Welcome to the new IOA website! Please reset your password to access your account.

Large Eddy Simulation of compositional indirect noises generated in a non-isentropic nozzle

Yu Gong 1

Imperial College London

William Jones 2

Imperial College London

Andrew Marquis 3

Imperial College London

ABSTRACT In the present work, noises generated by compositional disturbances in a non-isotropic convergent nozzle is studied using Large Eddy Simulation (LES). The disturbances are created by a cross-flow pulse injection of a secondary gas with a different composition. The experiments are designed to feature two configurations, which enables the separation of direct and indirect noises. Compressible LES code BOFFIN-LES is utilised to account for noise generation and propagation effect. Different injecting positions, main jet mass flow rates and injection gases corresponding to the experiments are studied. The results revealed that the processes of direct and indirect noise generation are successfully reproduced in the LES, with the noise magnitudes in good agreement with those in the measurements. Injection of gases with smaller (He) and larger (CO2) molar masses compared to air is found to generate negative and positive indirect noises, respectively, in the LES, which is consistent with the experimental findings. The effect of different air mass flow rates is also investigated and discussed, and the direct noise and indirect noise amplitudes are both found to be closely related to the air mass flow rate. The predicted noise amplitudes were found to be closely related to the losses in the system, which was over-predicted in the simulation when the Mach number in the nozzle approaching unity.

1. INTRODUCTION

Combustion noise is a potential major contributor to aircraft engines and gas turbine noise and has become an increasingly important topic over the last several decades [1]. There are two main categories of combustion noise: direct combustion noise and indirect combustion noise. Direct noise is caused by volumetric expansion and contraction due to unsteady heat released by unsteady

1 y.gong@imperial.ac.uk

2 w.jones@imperial.ac.uk

3 a.marquis@imperial.ac.uk

a slaty. inter.noise 21-24 AUGUST SCOTTISH EVENT CAMPUS O ¥, ? GLASGOW

combustion. The unsteady heat release rate is also accompanied by temperature, compositional and vortical perturbations, which if accelerated can eventually generate acoustic noise, known as the indirect noise [2]. In real engines, indirect noise is generated at the nozzle or the first stage of the turbine, and propagates both downstream and upstream back into the combustor. Those travelling back can contribute to the triggering of thermo-acoustic instability in the combustion chamber [3] and may lead to significant damage to the combustor structure and even engine failure [4]. Recently in Cambridge University, an Entropy Wave Generator (EWG) rig has been set up to investigate indirect noises caused by entropic and compositional inhomogeneities [5, 6]. The pressure signal upstream of the nozzle was recorded with various designs, successfully separating and identifying the direct and indirect noise. This work was further extended by [7] to account for the effect of non-isentropicity on the noise generation by compositional disturbances. A further step is to take account of the non-uniform distribution of entropic and compositional waves and the dispersion and convection of these waves inside the system: high accuracy simulations, which provides a three-dimensional description of the flow and turbulence, is a natural means whereby this can be achieved. Morgans et al. [8] performed incompressible DNS on a combustor channel flow to investigate the effect of flow advection of entropy waves, where dissipation effects were found to be negligible and that dispersion may not be sufficiently fast. Hence significant entropy wave strength remained at the combustor exit. Giusti et al. [9] applied incompressible LES to study entropy waves and found that the waves decayed as a function of a local Helmholtz number based on the wavelength and axial distance. Moreau et al. [10] performed compressible LES of the DLR EWG configuration, successfully reproducing the measured pressure signals and confirmed that the amplitude and shape of the entropy spot (temperature fluctuation caused by the heating device) was distorted especially when convected over a long distance in the downstream duct, while Rodrigues et al. [11] utilised URANS (unsteady RANS) to study the details of entropic and compositional waves generated by thermal and compositional perturbations in an open-end pipe without noise generation. The specific objective of the present work is to investigate the noise generated by compositional perturbations in the Cambridge EWG with a non-isentropic subsonic nozzle. Compressible LES has been performed on the 360 ◦ EWG configuration. Different injecting positions, main jet mass flow rates and injection gases corresponding to the experiments, are studied and the upstream pressure signal is monitored to separate and identify the direct and indirect noises.

2. CASE DESCRIPTION

The target experiments of the present work are a series of test cases conducted with the Cambridge University EGW rig. The experimental configuration is shown schematically in Fig. 1. Acoustics noise, compositional wave and entropic wave are denoted by P , ξ and κ respectively. The subscript d and i represent direct and indirect noises, and the superscript + and − represent the propagation directions of the acoustic waves respectively. The blues arrows represent the acoustic waves propagating at the speed of sound c , and the black arrows denote the jet flow rate at which the compositional and entropic waves travel downstream. A flow of air with a controlled mass flow rate is fed into the duct through the inlet on the left of the duct upstream of the nozzle. A pulse of secondary flow is injected perpendicular to the main air flow. The primary airflow is supplied through a long flexible hose, attached via a flat flange to provide a simple acoustic boundary condition. A flexible plastic duct is placed downstream of the nozzle, which features the same inner diameter as the upstream tube and a length of 61 m to create an anechoic boundary at the outlet. In contrast, the inlet boundary has a high reflection coefficient R i ≈ 0 . 99 [6], which is effectively a fully reflective boundary. The gas injection has three major effects in terms of the flow fluctuations: first, the injection leads to perturbations in the mass, momentum, energy and mixture fraction fluxes, generating direct pressure fluctuations which are referred to as direct noise, denoted by P d (where P represents

Figure 1: (a) A simplified layout of the experimental configuration. (b) Schematic diagrams of the mechanism of the noises and waves generation and propagation in the system at the direct noise source and the indirect noise source.

pressure); these perturbations also causes entropic fluctuations κ and additionally, compositional fluctuations are caused by the addition of the compositional flux, denoted by ξ . Direct noise travels both upstream P d + and downstream P d − at the speeds c − u and c + u respectively, approximately equal to the speed of sound c . The entropic and compositional inhomogeneities are convected with the flow downstream towards the nozzle. Once these inhomogeneities are accelerated by the nozzle, indirect noise is generated and propagates both upstream P i + and downstream P i − . The convective distance L c represents the distance between the injector and the nozzle and varies with the injection location, with correspondingly different convective time delays τ c = L c / u , where u represents the bulk flow speed. Two configurations, based on the injection location, are selected; a long configuration where the injected gas location corresponds to L c = 0 . 65 m upstream of the nozzle; a short configuration with L c = 0 . 05 m . In the former case a separation, τ c between the direct and indirect noise arises whereas in the latter the direct and indirect noise are almost coincident. By comparing the results of both configurations the direct and indirect noise contributions can be identified and evaluated, which will be discussed in detail in section 4. When an acoustic signal is reflected in an acoustic chamber repeatedly over a very short period of time, the measured acoustic pressure is effectively an ensemble of the original and all the reflected noises. Fig. 2 shows the reflections of the direct noises in the upstream pipe schematically. The direct noise propagate in both backward and forward; for the backward travelling wave, once it reaches the upstream boundary, it reflects back towards the downstream boundary (nozzle in the EWG rig) where it will reflect once again etc. The forward traveling direct noise experiences a similar process except for it first reflects at the downstream boundary. The upstream probe detects all the pressure waves traveling pass it, including the original acoustic waves and the reflected waves; if the time for the reflected acoustic waves to travel back to the probe is smaller than the acoustic pulse, the successive reflected waves are superimposed with the direct noises being generated, and the probe measured an ‘amplified’ acoustic signals.

@ Probe _ Injected gas. indirect noise source

Figure 2: Schematic of reverberation processes in a straight pipe with a direct acoustic noise. The blue arrows represent the direct noise traveling backward and its reflections; the green arrows denote the forward traveling one and its reflections.

In the present work, the acoustic ’round trip’ time in the upstream pipe is τ round = 2 L 1 / ¯ c = 2 × 1 . 65 / 340 ≈ 0 . 01 s . During the injection process, the sound wave in the upstream pipe reflects about 2 τ p / τ round ≈ 20 times between the inlet and nozzle and this results in reverberation. The amplitude of the waves reduce after every reflection since the reflections are imperfect which causes the lost of the acoustic energy. To summerise, to well predict the measured acoustic pressure signals, the LES work should be capable of: 1 well predict the amplitude of the acoustic source; 2 have a proper represent of the boundary impedance; 3 well predict the time of reflections in the upstream pipe. It is worth noting that in the EWG configuration, the nozzle is a second acoustic source where the indirect noise is generated which also has reverberations in the upstream pipe.

3. NUMERICAL SET-UP

The present work aims at investigating the effects of different gas injection locations, various air mass flow rates and injected gases with different molar mass on the noise generations. Helium and carbon dioxide are selected to represent gases lighter and heavier than air respectively. This leads to eight test cases B1-B8, with details summarised in table 1.

Case Gas ˙ m ( gs − 1 ) ˙ m g ( gs − 1 ) L c ( m ) ∆ t ( × 10 − 7 s )

B1 He 8 . 0 0 . 17 0 . 65 5

B2 He 8 . 0 0 . 17 0 . 05 5

B3 CO 2 8 . 0 1 . 62 0 . 65 5

B4 CO 2 8 . 0 1 . 62 0 . 05 5

B5 He 1 . 0 0 . 02 0 . 65 30

B6 He 1 . 0 0 . 02 0 . 05 30

B7 He 4 . 0 0 . 08 0 . 65 10

B8 He 4 . 0 0 . 08 0 . 05 10

Table 1: Numerical conditions for test cases B1-B8: primary mass flow rate ˙ m , injected mass flow rate ˙ m g , convective distance L c and time step ∆ t .

Probe Disturbance

In order to investigate the direct and indirect noise generation, a compressible LES of the the Cambridge EWG configuration is performed using the in-house, compressible LES code Boundary Fitted Flow Integrator (BOFFIN-LES). The pressure-based LES code utilises the governing equations for compressible flow, including the equation for total enthalpy, and is based on the use of structured multi-block grids. The convection terms in the momentum equations are approximated by a second order central difference scheme and as such there is no ‘numerical’ dissipation – at least on a uniform mesh - and it is thus likely negligible. A spatial filtering operation is performed to the governing equations to separate the larger scales from the smaller ones. The unknown sub-grid scale stress arising due to filter operation is approximated via a Smagorinsky sgs viscosity in conjunction with the dynamic procedure of Piomelli and Liu [12]. Details of the mathematical formulations can be found in the previous work [13]. BOFFIN-LESc has proven its capability for a variety of turbulent flames [14, 15] including instabilities in complex geometries such as model swirl-stabilised configurations [16, 17]. The computational domain is discretised with structured, multi-blocked meshes. Before applying the unsteady injection, a mesh study has been conducted and the chosen grid was shown to be sufficient to obtain mesh independent time-averaged velocity statistics. The grids are smoothly clustered towards the nozzle and throat regions where the minimum mesh spacing exists. The minimum gird sizes are about 0.5 mm and 0.25 mm in the axial direction ( δ a min ) and the radial direction ( δ r min ) respectively. The wavelengths of interest lie in the range 1 to 4 m and the corresponding time scale range is 0.003 to 0.01 s. The maximum mesh size in the axial direction is about 10mm; all the simulations are carried out with constant time steps, with the CFL number limited below 0.3 and details can be found in the last column of table 1 which are all smaller than 3 × 10 − 6 . Hence the waves of interest are well resolved both in space and time. Main flow parameters representing the operating conditions are then computed and compared with the experimental measurements for B1, B5 and B7 case, including the throat Mach number M th upstream Mach number M 1 and the mean upstream pressure ¯ p 1 , as shown in table 2. It can be seen that with the

Case ˙ m ( gs − 1 ) ¯ p 1 ( kPa ) M th M 1 ( × 10 − 3 )

B1 EXP 8.0 125.4 0.686 11.05

LES 8.0 129.3 0.676 12.8

B5 EXP 4.0 107.3 0.327 6.43

LES 4.0 106.9 0.308 7.02

B7 EXP 1.0 101.7 0.081 1.70

LES 1.0 100.3 0.088 2.20

Table 2: Key conditions for the selected cases.

selected mesh resolution, the mean upstream pressure and Mach number at the upstream probe and the upstream pressure are well reproduced in the LES for all three cases (with less than 6% difference). In addition to the resolution of the mesh, the length of the computational domain is also of great importance in the current study of acoustic problems. The length of the upstream and downstream pipe are 1 . 65 m and 61 m respectively, and it is impractical to include the entire geometry of the test rig in the simulation given this length. The selection of the computational domain (or in other words, the reduction of the domain) should be with considered together with a proper choice of the boundary conditions. As for the inlet boundary, fully reflective inlet boundary conditions are imposed at the inlet of the pipe to match the actual impedance in the experiments; for the outlet boundary, given

Figure 3: A view of the computational mesh with a slice in a mid-plane.

its anechoic nature, non-reflective outlet boundary conditions are adopted at the downstream pipe exit. To correctly account for the reverberation effect in the upstream pipe, the computational domain covers the full length upstream pipe, with reduced downstream pipe length for cost considerations. A view of the computational mesh together with a slice of it is shown in figure 3.

4. RESULTS AND DISCUSSIONS

The evolution of non-dimensional pressure fluctuations in the long configuration ( L c = 650 mm ) is compared with the experimental measurements, shown in Fig. 4. The pressure fluctuation p ′ is normalised by the product of the specific capacity ratio ¯ γ and the mean pressure ¯ p . Figure 4(a) and (b) show the upstream pressure signals in B1 and B3 with helium and carbon dioxide injected respectively. The blue lines represent the LES results while the black solid lines represent the experimental measurements. The red dashed lines are the exponential decay fit of the acoustic energy loss predicted by the reverberation model proposed by Rolland et al. [18]. The injection lasts for 100ms and ends at t = τ p , during which time the acoustic p ′ rises rapidly and reaches a maximum at t = τ p . This corresponds to the acoustic waves generated as a direct result of the gas injection and reverberation effects. After reaching the maximum value, the pressure signal begins to fall due to the loss of acoustic energy. Both the measured and simulated p ′ decay exponentially and follow the decay fit line up to t = τ c ≈ 163 ms , when the injected gas reaches the nozzle. At t = τ c , the injected gas reaches the nozzle where it is accelerated, generating indirect noise which propagates upstream towards the probe ( P i − , fig. 1). Hence, p ′ begins to deviate from the decay fit curve in both in the measurements and LES. In the case B1, the indirect noise is negative while in B3 it is positive, which is due to the relative molar masses of He and CO 2 compared to air. The indirect noise reaches a maximum at around t = 0 . 26 s , which is close to the time where the compositional wave is fully convected through the nozzle. This is supported by the fact that t = 0 . 27 s is very close to the summation of pulse injection time and convective delay τ c + τ p ≈ 0 . 263 s . On comparison of the measurements and LES p ′ profiles up to t = 0 . 16 s , it can be observed that the peak amplitudes, arrival times and the shapes of the p ′ signal are well reproduced by the LES, suggesting strongly that the time histories of the compositional disturbance source are well defined and the acoustic boundary conditions are determined appropriately. In the case of the indirect noise, both the measurements and LES p ′ begin to deviate from the theoretical decay model at around t = 165 ms with the time of the indirect noise generation being

gas injection

Figure 4: Phase averaged, normalised acoustic pressure fluctuations in the long pipe configuration at the upstream probe, (a) B1 with He injection and and (b) B3 with CO 2 injection.

well reproduced by the LES, implying that the bulk convective velocities are accurately computed. However, the indirect noise is slightly under-predicted in B3 with CO 2 injection. This is largely due to the over-prediction of the loss in the flow suggested by a higher upstream pressure and therefore the slight mismatch of throat Mach number and the upstream pressure. This will affect the computed indirect acoustic source strength and the reflections at the nozzle, and is found to be related to the molar mass of the injected gas. In addition„ the acoustic signature has been found to be related to the convection process and dispersion effect in the upstream pipe [11], although this effect should be small in the present case with a very small Helmholtz number, which reflects the nozzle compactness. To further investigate this, a finer mesh is required to simulate the compositional and entropy waves propagation and dispersion, and the flow across the nozzle. In the short pipe configuration, the cross-stream gas is injected very close, 50mm, to the nozzle corresponding to a convective time delay of the compositional and entropic wave of t = τ c ≈ 0 . 001 − 0 . 01 s , which is very short compared with the pulse duration t = τ p = 0 . 1 s , as indicated in Fig. 5. This suggests the direct noise and indirect noise are generated almost simultaneously. In contrast to the long configuration cases discussed above where the direct noise and indirect noise are separated, the two sources of noise largely overlap in the short configuration. Figure 5(a) and (b) show the upstream pressure signals for the cases B2 and B4. From t = 0 to t = τ c , there is only direct noise present and p ′ increases as a consequence. Between t = τ c and t = τ p , indirect noise is also generated, and p ′

represents the acoustic perturbation as a combined effect of the direct and indirect noise. Beyond τ p there is only indirect noise present in the pipe, whilst after t = τ p + τ c , no noise is generated and the acoustic pressures decay until all the acoustic energy is dissipated. On observing Fig. 4 and Fig. 5 together and comparing the maximum p ′ at τ p for B1 in Fig. 4(a) and B2 Fig. 5(a), it can be found that the peak p ′ is much smaller by about 50% in the short configuration, caused by the negative indirect noise. In contrast for the CO 2 cases, with positive indirect noise, the maximum p ′ is higher in case B4 shown in Fig. 5(b) compared to that for B3 in Fig. 4(b), consistent with the positive indirect noise found in the long configuration. Since p ′ maxima represent the direct noise amplitudes in the long configuration and the superposition of direct noise and indirect noise amplitudes in the short configuration the results can be used to estimate the ratio, C id , of the indirect to direct noise. The simulated ratio is = 0 . 46 for He and C id = 0 . 19 for CO 2 compared with the values obtained from the measurements of about 0.42 for He and 0.27 for CO 2 . Thus the simulated indirect noise is lower, by about 9% for He and 26% for CO 2 than the values obtained from the measurements.

(10-7) (b) ua

Figure 5: Normalised acoustic pressure fluctuations in the short pipe configuration at the upstream probe, (a) B2 with He injection and and (b) B4 with CO 2 injection.

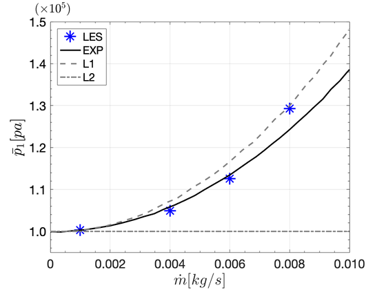
The indirect noise amplitudes are closely related to the loss in the flow. The upstream pressure in cases with different mass flow rate can be used to investigate the isentropicity of the nozzles using the total pressure loss coefficient which can be expressed as follow:

C p 0 = p 0 , j − p 0 , 2

1 / 2 ρ j u j 2 = p 0 , 1 − p 0 , 2

1 / 2 ρ j u j 2 (1)

where C p 0 is a normalised pressure loss coefficient and p 0 is the total pressure and where the subscripts 1, 2, j represent the upstream, downstream and position where the flow just begins to become non- isentropic. A non-isentropicity parameter β l is introduced to indicate the level of total pressure losses occurring in the system, which is defined as β l = A j / A 2 where A represents the cross-section area [19]. Hence according to the definition of β l , two limits can be given: when the flow is fully isentropic, C p 0 = 0 and β l = 1; when A j equals to the throat area A t h , the highest loss occurs in the nozzle, and hence β l = A t h / A 2 . The latter case corresponds to the configuration of an orifice plate with the same throat area A t h . As discussed in the experimental work for a given geometry and mass flow rate, each value of β l corresponds to a specific upstream pressure ¯ p 1 and to a specific mean pressure loss. The pressure ¯ p 1 as a function of air mass flow rate ˙ m obtained by LES and the experiments is shown in Fig. 6. The two limits of isentropic flow (L2) and orifice plate (L1) predicted by the analytical model [7] are also depicted. As shown in Fig. 6, the basic trend of ¯ p 1 rising with ˙ m is captured well by the LES. The value of ¯ p 1 is well predicted in B1, B4 and B6, but is over-estimated in B8 which is ower than the ¯ p 1 given by the theory for an orifice plate with the same mass flow rate. This indicates larger losses in the simulation when the flow rate is high and the Mach number in the nozzle is close and above unity. The larger discrepancy in ¯ p 1 may be associated with the occurrence of shocks in the vicinity of the sudden expansion downstream of the nozzle and in these circumstances the accuracy of Boffin-LES is uncertain.

5. CONCLUSIONS

The present work described the results of an LES study of the noise generation in an Entropy Wave Generator comprising a resonator with a non-isentropic nozzle. A fully compressible LES is performed for the full 360 ◦ EWG configuration with careful choices of boundary conditions and computational domain. The disturbances are created by a cross-flow pulse injection of a secondary

(x10~7) (b) 0 0.2 04 0.6 08

Figure 6: LES predicted upstream pressure ¯ p 1 versus mass flow rate compared with experimental measurements. Two analytical limits are presented with L1 for the orifice plate limit and L2 for a fully isentropic nozzle.

gas with a different composition. The pressure signal extracted from the LES reproduced the direct and indirect noise generating process and matched the measurements to a good level of accuracy for different injection gases. The effect of increasing the main flow mass flow rate on noise generation was studied and discussed in relation to an analytical method. The predicted noise amplitudes were found to be closely related to the losses in the system, which was over-predicted in the simulation when the Mach number in the nozzle approaching unity and shocks may exist. Under this condition the accuracy of the numerical method is uncertain. Overall, the results indicates the capability of the LES method and the successful applications of the acoustic boundary conditions with appropriate assumptions and interpolations in the study of acoustic related problems.

ACKNOWLEDGEMENTS

The work is supported by the Engineering and Physical Sciences Research Council (EPSRC) [Grant no. EP/K026801/1 and EP/R029369/1] through the UK Consortium on Turbulent Reacting Flow (UKCTRF). The simulations have been performed using the ARCHER2 UK National Supercomputing Service (http://www.archer2.ac.uk) and the Isambard GW4 Tier2 HPC Service (https://gw4.ac.uk/isambard/).

REFERENCES

[1] Ann P Dowling and Yasser Mahmoudi. Combustion noise. Proceedings of the Combustion Institute , 35(1):65–100, 2015. [2] M S Howe. Indirect combustion noise. Journal of Fluid Mechanics , 659:267–288, July 2010. [3] Aimee S Morgans and Ignacio Duran. Entropy noise: A review of theory, progress and challenges. International Journal of Spray and Combustion Dynamics , 8(4):285–298, June 2016.

(10°) 0 0.002 0.004 0.006 0.008 0.010 thi kg/s]

[4] T Poinsot. Prediction and control of combustion instabilities in real engines. Proceedings of the Combustion Institute , 36(1):1–28, 2017. [5] Francesca de Domenico, Erwan O Rolland, and Simone Hochgreb. Detection of direct and indirect noise generated by synthetic hot spots in a duct. Journal of Sound and Vibration , 394: 220–236, April 2017. [6] Erwan O Rolland, Francesca De Domenico, and Simone Hochgreb. Direct and Indirect Noise Generated by Entropic and Compositional Inhomogeneities. J. Eng. Gas Turbines Power , 140 (8), May 2018. [7] Francesca di Domenico, Erwan O Rolland, Jocelino Rodrigues, Luca Magri, and Simone Hochgreb. Compositional and entropy indirect noise generated in subsonic non-isentropic nozzles. Journal of Fluid Mechanics , 910:031003–31, March 2021. [8] Aimee S. Morgans, Chee Su Goh, and Jeremy A. Dahan. The dissipation and shear dispersion of entropy waves in combustor thermoacoustics. Journal of Fluid Mechanics , 733:R2, 2013. [9] Andrea Giusti, Nicholas A Worth, Epaminondas Mastorakos, and Ann P Dowling. Experimental and Numerical Investigation into the Propagation of Entropy Waves. AIAA Journal , pages 1–13, February 2017. [10] Stéphane Moreau, C Becerril, and LYM Gicquel. Large-Eddy-simulation prediction of indirect combustion noise in the entropy wave generator experiment. International Journal of Spray and Combustion Dynamics , 10(2):154–168, November 2017. [11] Jocelino Rodrigues, Andrea Busseti, and Simone Hochgreb. Numerical investigation on the generation, mixing and convection of entropic and compositional waves in a flow duct. Journal of Sound and Vibration , 472:115155, April 2020. [12] Ugo Piomelli and Junhui Liu. Large [U+2010] eddy simulation of rotating channel flows using a localized dynamic model. Physics of Fluids , 7:839–848, 4 1995. ISSN 1070-6631. doi: 10.1063/1.868607. [13] Daniel Fredrich, William P. Jones, and Andrew J. Marquis. Thermo-acoustic Instabilities in the PRECCINSTA Combustor Investigated Using a Compressible LES-pdf Approach. Flow, Turbulence and Combustion , 106:1399–1415, 4 2021. ISSN 15731987. doi: 10.1007/ s10494-020-00177-3. [14] W P Jones and V N Prasad. Large Eddy Simulation of the Sandia Flame Series (D-F) using the Eulerian stochastic field method. Combustion and Flame , 157(9):1621–1636, September 2010. [15] Y Gong, W P Jones, and A J Marquis. Study of a Premixed Turbulent Counter-Flow Flame with a Large Eddy Simulation Method. Flow Turbulence Combust , pages 1–20, January 2021. [16] D Noh, E Karlis, S Navarro-Martinez, Y Hardalupas, A M K P Taylor, D Fredrich, and W P Jones. Azimuthally-driven subharmonic thermoacoustic instabilities in a swirl-stabilised combustor. Proceedings of the Combustion Institute , 37(4):5333–5341, 2019. [17] D Fredrich, W P Jones, and A J Marquis. The stochastic fields method applied to a partially premixed swirl flame with wall heat transfer. Combustion and Flame , 205:446–456, May 2019. [18] E. O. Rolland, F. de Domenico, and S. Hochgreb. Theory and application of reverberated direct and indirect noise. Journal of Fluid Mechanics , 819:435–464, 2017. [19] Francesca De Domenico, Erwan O. Rolland, and Simone Hochgreb. A generalised model for acoustic and entropic transfer function of nozzles with losses. Journal of Sound and Vibration , 440:212–230, 2 2019.