deviation falls within 4 Nm, peaking in the last step, where the model falsely detects a loosening of the right bolt. A possible explanation for this behavior is the sudden change of the TF in the last step of the damage process (lightest red line), where the left bolt has changed from being slightly tightened to wobbly loose. The substantial change caused by entering the highly non-linear loose state can be very easily misinterpreted by the model, especially considering the sparse training database. However, the reason for the deviations in this and the following results cannot be clearly determined. They can either occur due to model errors, in which case the model falsely estimates the damage state given a precise and representative test input data, or caused by irregularities in the input data arising due to inaccuracies in the measuring process and the adjustment of the experimental setup, or a mix of those causes. Either way, the model estimates in this use case are very reliable, especially towards discriminating between the damaged and the undamaged bolt. Hence, the data contains local damage indicators among the global shifts of the TFs, which are found and correctly attributed by the data-driven model. Furthermore, the model is very well able to generalize the duration / number of discrete measuring steps of the damage process. The results show that the proposed methodology is able to extract highly abstract relevant information from the frequency-domain data in the case of a simple information transfer under experimental conditions that are as reproducible as possible. The next sections will explore its potentials by increasing the domain shift between the training and the test data, thus complicating the modeling task.5.2. Variable excitation points As described in Chapter 2, an important aspect for the generating frequency domain data is the excitation of the structure during the measurement. For the following test dataset, illustrated in Figure 6, the location of the force excitation with the impact hammer is varied. As can be seen by comparing the TFs with Figure 5, the excitation point has a considerable influence on the characteristics of the curves. Due to this variation in vibration behavior, the sequences of TFs are highly unstructured and seemingly chaotic. It should be noted that only the test dataset contains measurements with varied excitation points, while the training is still based on consistent measurements as used in the previous section. Thus, the model learns the local damage sensitive features from sequences of TFs in which the maximum structure is retained, and needs to find those features in chaotic data, in which a large portion of that structure is lost.Left bolt (undamaged)50H 1 → 2 in dB re 120.02517.50Bolt torque in Nm15.0Left bolt Right bolt Training } (13 / 21 steps)2512.5Right bolt (damaged)10.050H 2 → 3 in dB re 1Target Prediction7.55.002.5500.01 2 3 4 5 6 7 8 9 1011121314151617181920212.0 2.5 3.0 3.5 4.0 4.5 5.0 Frequency in kHzSteps of damage processFigure 6: Illustration of the TFs (left) and corresponding damage state predictions (right) of an 14-step bolt loosening process under varied excitation point locations.As shown on the right side of Figure 6, the quality of the model predictions is lower than in the previous use case with a determination coe ffi cient of 73.87 %. Especially the torque estimations for the loosening bolt are highly volatile and partly deviate strongly from the target values. As in the last section, a possible explanation for these observations may be the large variance between consecutive sequence steps, leading to misinterpretations of the model. However, the results clearly show that these sequences also contain indications of damage and its location. The discrimination between the damaged and the undamaged bolt is successfully accomplished.5.3. Ambient excitation Most SHM methods utilizing frequency domain data rely on a broadband excitation of the structure with a hammer or a shaking system. An alternative approach is making use of the ambient excitation of the system, introduced by wind loads, ground vibrations, tra ffi c, etc. A typical drawback of these methods is that the ambient excitation usually appears in a low frequency regime, impeding the sensitivity to small damages and the ability to localize damage. [8] To investigate the applicability of the developed method to an ambient excitation use case, the structure was excited by manually shaking and stimulating the structure with the bare hands during the measurement time of 10 s. As can be seen on the left side of Figure 7, the character of the resulting TFs di ff ers strongly from the measurements with consistent broadband excitation by an impact hammer. Due to the soft nature of the impacting force, the resulting curves are very noisy and most of the distinct information appears to be in the frequency regime below 2 kHz. As in the last section, these input sequences are used as test datasets, after the training was pursued with the clean datasets from the first section of this chapter.Left bolt (undamaged)H 1 → 2 in dB re 12520.0017.5Bolt torque in Nm2515.0Left bolt Right bolt Training } (13 / 21 steps)5012.5Right bolt (damaged)10.0H 2 → 3 in dB re 125Target Prediction7.505.0252.5500.00 1 2 3 4 5 Frequency in kHz1 2 3 4 5 6 7 8 9 101112131415161718192021Steps of damage processFigure 7: Illustration of the TFs (left) and corresponding damage state predictions (right) of an 11-step bolt loosening process under ambient excitation conditions.Compared with the results in Figure 5, the prediction quality of the model is again slightly a ff ected by the modified experimental conditions, resulting in a determination coe ffi cient of 87.72 %. The course of the consecutive predictions is smoother than in the last section and the deviations from the target values smaller, which can be attributed to the higher similarity of the curves of a sequence and thus a smoother transition between damage states. Although the character of the TFs in the test dataset is fundamentally di ff erent from those in the training data, the relevant information is still found and very reliable approximations of the current damage state realized. The results in this chapter showed the ability of the proposed method to extract knowledge from complex sequential input data. The considered model requirements from Section 2 are summarized in Table 1. Initial attempts to transfer information from a training domain to an application domain, where the character of the input data is substantially di ff erent, have been successfully performed. The next chapter will discuss the findings of the last sections with a focus on comprehending the model’s ability to successfully approximate the health state of the structure. Table 1: Overview of model requirements and related modeling approaches.Model requirement from Section 2 Modeling approach1. Autonomous extraction of complex information Data-driven model2. Output-only data usage Transmissibility functions3. Discrimination between reversible and permanent changes Modeling of gradual changes4. Information transfer between training and application domain instead of individual states6. MODEL INTERPRETABILITY AND INVERSE LEARNINGAn important part of data-driven modeling is the ability to explain the outputs of the model. Especially in a field like SHM, where safety-relevant decisions have to be made, interpretability and transparency are of utmost importance. If data-driven methods are used as part of a decision-making process, the models are usually not readily interpretable, which restricts the trust in the model and its predictions [9]. Another motive for trying to understand the behavior of the model is the opportunity of learning from its decisions. Using this work as an example, it would be highly interesting and relevant to understand the model’s decision-making process in order to deduce usable insights on damage indicators and the influence of the damage process on the vibration behavior of the structure. Inversely learned damage indicators could then for example be used for the implementation of deterministic representations of the structural changes. For this reason, this chapter intends to address di ff erent possibilities of model interpretation. Generally, the techniques developed for this purpose can be divided into two categories – intrinsic interpretability and post-hoc interpretability [10]. While the first require on self-explanatory models, that incorporate a direct interpretability in the beginning of the model creation, the latter rely on techniques that interpret the trained state of complex black-box models. Since the data-driven model employed in this paper is highly complex and therefore must be treated as a black-box, intrinsic approaches are not practical. As for post-hoc approaches, many techniques have been developed recently, most of which are only applicable for specific use cases or certain popular types of model architectures [10]. Since the proposed approach is novel and developed for a very specific use case, the following investigations take a di ff erent path by applying very fundamental and simply understandable concepts that provide some first insights. For this purpose, instead of using an actual sequence of measured TFs, the sequential test input data is created by gradually transforming the first TF of the 13-step damage process of the left bolt (depicted in the top right of Figure 2) in di ff erent manners. Meanwhile, the model training is again conducted using the actual damage processes, as seen in Chapter 5. The resulting estimations of the model for the synthetically modified sequences reveal some global tendencies of damage indications on which the model bases its decisions. The left side of Figure 8 shows sections of the transformed TF (the type of transformation is illustrated by the color scheme and the black arrows), while the right side illustrates the resulting estimations of the damage state. In the first row, the initial TF is transformed so that the leveled curve constantly shifts to higher (1) and lower (2) amplitudes in the course of the synthetic structural change, as can be seen in the left graphs of the two subplots. The right graphs of each subplot show the estimations of the model for these sequences. The comparison of the model results shows that the global reduction of transmissibility possesses a stronger indication of a bolt loosening process. The same observation can be made by analyzing the second row of the Figure 8, where the intial TF is amplified (3) and flattened (4), meaning that the curves gradually deviate from or approach the mean value of the initial transmissibility, respectively. Hence, it can be assumed that based on the training sequences, the (1) Increase of transmissibility (2) Decrease of transmissibility(3) Amplification of transmissibility peaks (4) Flattening of transmissibility peaks(5) Shift to lower frequencies (6) Shift to higher frequenciesFigure 8: Di ff erent transformations of a TF and resulting model predictions.model tends to interpret a lowering and flattening of the TF as a stronger indication for a structural change than the opposite processes. The third row illustrates the e ff ect of a gradual shift of the initial TF to lower (5) and higher (6) frequencies. Interestingly, in both cases, the predictions of the model exhibit a decrease of the health state followed by a subsequent increase. These observations show that the model finds indications of emerging damage in both shifting directions. Hence, during the structual change, some sections of the TFs appear to shift towards lower frequencies, while others shift towards higher frequencies. This corresponds to the observations from Figure 3, where both a peak shift to the left (of the local maximum at around 3.8 kHz) and a peak shift to the right (of the local minimum at around 4.3 kHz) can be identified. It can be assumed, that a combination of the investigated e ff ects result in the damage indications identified by the model. Although deepened examinations of these e ff ects are clearly necessary, these first results demonstrate the potentials of such post-hoc interpretability approaches.7. CONCLUSION AND FUTURE OUTLOOKThis paper motivates and presents a data-driven approach for detecting, localizing and quantifying structural damage using a simple structure. By including the gradual damage process into the learning process instead of only considering the di ff erence between the healthy and the damaged state, the proposed approach di ff ers from conventional SHM methods. Damage processes of a structure are represented by sequences of output-only transmissibility functions for each point of interest. A combination of convolutional layers, recurrent units and feed-forward layers process the data and estimate the health state of each measured time step. Providing the model information on the gradual change of the vibration behavior of the structure has several advantages. First, environmental changes that a ff ect the dynamic structural behavior but are not associated with structural damage can be dealt with methodologically. By providing a robust database, the model can learn to distinguish between gradual structural changes during a reversible environmental impact and an occurrence of permanent damage. Secondly, discrepancies between the training domain and the application domain of the model can be handled. Even if individual states di ff er between the two domains, the changes of these states may be reproducible. This ability to transfer qualitative information gives rise to a realistic applicability, bypassing the di ffi culties during the buildup of an extensive training database. Though the input data seems very unstructured and di ffi cult to scan for damage indicators, the ability of the model to approximate the current damage state and to localize the structural changes is very high. Even after disturbing the sequential input of the test dataset by varying the conditions of the force excitation, the model finds relevant information and is manages to satisfactorily evaluate the health of the structure. This way, it can be shown that besides being able to extract relevant features from the frequency-domain data, the model can transfer abstract information between the training and the application domain. Understanding why and how the model is capable of finding and representing these patterns is an integral part of working with data-driven algorithms. While some ideas for addressing this question are discussed and first fundamental results presented, this contribution does not exhaustively shed light on this issue. The next steps in investigating the proposed method will include deepening the ability to interpret the black box model in order to better understand its decisions and inversely learn from it. Another focus will lie on investigating the transferability of relevant information from a numerically simulated training database to a real-world application domain. Furthermore, the method should be tested and enhanced with a more complex structure to further examine its capabilities and limitations.ACKNOWLEDGEMENTSThe authors acknowledge funding by the German Research Foundation (DFG) in the framework of the Research Training Group 2075 (GRK 2075) .REFERENCES[1] Onur Avci, Osama Abdeljaber, Serkan Kiranyaz, Mohammed Hussein, Moncef Gabbouj, and Daniel J. Inman. A review of vibration-based damage detection in civil structures: From traditional methods to machine learning and deep learning applications. Mechanical Systems and Signal Processing , 147:107077, 2021. [2] Charles Farrar and Keith Worden. Structural Health Monitoring: A Machine Learning Perspective . Wiley, 2013. [3] Charles R. Farrar, Scott W. Doebling, and David A. Nix. Vibration-based structural damage identification. Philosophical Transactions: Mathematical, Physical and Engineering Sciences , 359(1778):131–149, 2001. [4] Gyungmin Toh and Junhong Park. Review of vibration-based structural health monitoring using deep learning. Applied Sciences , 10(5), 2020. [5] Lukas Outzen, Tobias P. Ring, and Sabine C. Langer. Datengetriebene Modellierung des Schädigungsprozesses von Strukturen durch rekurrente neuronale Netze zur prädiktiven Zustandsüberwachung. Jahrestagung der Deutschen Gesellschaft für Akustik (DAGA) , 2022. [6] Douglas Thorby. Structural Dynamics and Vibration in Practice . Elsevier, 2008. [7] Wang-Ji Yan, Meng-Yun Zhao, Qian Sun, and Wei-Xin Ren. Transmissibility-based system identification for structural health monitoring: Fundamentals, approaches, and applications. Mechanical Systems and Signal Processing , 117:453–482, 2019. [8] Claus-Peter Fritzen and Peter Kraemer. Vibration-Based Damage Diagnosis and Monitoring of External Loads , volume 542, pages 149–208. Springer, 2013. [9] Mengnan Du, Ninghao Liu, and Xia Hu. Techniques for interpretable machine learning. Commun. ACM , 63(1):68–77, 2019. [10] Pantelis Linardatos, Vasilis Papastefanopoulos, and Sotiris Kotsiantis. Explainable AI: A review of machine learning interpretability methods. Entropy , 23(1), 2021. Previous Paper 713 of 808 Next