Welcome to the new IOA website! Please reset your password to access your account.

Proceedings of the Institute of Acoustics

 

 

The quality of green spaces in Cáceres (Spain) when compared to those in other cities

 

Guillermo Rey-Gozalo1, University of Extremadura, Cáceres, Spain

Juan Miguel Barrigón Morillas2, University of Extremadura, Cáceres, Spain

David Montes González3, University of Extremadura, Cáceres, Spain

Carlos Iglesias-Merchan4, Universidad Politécnica de Madrid, Madrid, Spain

Pierre Aumond5, Univ. Gustave Eiffel / UMRAE, Bouguenais, France

Rosendo Vílchez-Gómez6, University of Extremadura, Cáceres, Spain

Pedro Atanasio-Moraga7, University of Extremadura, Cáceres, Spain

José M. Pérez Pintor8, University of Extremadura, Cáceres, Spain

Laura Muñoz-Bermejo9, University of Extremadura, Cáceres, Spain

Silvia Merino-de-Miguel10, Universidad Politécnica de Madrid, Madrid, Spain

 

ABSTRACT

 

According to the policies of the European Union, the increase of green spaces is proposed by city managers in their programmes because of their benefits on the well-being and quality of life of citizens. The sound environment is a key factor in the quality of these spaces. However, the extent of new green space is limited in increasingly densely populated cities and small green spaces are consequently becoming more and more common. The acoustic environment of two green spaces of different size was analysed in Cáceres (Spain). The registered sound levels were similar to those of parks in other countries and residential areas but the perception of the soundscape was quite good. Birds were one of the main sound sources in small green space and this contributed to a similar acoustic quality to the large park. The adjectives pleasant and annoying were most closely related to the overall assessment of the parks.

 

1. INTRODUCTION

 

Urban green spaces (UGS) provide environmental and health benefits to citizens [1]. Thus, the increase of green areas is one of the objectives of urban managers. However, the space available in cities is limited when it comes to building large parks. An adequate planning is necessary for this. Another alternative is the design of small green spaces or recreational areas that meet the needs of citizens [2].

 

UGS can also be potential quiet areas. The protection of quiet areas is an objective of the Environmental Noise Directive [3]. Additionally, the acoustic quality of these environments should be taken into account if a significant improvement in the quality of life of citizens needs to be ensured [4, 5]. Nowadays, the qualitative improvement of the sound environment, which mainly considers the opinion of people, is as important as the quantitative aspects related to the accuracy of noise maps [6, 7], the consideration of the dynamism of sound levels [8, 9] or the development of accurate low-cost devices [10].

 

Biological and environmental studies carried out in parks increasingly consider the acoustic environment. However, only noise is considered in most studies, i.e., the negative aspect of the sound environment [11, 12]. Regarding the positive effects of UGS on health and quality of life, proximity and accessibility are the main variables taken into account [13].

 

Previous studies show the significant relationship between the assessment of the sound environment and the overall perception of urban green spaces [14]. Therefore, the objective (sound levels) and subjective (people's perception) assessment of the sound environment is considered important to achieve high acoustic quality spaces.

 

The city of Cáceres plans in the coming years to increase the number of green spaces, the connectivity between them and the pedestrian areas. This was the reason why it was considered relevant to carry out this study where the acoustic quality of parks of different sizes was evaluated. The results were compared with those obtained in previous studies in other cities.

 

2. METHODOLOGY

 

Two parks in the city of Cáceres (Spain) were selected for this study: Rodeo and Fernando Turégano (see Figure 1). The opening date was similar in both parks (2000-2001). F. Turégano park is located 2 km from the city centre and has an area of 3.2 ha. The Rodeo park is closer to the city centre and larger than the Turégano park (0.8 km and 10.6 ha, respectively). Considering the total area of the city of Cáceres (17.7 km2), the Rodeo can be considered a large park and the F. Turégano, a small park.

 

The acoustic measurements and surveys were carried out simultaneously. Two devices were used for sound recording: Class 1 sound level meter (2238 Brüel & Kjaer) and binaural recorder (Noisebook, Head Acoustic). Equivalent sound pressure level (dBA), loudness (sone), and sharpness (acum) will be the indicators analysed for this study. The ISO 1996-2 [15, 16] standard recommendations were used with regard to measurement strategy and procedure, meteorological conditions.

 

Regarding the interview, a questionnaire similar to the one proposed by ISO/DIS 12913-2 in Annex C was used [17]. This questionnaire consisted of 3 parts.

  • Part 1: Sound source identification. This was an open-ended question where respondents identified the main sound sources present in the environment.

  • Part 2: Perceived affective quality. The eight adjectives proposed by the ISO 12913-2 were used to evaluate the soundscape. The scale used was from 1 to 7 where 1 was strongly disagree and 7 was strongly agree.

 

 

Figure 1: Location of the parks analysed in Cáceres: (1) Rodeo and (2) Fernando Turégano.

 

  • Part 3: Assessment of surrounding sound environment. The following question was asked: Overall, how would you describe the present surrounding sound environment? The scale used was from 0 (very bad) to 10 (very good).

 

Finally, the age and sex of the interviewees were recorded. The interviewees filled out an informed consent form according to the Declaration of Helsinki. A total of 80 people were interviewed: 55 in Rodeo and 25 in F. Turégano. Respondents in the Rodeo park were aged between 18 and 68 years, 60% of whom were women. Respondents in the F. Turégano park were aged between 27 and 74 years, 60% of whom were men.

 

Descriptive and inferential analysis was carried out in the data processing. In the descriptive analysis, different graphic representations were used: box and whisker plot, histograms, tag clouds and dendrograms. The median was used as a measure of centralisation given the ordinal or scaled type of the variable. The pleasantness (P) and eventfulness (E) dimensions were calculated using the equations 1 and 2 [17], where a is annoying, ca is calm, ch is chaotic, e is eventful, m is monotonous, p is pleasant, u is uneventful, v is vibrant.

 

 

Regarding inferential analysis, non-parametric tests were used in the study of the relationship between variables (Spearman's rho correlation coefficient and chi-squared) and the comparison of mean values (Mann-Whitney U test).

 

3. RESULTS AND DISCUSSION

 

The sound values registered in both parks are shown in Figure 2. Noise values are similar in both UGS (p > 0.05 according to Mann Whitney U test) despite the difference in size. Both parks are surrounded by similar types of urban roads [18]. LAeq values are similar to those registered on residential roads in villages [19], restricted traffic areas [20] or in special noise protection zones (hospitals) [21]. They are higher than the sound levels (dBA) recommended by the WHO for the daytime period [22]. However, if these noise levels are compared with those obtained in previous studies carried out in other cities, similar values are obtained [23–28]. Brambilla et al. [23] registered LAeq between 50 and 65 dBA in 3 parks in Milan (Italy). A similar study to the one presented at this congress was carried out by Salinas [24] in Valdivia (Chile) where sound levels were slightly lower (51.5 – 53.1 dBA). Irvine et al. [25] and Miteska & Kompala [26] sampled parks in Sheffield (UK) and Silesian Voivodeship (Poland), respectively, and obtained similar LAeq ranges (50 – 60 dBA). In countries such as Turkey and Egypt, Ali et al. [27] and Yalili Kilic & Abus [28] obtained higher levels (60 – 70 dBA).

 

 

Figure 2: Box-and-whisker plot of the sound values recorded in both UGS.

 

Road traffic was the main source of noise perceived in the parks of Rodeo (36%) and F. Turégano (29%) as shown in Figure 3. The second most important sound source was water in Rodeo (19%) and birds in F. Turégano (28%). The Rodeo park features a lake with a fountain and waterfalls. Birds frequent in the soundscape of these parks are also found in nearby national parks [28]. Birds were also one of the main sound sources in the study conducted by Liu et al. [30] in parks in Rostock (Germany). The frequent presence of birds in the small park of Turégano may be positively influencing the perception of its soundscape [30]. Road traffic is the main source of noise in UGS in other cities [23, 25, 30]. However, the other most important noise source is usually people [25].

 

 

Figure 3: Tag cloud of the sound sources identified in the (a) Rodeo and (b) Turégano parks.

 

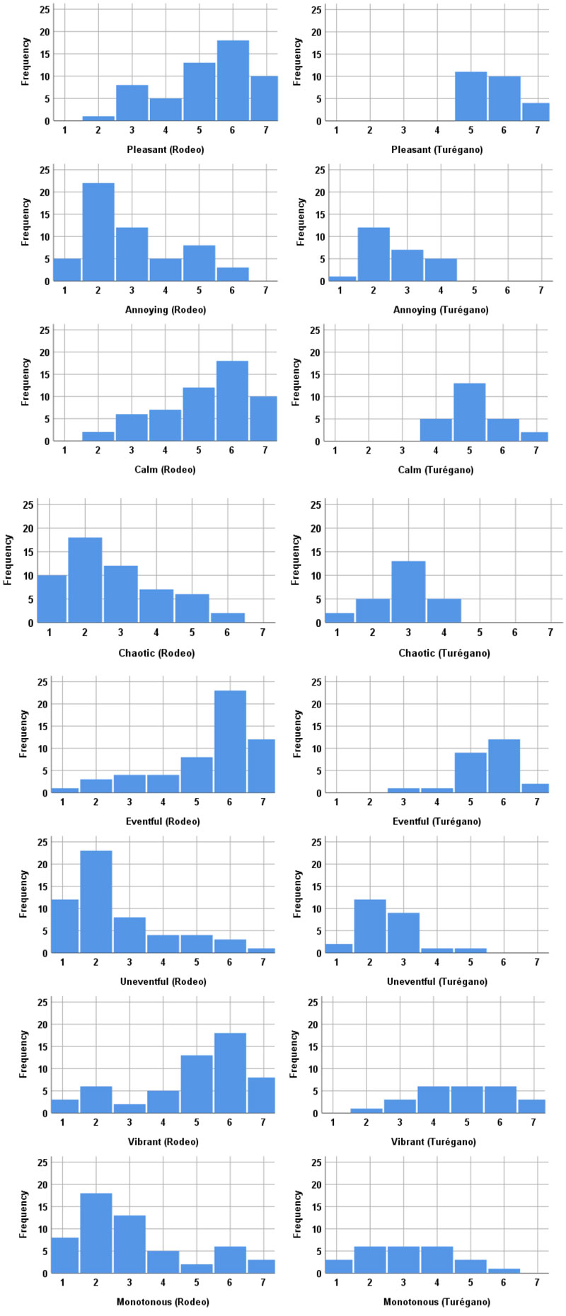
Part 2 of the questionnaire is shown below regarding the rating (1-7) of adjectives describing the soundscape in both parks. The distribution of the soundscape rating is similar even though the characteristics of the parks are different as shown in Figure 4. Thus, the median rating of the different adjectives does not show significant differences (see Table 1). Therefore, a small park can present a similar perception to larger parks if, among other possible aspects, the presence of birds is improved.

 

 

Figure 4: Histograms of perceived affective quality in both UGS.

 

Table 1: Comparison of the median (Mann Whitney U) of the perception of the different soundscape adjectives in both UGS.

 

 

The soundscape in both parks is rated highly in terms of pleasant, calm, eventful and vibrant. Similar results were obtained in the parks of Valdivia (Chile) [24]. These adjectives are within the same cluster if a hierarchical analysis is carried out as shown in Figure 5. The rest of the adjectives would also be within the other cluster in both parks. These clusters coincide with the positive and negative variables proposed for the pleasantness and eventfulness dimensions (Equation 1 and 2). Therefore, most points are found in the quadrant where the adjectives pleasant, vibrant and eventful are found in a graphical representation of these two dimensions (see Figure 6). Van der Bosh et al. [32] considers this quadrant as stimulating and safe. Therefore, the quality of the soundscape in both parks is good despite the fact that they have similar noise levels to residential areas and higher than those recommended by the WHO [22].

 

 

Figure 5: Dendrograms of the adjectives used for the assessment of the soundscape of the (a) Retiro and (b) F. Turégano parks.

 

 

Figure 6: Graphical representation of pleasantness and eventfulness dimensions.

 

Finally, the results of part 3 of the questionnaire (assessment of surrounding sound environment) are shown in Figure 7. Consistent with the results shown in Figure 4, the overall rating of the soundscape is quite good (an average value of 8). Therefore, there is a significant relationship between the assessment of the adjectives and the overall assessment of the soundscape. Pleasant is the adjective with the highest correlation with respect to the overall assessment in F. Turégano park (rho = 0.62***) and annoying in Rodeo park (rho = -0.65***). Regarding the acoustic indicators, LAeq had the highest correlation with the overall assessment (Pearson's r = -0.31* in Rodeo and r = -0.45* in F. Turégano).

 

 

Figure 7: Histograms of the overall assessment of surrounding sound environment in both parks

 

4. CONCLUSIONS

 

The main conclusions obtained in this study carried out in two urban green spaces in Cáceres (Spain) are the following:

  • The soundscape of small urban spaces can be of similar acoustic quality to that of large parks if, among other features, one of the main sound sources is birds.

  • The fact that green spaces register similar sound levels to residential areas does not mean that their soundscape is perceived to be of poor quality. The parks studied have similar noise levels to those found in other green spaces in other countries, but their soundscape has a fairly good perception.

  • The pair of adjectives pleasant and annoying are those that show the highest correlation with the overall assessment in Rodeo and F. Turégano parks.

 

5. ACKNOWLEDGEMENTS

 

This work is part of the R&D&I project PID2020-114199RA-I00, funded by MCIN/AEI/ 10.13039/501100011033.

 

 

This study was also supported by Consejería de Economía, Ciencia y Agenda Digital of Junta de Extremadura through grants for attracting and returning research talent to R&D&I centres belonging to the Extremadura Science, Technology and Innovation System (TA18019), where Universidad de Extremadura was the beneficiary entity.

 

 

6. REFERENCES

 

  1. Nieuwenhuijsen, M. J. New urban models for more sustainable, liveable and healthier cities post covid19; reducing air pollution, noise and heat island effects and increasing green space and physical activity. Environment International, 157, 106850 (2021). https://doi.org/10.1016/j.envint.2021.106850

  2. Rey Gozalo, G., Barrigón Morillas J. M. & Montes González, D. Perceptions and use of urban green spaces on the basis of size. Urban Forestry & Urban Greening, 46, 126470 (2019). https://doi.org/10.1016/j.ufug.2019.126470

  3. Directive 2002/49/EC of the European Parliament and of the Council of 25 June 2002 relating to the assessment and management of environmental noise. The European Parliament and the Council of the European Union, Brussels (2002).

  4. Aletta, F. & Kang, J. Promoting Healthy and Supportive Acoustic Environments: Going beyond the Quietness. International Journal of Environmental Research and Public Health, 16(24), 4988 (2019). https://doi.org/10.3390/ijerph16244988

  5. Radicchi, A., Yelmi, P. C., Chung, A., Jordan, P., Stewart, S., Tsaligopoulos, A., McCunn, L. & Grant, M. Sound and the healthy city. Cities & Health, 5:1-2, 1–13 (2020). https://doi.org/10.1080/23748834.2020.1821980

  6. Montes González D., Barrigón Morillas J. M. & Rey Gozalo, G. Acoustic behaviour of plates made of different materials for measurements with the microphone flush mounted. Applied Acoustics, 132, 135–141 (2018). https://doi.org/10.1016/j.apacoust.2017.11.011

  7. Rey Gozalo, G. & Gómez Escobar, V. Uncertainty evaluation of road traffic noise models in two Ibero-American cities. Applied Acoustics, 180, 108134 (2021). https://doi.org/10.1016/j.apacoust.2021.108134

  8. Rey Gozalo, G., Aumond, P. & Can, A. Variability in sound power levels: implications for static and dynamic traffic models. Transportation Research Part D: Transport and Environment, 84, 102339 (2020). https://doi.org/10.1016/j.trd.2020.102339

  9. Prieto Gajardo, C., Barrigón Morillas, J. M., Gómez Escobar, V., Vílchez-Gómez, R. & Rey Gozalo, G. Effects of singular noisy events on long-term environmental noise measurements. Polish Journal of Environmental Studies, 23(6), 2007–2017 (2014). http://www.pjoes.com/Effects-of-Singular-Noisy-Events-on-Long-Term-r-nEnvironmental-Noise-Measurements,89393,0,2.html

  10. Aumond, P., Can, A., Rey Gozalo, G., Fortin, N. & Suárez, E. Method for in situ acoustic calibration of smartphone-based sound measurement applications. Applied Acoustics, 166, 107337 (2020). https://doi.org/10.1016/j.apacoust.2020.107337

  11. Madureira, H., Nunes, F., Oliveira, J. V., Cormier, L. & Madureira, T. Urban residents’ beliefs concerning green space benefits in four cities in France and Portugal. Urban Forestry & Urban Greening, 14(1), 56–64 (2015). https://doi.org/10.1016/j.ufug.2014.11.008

  12. Misiune, I. Julian, J. P. & Veteikis, D. Pull and push factors for use of urban green spaces and priorities for their ecosystem services: Case study of Vilnius, Lithuania. Urban Forestry & Urban Greening, 58, 126899 (2021). https://doi.org/10.1016/j.ufug.2020.126899

  13. Dadvand, P. & Nieuwenhuijsen, M. (2019). Green Space and Health. In: Nieuwenhuijsen, M., Khreis, H. (eds) Integrating Human Health into Urban and Transport Planning. Springer, Cham, 2019. https://doi.org/10.1007/978-3-319-74983-9_20

  14. Rey Gozalo, G., Barrigón Morillas J. M., Montes González D. & Atanasio Moraga P. Relationships among satisfaction, noise perception, and use of urban green spaces. Science of the Total Environment, 624, 438–450 (2018). https://doi.org/10.1016/j.scitotenv.2017.12.148

  15. ISO 1996-2. Description, Measurement and Assessment of Environmental Noise. Part 2: Determination of Environmental Noise Levels. International Organization for Standardization, Geneva, 2017.

  16. Montes González, D., Barrigón Morillas, J. M., Rey Gozalo, G. & Godinho, L. Effect of parking lanes on assessing the impact of road traffic noise on building façades. Environmental Research, 184, 109299 (2020). https://doi.org/10.1016/j.envres.2020.109299

  17. ISO/DIS 12913-2. Acoustics — Soundscape — Part 2: Data collection and reporting requirements. International Organization for Standardization, Geneva, 2017.

  18. Rey Gozalo, G., Gómez Escobar, V., Barrigón Morillas J.M., Montes González D. & Atanasio Moraga P. Statistical attribution of errors in urban noise modeling. Applied Acoustics, 153, 20-29 (2019). https://doi.org/10.1016/j.apacoust.2019.04.001

  19. Rey Gozalo, G., Barrigón Morillas, J. M. & Gómez Escobar, V. Analysis of noise exposure in two small towns. Acta Acustica United with Acustica, 98(6), 884–893 (2012). https://doi.org/10.3813/AAA.918572

  20. Rey Gozalo, G. & Barrigón Morillas, J. M. Perceptions and effects of the acoustic environment in quiet residential areas. Journal of the Acoustical Society of America, 141(4), 2418–2429 (2017). https://doi.org/10.1121/1.4979335

  21. Montes González, D., Barrigón Morillas, J. M., Gómez Escobar, V., Vílchez-Gómez, R., Rey Gozalo, G., Atanasio Moraga, P. & Méndez-Sierra, J. A. Environmental noise around hospital areas: A case study. Environments, 6, 41 (2019). https://doi.org/10.3390/environments6040041

  22. WHO (World Health Organization): Guidelines for community noise. B. Berglund, T. Lindvall, D. H. Schwela, K. T. Goh, Ginebra (eds.). 1999.

  23. Brambilla, G, Gallo, V. Zambon, G. The Soundscape Quality in Some Urban Parks in Milan, Italy. International Journal of Environmental Research and Public Health. Public Health, 10, 2348–2369 (2013). https://doi.org/10.3390/ijerph10062348

  24. Salinas, F. E. Estudio de Paisaje Sonoro a partir de la Relación entre Parámetros Psicoacústicos y la Percepción Humana. Proceedings of X Congreso Internacional de Acústica y Audio Profesional - INGEACUS 2020, pp. 46–53. Valdivia, Chile, 17-20 November, 2020.

  25. Irvine, K. N., Devine-Wright, P., Payne, S. R., Fuller, R. A., Painter, B., Gaston, K. J. Green space, soundscape and urban sustainability: an interdisciplinary, empirical study. Local Environment, 14(2), 155–172 (2009). http://dx.doi.org/10.1080/13549830802522061

  26. Miterska, M. & Kompala, J. Soundscapes of Urban Parks in Cities with Populations of Over 100,000 in the Silesian Voivodeship. Archives of Acoustics, 46(1), 147–154 (2021). http://dx.doi.org/10.24425/aoa.2021.136568

  27. Ali, M, Gabr, H. S., Mahmoud, A. H. & Aboubakr, D. Assessing and Characterizing the Perception of Soundscape in the Urban Park: A Case Study of Zayed Park, Egypt. Engineered Science, 16, 393–402 (2021). https://dx.doi.org/10.30919/es8d593

  28. Yalili Kilic, M. & Abus, M. N. Determination of noise pollution in the Hudavendigar Urban Park of Bursa, Turkey. Applied Ecology and Environmental, 18(2), 2073–2085 (2020). http://dx.doi.org/10.15666/aeer/1802_20732085

  29. Pérez-González, J., Rey Gozalo, G., Montes González, D., Hidalgo de Trucios, S. J. & Barrigón Morillas, J. M. Are quartzite scree slopes used by birds to promote sound transmission in the Mediterranean forest? Animal Biodiversity and Conservation, 44(2), 175–184 (2021). https://doi.org/10.32800/abc.2021.44.0175

  30. Liu, J., Wang, Y., Zimmer, C., Kang, J. & Yu, T. Factors associated with soundscape experiences in urban green spaces: A case study in Rostock, Germany. Urban Forestry & Urban Greening, 37,135–146 (2017). https://doi.org/10.1016/j.ufug.2017.11.003

  31. Uebel, K., Marselle, M., Dean, A. J., Rhodes, J. R., Bonn, A. Urban green space soundscapes and their perceived restorativeness. People and Nature, 3, 756–769 (2021). https://doi.org/10.1002/pan3.10215

  32. van den Bosch, K. A.-M., Welch, D. & Andringa, T. C. The Evolution of Soundscape Appraisal Through Enactive Cognition. Frontiers in Psychology, 9, 1129 (2018). https://doi.org/10.3389/fpsyg.2018.01129

 


1 guille@unex.es

2 barrigon@unex.es

3 davidmg@unex.es

4 carlos.iglesias@upm.es

5 pierre.aumond@univ-eiffel.fr

6 vilchez@unex.es

7 pedroam@unex.es

8 jmperpin@unex.es

9 lauramunoz@unex.es

10 silvia.merino@upm.es