Welcome to the new IOA website! Please reset your password to access your account.

On the decay of entropic-compositional sources of indirect noise in com- bustors E. Rahmani 1 School of Mechanical Engineering Iran University of Science and Technology, Tehran, Iran. A. Fattahi 2 Department of Mechanical Engineering University of Kashan, Kashan, Iran. Email address: afattahi@kashanu.ac.ir N. Karimi *,** 3 * School of Engineering and Materials Science Queen Mary University of London, London E1 4NS, United Kingdom. ** James Watt School of Engineering University of Glasgow, Glasgow G12 8QQ, United Kingdom. S.M. Hosseinalipour 4 School of Mechanical Engineering Iran University of Science and Technology, Tehran, Iran.

ABSTRACT Combustion noise is a well-known, potentially harmful occurrence in real combustors. For years, indirect combustion noise was addressed as the entropy noise, which was made by an irreversibly thermal fluctuation. After introducing the chemical source of indirect combustion noise, some more questions have been raised about the fate of the compositional waves in the combustors. They have not been directly addressed, yet. The current numerical work aims to clarify the evolution of the whole parts of indirect noise sources, as compositional or thermal ones. A convecting wave of a mixture of combustion product gases is introduced at the inlet of a cold channel flow. The degeneration of the wave’s component is evaluated in the frequency domain by a statistical function using the results of a large eddy simulation. It is shown that both turbulence level and cooling heat transfer from the

1 Erahmani.mech@gmail.com

2 afattahi@kashanu.ac.ir

3 n.karimi@qmul.ac.uk

4 alipour@iust.ac.ir

walls can result in wave deterioration. However, the effects of the latter are found to be stricter than the former. The compositional sources can endure at a higher frequency range than the thermal source of the indirect noise. On the other hand, the evolution of the compositional sources is more dependent on the length of the combustor compared to the thermal source. It is discussed that the chemical potential function remains coherent through a long distance while the wave convects and the evolution of the compositional wave is majorly ensuing from the mixture fraction gradient. A magnitude comparison among the various sources is performed and it is concluded that composi- tional source including the heat capacity variation has the least importance.

1. INTRODUCTION

Combustion noise is a major concern associated with the operating of power generating turbo-en- gines. This is of higher importance in aero-engines where the strict regulations for environmental and cabin noise curbing have been legalized [1]. If the noise reflecting the combustor couples with the natural acoustic modes, the thermoacoustic instabilities can be triggered, and subsequently some problems from efficiency decrement to complete failure of the engine may be posed [2]. Resulting from low NOx emission design, the aero-engines are utterly susceptible to combustion instabilities. The combustion noise is ensuing from direct or indirect sources. The unsteady, volumetric expansion of the flame, as a heat release region, is the origin of the direct noise [3–6]. The indirect noise, on the other hand, is emanated from the convecting fluctuating in the temperature, composition, or vorticity produced by the flame if they are decelerated or accelerated [7–9]. The velocity-dependent flow field can occur in the outlet nozzle or convergent-like first stage of the gas turbine. The survival of the combustion noise sources can motivate acoustical pollution generating or thermoacoustic instabilities onset in land-based or aero gas turbines. It is passed more than fifty years since the introduction of compositional waves, as the source of indirect noise by Sinai [10]. This has arisen from inhomogeneities in the composition mixture of the burning flue, which is inherently composed of a combination of gases rather than a single-component gas, which has been ever considered in most works. After a long while, this source of indirect noise has been formulated using the theory of compact nozzle [11] by Magri et al. [12]. They showed that the compositional noise could exceed the entropy noise in the lean condition of the flame and super- sonic nozzle at the combustor end. Their study was terminated by underlining the importance of compositional wave evolution, as missed in their work. By extending their earlier model, they de- clared that the compact-nozzle theory might overestimate the compositional noise level [13]. Rolland et al. [14] experimentally scrutinized the direct and indirect noise, caused by entropic and composi- tional waves. They tried to separate precisely the noises from each other, supposed to be difficult. Although they addressed the dispersion of the compositional wave attributed to the flow field, it was not investigated. The response of the subsonic nozzle to compositional and entropic waves was driven for the case of the non-isentropic nozzle by Domenico et al. [12]. They showed inaccurate prediction if the nozzle was assumed to be isentropic. They indicated that the composition perturbation was undergone dispersion minimally in the short tube of experiments. It is now accepted that the entropy wave is influenced by a level of evolution. Despite a number of works that addressed this issue, the extent of the decay and the conditions motivating it are still an open-end problems. On the other hand, the compositional wave has not been appraised in terms of dispersion or potential dissipation, yet. Therefore, this study aims to address the fate of all sources of indirect noise, i.e. entropy and compositional waves, in a simple 3D channel using LES. This study directly delineates which source of indirect noise pays more charge for the evolution during con- vecting the wave from where it generates to the channel outlet. Two thermal boundary conditions on

the combustor’s wall, which are adiabatic and convective, are considered. The former is the most ideal, while the latter is the realistic one. The results will throw some light on the relative importance of the indirect sources of combustion noise after influencing the decaying mechanisms.

2. Geometry, boundary conditions and inlet pulse

The geometry consists of two parallel plates shown in Figure 1. The geometry and dimensions are borrowed from Ref. [15], assuming ℎ= 2.5 mm. The convective heat transfer is set on the external surfaces of the channel by a coefficient of 100 W/m2.K [16] and a free stream temperature of 273K. The fluid flow is the air that is presumed to be Newtonian and its density is dependent on the temper- ature through ideal gas relation. The periodic boundary condition is regarded in the lateral and stream- wise areas of the channel. The channel’s outlet is characterized with zero axial gradient for all prop- erties. The velocity is set as the turbulent Reynolds number of the bulk flow becomes 180, similar to the DNS of Morgans et al. [15]. The inlet velocity is defined by a fully-developed velocity profile. The Reynolds number is calculated using the bulk velocity and the hydraulic diameter of the channel.

Figure 1: The schematic geometry studied with the dimensions. A hot chemically different piece of fluid flow is introduced at the channel’s inlet, as an entropic and compositional wave. This is assumed to be comprised of the products of a complete combustion of n-dodecane (Kerosene substitute) and pure oxygen by an equivalence ratio of 0.8; the lean regime that is common to gas turbines. A mixture of H 2 O, CO 2 and O 2 at the temperature of 330K is run into the channel during the period of 0.0006s (the time of rising and constant). The function of injecting the piece of flow at the inlet is made of linear growing-constant value-exponential reducing (see Ref. [17]) for more details). This special shape of pulse dropping allows better stability in the numerical procedure when it is injected. The generated pulse is convected through the channel by the inertial of the base fluid flow.

3. Numerical and theoretical methods

3.1. Governing equations and numerical procedure The entropy and compositional waves can be affected by transport phenomena and turbulence flow structures. Hence, a highly precise numerical simulation to capture the entire preceding occurrence is required. DNS is the best choice at first glance, while this is prohibitively expensive. Transient LES is a reasonable, precise, and affordable alternative when it compares to URANS [18], as applied in this study. Further, the continuity, momentum and energy equation are required. In the current simulation, 𝐶𝐹𝐿= 0.28 . there id no any concern to involve acoustics in the current simualtion, as the Mach number of the flow field is low. The washout time to get away the undesirable unsteadiness is considerd the triple time of the convecting of a massless fluid.

3.2. The sources of indirect noise Magri et al. [19] presented a full-term explanation of an entropy fluctuation, which reads

𝐶 𝑝 ′

𝑑𝑠

𝑑𝑇

𝛾−1

𝑑𝑝

𝑝 , (1)

𝐶 𝑝 =

𝑇 +

𝐶 𝑝 𝑑𝑍−Ψ𝑑𝑍−

𝛾

where Ψ and 𝐶 𝑝 is the chemical potential, and the specific thermal capacity of the mixture, respec- tively, and prime symbol specifies the derivate with respect to the mixture fraction, 𝑍 , which connects to the mass fraction of each component, Y 𝑖 , by [20]

𝑌 𝑖 = 𝑌 𝑖𝑂,0 + ൫𝑌 𝑖𝐹,0 −𝑌 𝑖𝑂,0 ൯𝑍− 𝑊 𝑖 𝑣 𝑖

൫𝑌 𝐹 −𝑌 𝐹,0 𝑍൯, (2)

𝑊 𝐹 𝑣 𝐹

where 𝑊 and 𝑣 demonstrate correspondingly molecular weight and chemical reaction coefficients. Subscripts 𝑂 , 𝐹, and 𝑖 stand for oxidizer, fuel, and initial stream. Eq. (2) leads to find the unknown value of the mixture fraction using the mass fraction of components derived by numerical simulation. The chemical potential function in Eq. (1) is calculated by [19]

1

𝐶 𝑝 𝑇 σ (𝜇 𝑖 / 𝑖 𝑊 𝑖 )Y 𝑖 ′ , (3)

Ψ =

in which 𝜇 𝑖 is the chemical potential of i th component, given by [19,21]

0 + 𝑅ത𝑇𝑙𝑛(𝑃 𝑖 ). (4) In Eq. (4), superscript 0 stands for standard conditions, 𝑅 ത indicates universal gas constant and 𝑃 𝑖 il- lustrates the partial pressure of each gaseous component in the mixture. It is worth noting that Y 𝑖 ′ in Eq. (3) can be easily found in Eq. (2). Further for an ideal gas mixture, 𝐶 𝑝 = σ 𝐶 𝑝,𝑖 𝑖 𝑌 𝑖 .

𝜇 𝑖 = 𝜇 𝑖

𝑑𝑇

R.H.S of Eq. (1) shows various sources of indirect noise.

𝑇 indicates the traditional entropy wave.

𝐶 𝑝 ′

𝛾−1

𝑑𝑝

𝐶 𝑝 𝑑𝑍 and Ψ𝑑𝑍 shows the compositional waves and

𝑝 is the pressure fluctuation generating an

𝛾

indirect noises. In the current study, all sources defined above are named 𝑠 1 to 𝑠 4 .

3.3. Grid independency and validation The grid independency procedure was carried out by calculating the area below the temperature-time graph of the convecting wave for various cell numbers. It was concluded that a grid size of 500000 cells could be precise to capture the seeking physics. In the current study, 𝑦 + keeps about 0.9, rec- ommended by the other LES benchmarks [22,23]. The value of non-dimensional velocity, 𝑈 + , versus 𝑦 + for the current study is shown against the DNS results of Moser et al. [24] in Figure 2a. The low value of disparity between two sets of data shows the simulation can be as precise as a DNS. In order to show the ability of the current simulation to capture the physics of a convecting fluctuation, the results of the experiments of Bake et al. [25] were simulated and the results are shown in Figure 2b. Again, an acceptable comparison is found and proves the ability of the current simulation to achieve the aims.

25

306 Bake et al. Experiment Current n umerical work

DNS of Moser et al. Current Study

20

304

Temperature (K)

15

302

U +

300

10

298

5

296

3 0

0 0.1 0.2 0.3 0.4

0 10

1 10

2 10

10

+

(a) (b) Figure 2: A comparison between (a) the current LES results and those of DNS by Moser et al.

y

Time (sec)

[24], (b) the current numerical simulation and experimental data of Bake et al. [26].

3.4. Coherency of the wave and wave detection The coherence function is a measure to show the level of linear relation between two sets of data. This is defined on the frequency domain. The value of the coherence function falls between zero and unity. The lowest denotes fully unrelated and the highest indicates fully related data sets. This func- tion was also used in similar studies [17,27,28] to capture the wave degeneration. For two signals 𝑥(𝑡) and 𝑦(𝑡) , this is defined in the frequency domain as

(𝐺 𝑥𝑦 (𝑓)) 2

𝐺 𝑥𝑥 (𝑓)𝐺 𝑦𝑦 (𝑓) , (5)

𝐶 𝑥𝑦 (𝑓) =

whereby 𝐺 𝑥𝑥 (𝑓) and 𝐺 𝑦𝑦 (𝑓) mean the auto-spectral density of the preceding signals The nature of the flow field may smear the wave’s sides. Thus, a criterion is used here to determine where the wave’s location is [17,27]. By considering the right value of the following relation equals 0.02 and 0.001, the rear and front of the wave will be indicated.

𝜑 𝑎𝑣𝑒 −𝜑ത 𝑎𝑣𝑒,𝑖

= 𝑐𝑟𝑖𝑡𝑒𝑟𝑖𝑜𝑛 𝑣𝑎𝑙𝑢𝑒, (6)

𝜑ത 𝑎𝑣𝑒,𝑖

in which 𝜑 is either temperature or species concentration. Further, the subscript 𝑎𝑣𝑒 means the mass- weighted average in any arbitrary longitudinal location, and 𝑎𝑣𝑒, 𝑖 stands for the initial value of 𝜑 prior to the wave release.

4. Results and discussion

𝐶 𝑝 ′

𝑑𝑇

𝛾−1

𝑑𝑝

The sources of indirect noise, as 𝑠 1 = ቚ

𝑇 ቚ , 𝑠 2 = ฬ

𝐶 𝑝 𝑑𝑍ฬ , 𝑠 3 = ȁ−Ψ𝑑𝑍ȁ , and 𝑠 4 = ቚ−

𝑝 ቚ are

𝛾

evaluated in a channel. As the pressure variations is negligible in the current simulation, the last source, 𝑠 4 , is not considered. The channel’s wall are considered either adiabatic or convectively cooled. As the effect of the turbulence on the waves should be involved, two different turbulence intensity values are involved. Table 1 shows the cases of the current simulation. To be consistent with the literature, the thermal part of the entropy wave (see Eq. (1)) has been called the entropy wave in the recent studies of compositional waves. However, in the discussion of the

‘souaroyoD)

current result, it is addressed by the thermal part of the entropy wave to clarify that this part is only ensuing from the temperature increment.

Table1- The case description of the current study. Case No. Wall conditions Turbulence intensity (%)

1 Adiabatic 5

2 Adiabatic 20

3 convective 5

4 convective 20

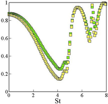
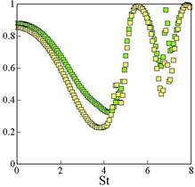
The coherence function is drawn in Figure 3 for three investigated sources of indirect noise in cases 1 and 3. Figure 4 also shows the same information for cases 2 and 4. It is found that 𝑠 1 , as the con- ventional source of entropy noise, becomes more coherent through conveting the duct. Similar to those proved earlier for the thermal part of entropy wave [27], convective heat transfer or increasing turbulence level, raised by turbulence intensity, makes a deterioration in the compositional sources; 𝑠 2 and 𝑠 3 . However, the heat transfer contribution in the wave’s degeneration is profoundly higher than the turbulence intensity.

Case 1

Case 3 (a) (b) (c) Figure 3: The coherence value of the sources between inlet and middle (green dots) or inlet and

near the outlet (yellow dots) of the channel of case 1 and 3 for (a) 𝑠 1 , (b) 𝑠 2 and (c) 𝑠 3 .

at

This is such that the cooling heat transfer can scatter the compositional wave in high frequencies. Although the compositional source keeps its full coherence in a narrow range of frequency and being less important compared to the thermal part, all sources may be harmful in a real combustor in the low-frequency range.

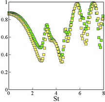
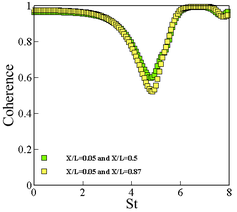
Case 2

Case 4 (a) (b) (c) Figure 4: The coherence value of the sources between inlet and middle (green dots) or inlet and near the outlet (yellow dots) of the channel of cases 2 and 4 for (a) 𝑠 1 , (b) 𝑠 2 and (c) 𝑠 3 . Figures 5 and 6 show the coherence of chemical potential function through convicting the composi- tional wave in the channel. Similar to the last, every figure elucidates cases with the same turbulence intensity; Figure 5 is taken into consideration cases 1 and 3 and Figure 6 for other cases. A complete coherent trend with the values of close unity is observed for the adiabatic channel along a wide fre- quency spectrum. The coherence changes minor as the wave passes along the duct. The turbulence level affects the chemical potential by making more and deeper coherence falls. Convection cooling establishes similar, but stronger effects on the chemical potential. Returning Figures 3 and 4, it is conspicuous that only some minor drops of the 𝑠 3 through the frequency spectrum stem from the coherence decay of chemical potential; however, the mixture fraction variation is the substantial rea- son behind the breaking in coherent trend. This shows that the hydrodynamic or thermal boundary conditions, accomplished in the current work, can noticeably influence the mixture fraction and the chemical potential remains not to be touched. Therefore, the critical parameter to deteriorate the com- positional wave is the mixture fraction which can be introduced as the sink of the chemical part of an entropy wave. The chemical potential losses its coherence with that at the inlet as the wave convects.

os| ‘0Ulasayo>)

Case 1

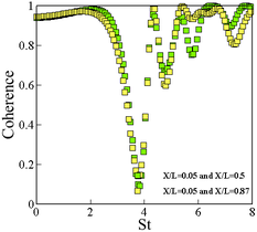
Case 3 (a) (b) (c) Figure 5: The coherence of chemical potential function ( 𝛹 ) for case 1 and 3 between the inlet

and (a) 𝑥/𝐿 = 0.25, (b) 𝑥/𝐿 = 0.5 and (c) 𝑥/𝐿 = 0.9. Considering Figure 5 and 6, it can be argued that chemical potential keeps its coherence in a wide frequency range, exempt from the combustor hydrodynamic or thermal conditions, even up to the end of the convection length. The dissipation of the three investigated sources is demonstrated in Figure 7 using the mass-averaged of the sources’ amplitude. Figure 7a shows that near the inlet ( 𝑥/𝐿< 0.25 ), the thermal source is varied negligibly in all cases. Hence, this source of indirect noise is not touchable by the decaying thermal or hydrodynamic mechanisms. Nonetheless, this figure releases the stronger effects of cool- ing on the thermal source in comparison to the turbulence level even at long distances. The contribu- tion of cooling heat transfer encourages by convecting the wave. Figures 7b and c elucidate the same information as Figure 7a for the compositional sources. The second source achieved the least value of the amplitude.

os| ‘20uatog07)

Case 2

Case 4 (a) (b) (c) Figure 6: The coherence of chemical potential function ( 𝛹 ) for case 2 and 4 between the inlet

and (a) 𝑥/𝐿 = 0.25, (b) 𝑥/𝐿 = 0.5 and (c) 𝑥/𝐿 = 0.9. It shows that the variation of heat capacity of the mixture of gases is not momentous. The amplitude of this source in the vicinity of the outlet is limited to zero. This source is dramatically reduced while the wave convects; the amplitude is mitigated by a factor of 3 when the wave reaches the first quarter of the channel ( 𝑥/𝐿= 0.25 ). The 𝑠 3 is reduced under influence of turbulence and heat transfer, as well. All sources are smeared noticeably in the first half of the channel. These subfigures then draw a conclusion that the length of the combustor placed a central role in decaying the compositional wave, as similarly proved for thermal wave earlier [17,27,29]. However, this is more accented for compositional sources. The level of sources’ noise is directly related to the subcritical or supercritical nozzle’s regime [13]. However, the second noise amplitude is too weak can produce considerable compositional noise, and may fail in the competition with the 𝑠 3 .

‘0ulasayo>)

(a) (b) (c) Figure 7: The magnitude of indirect noise sources for various cases and at different locations;

(a) 𝑠 1 , (b) 𝑠 2 and (c) 𝑠 3 . 5. CONCLUSIONS

The decays in the sources of combustion noise are of significant importance because they can be canceled out the harmful coupling of the flame resultant noise and combustor’s acoustics. The effects of turbulence level and thermal boundary conditions, i.e. adiabatic and convective cooling on the channel’s wall were evaluated. The statistical assessment was performed to find how a compositional wave might be degenerated and further, the compositional sources of the indirect combustion noise were compared to thermal source in terms of durability on the frequency domain. The main findings of this study can be summarized as the following.

heel See wien] TES eres 0.06 gO mes 005) (aT. Mas 2 0.02) oot

 The cooling heat transfer in the studied range made a more significant contribution to the

wave’s decay than the turbulence intensity.  The coherence falling rate versus increasing Strouhal number was faster for compositional

sources.  The mixture fraction variation majorly caused compositional wave’s decay in comparison to

the chemical potential that was minor influenced. Therefore, this was introduced as the com- positional wave’s sink.  The compositional sources were more affected by the flow field and heat transfer than the

thermal source; however, the formed could endure at higher frequencies where the thermal source could not exist.

𝐶 𝑝 ′

 The strength of the compositional source including the heat capacity differentiates (

𝐶 𝑝 𝑑𝑍 )

was shown to be too low and had a negligible potential to produce sound in comparison to the other sources.  The combustor’s length was found to be a great deal of potential for decaying both thermal

0.002) 0.001 —S— woos] 2 Misaas

and compositional sources.

6. REFERENCES

[1] A.S. Morgans, I. Duran, Entropy noise: A review of theory, progress and challenges, Journals.Sagepub.Com. 8 (2016) 285–298. https://doi.org/10.1177/1756827716651791. [2] T. Lieuwen, T. Lieuwen, Modeling Premixed CombustionnAcoustic Wave Interactions: A Review Non-linear Flame Response Physics View project Blowout of swirl dump combustors View project Modeling Premixed Combustion-Acoustic Wave Interactions: A Review, Artic.

ICP AZ) an! os| 06} oa i go wees

J. Propuls. Power. 19 (2003) 765–781. https://doi.org/10.2514/2.6193. [3] W.C. Strahle, Combustion noise, Prog. Energy Combust. Sci. 4 (1978) 157–176. [4] A.P. Dowling, Y. Mahmoudi, Combustion noise, Proc. Combust. Inst. 35 (2015) 65–100. [5] H.H. Chiu, M. Summerfield, Theory of combustion noise, Acta Astronaut. 1 (1974) 967–984. [6] H.A. Hassan, Scaling of combustion-generated noise, J. Fluid Mech. 66 (1974) 445–453. https://doi.org/10.1017/S0022112074000292. [7] B.-T. Chu, L.S.G. Kovásznay, Non-linear interactions in a viscous heat-conducting compressible gas, J. Fluid Mech. 3 (1958) 494–514. [8] W.C. Strahle, Duality, dilatation, diffusion and dissipation in reacting turbulent flows, in: Symp. Combust., Elsevier, 1982: pp. 337–347. [9] W.C. Strahle, M. Muthukrishnan, Correlation of combustor rig sound power data and theoretical basis of results, AIAA J. 18 (1980) 269–274. https://doi.org/10.2514/3.50759. [10] Y.L. Sinai, The generation of combustion noise by chemical inhomogeneities in steady, low-

Mach-number duct flows, J. Fluid Mech. 99 (1980) 383–397. https://doi.org/10.1017/S0022112080000663. [11] F.E. Marble, S.M. Candel, Acoustic disturbance from gas non-uniformities convected through

a nozzle, J. Sound Vib. 55 (1977) 225–243. https://doi.org/10.1016/0022-460X(77)90596-X. [12] F. De Domenico, E.O. Rolland, J. Rodrigues, L. Magri, S. Hochgreb, Compositional and

entropy indirect noise generated in subsonic non-isentropic nozzles, J. Fluid Mech. 910 (2021) 5. https://doi.org/10.1017/jfm.2020.916. [13] L. Magri, J. O’Brien, M. Ihme, Effects of nozzle Helmholtz number on indirect combustion

noise by compositional perturbations, J. Eng. Gas Turbines Power. 140 (2018). [14] E.O. Rolland, F. De Domenico, S. Hochgreb, Direct and indirect noise generated by entropic

and compositional inhomogeneities, J. Eng. Gas Turbines Power. 140 (2018). [15] I. Duran, S. Moreau, Solution of the quasi-one-dimensional linearized Euler equations using

flow invariants and the Magnus expansion, J. Fluid Mech. 723 (2013) 190–231. https://doi.org/10.1017/jfm.2013.118. [16] A.H. Lefebvre, Gas turbine combustion, CRC press, 1998. [17] S.M. Hosseinalipour, A. Fattahi, H. Afshari, N. Karimi, On the effects of convecting entropy

waves on the combustor hydrodynamics, Appl. Therm. Eng. 110 (2017) 901–909. [18] E. Ron, K. Chana, Comparison of Large Eddy Simulation and Unsteady Reynolds-Averaged

Navier-Stokes for Evaluation of Entropy Noise, J. Fluids Eng. Trans. ASME. 139 (2017). https://doi.org/10.1115/1.4037140. [19] L. Magri, J. O’Brien, M. Ihme, Compositional inhomogeneities as a source of indirect

combustion noise, J. Fluid Mech. 799 (2016). https://doi.org/10.1017/jfm.2016.397. [20] F.A. Williams, Turbulent combustion, in: Math. Combust., SIAM, 1985: pp. 97–131. [21] G. Job, F. Herrmann, Chemical potential - A quantity in search of recognition, Eur. J. Phys. 27

(2006) 353–371. https://doi.org/10.1088/0143-0807/27/2/018. [22] M.M. Tavakol, O. Abouali, M. Yaghoubi, Large eddy simulation of turbulent flow around a

wall mounted hemisphere, Appl. Math. Model. 39 (2015) 3596–3618. https://doi.org/10.1016/j.apm.2014.11.055. [23] F. Ries, K. Nishad, L. Dressler, J. Janicka, A. Sadiki, Evaluating large eddy simulation results

based on error analysis, Theor. Comput. Fluid Dyn. 32 (2018) 733–752. https://doi.org/10.1007/s00162-018-0474-0. [24] R.D. Moser, J. Kim, N.N. Mansour, Direct numerical simulation of turbulent channel flow up

to Reτ=590, Phys. Fluids. 11 (1999) 943–945. https://doi.org/10.1063/1.869966.

[25] F. Bake, N. Kings, A. Fischer, I. Roehle, Indirect combustion noise: Investigations of noise

generated by the acceleration of flow inhomogeneities, Acta Acust. United with Acust. 95 (2009) 461–469. [26] F. Bake, N. Kings, I. Roehle, Fundamental mechanism of entropy noise in aero-engines:

Experimental investigation, J. Eng. Gas Turbines Power. 130 (2008). [27] A. Fattahi, S.M. Hosseinalipour, N. Karimi, On the dissipation and dispersion of entropy waves

in heat transferring channel flows, Phys. Fluids. 29 (2017) 87104. [28] N. Hajialigol, K. Mazaheri, The dissipation and dispersion of the entropy wave caused by a

turbulent lean premixed flame in a combustor, Appl. Therm. Eng. 165 (2020) 112900. https://doi.org/10.1016/j.applthermaleng.2018.11.019. [29] S.M. Hosseinalipour, A. Fattahi, H. Khalili, F. Tootoonchian, N. Karimi, Experimental

investigation of entropy waves’ evolution for understanding of indirect combustion noise in gas turbine combustors, Energy. 195 (2020) 116978. https://doi.org/10.1016/j.energy.2020.116978.