Welcome to the new IOA website! Please reset your password to access your account.

Acoustic analysis of coupled loudspeakers for low frequency duct

noise reflection

Shang Li 1 College of Power and Energy Engineering, Harbin Engineering University, China 145 Nantong St. Nangang Dis. Harbin, Heilongjiang, P. R. China 150001 Xiaochen Zhao * 2 College of Power and Energy Engineering, Harbin Engineering University, China 145 Nantong St. Nangang Dis. Harbin, Heilongjiang, P. R. China 150001 Xinyu Zhang 3 College of Power and Energy Engineering, Harbin Engineering University, China 145 Nantong St. Nangang Dis. Harbin, Heilongjiang, P. R. China 150001

ABSTRACT The passive control of low-frequency duct noise remains a technical challenge. Inspired by the research of Wang and Huang [Investigation of a broadband duct noise control system inspired by the middle ear mechanism, Mech. Syst. Signal Process. 31 (2012) 284–297.], an electro-mechanical coupling approach is introduced to solve this problem. The device consists of the main duct segment and multiple sets of connected loudspeakers, which functions as a side-by tube in traditional Herschel-Quincke (HQ) tube. The acoustic waves imposed on the upstream loudspeaker can be transmitted to the other loudspeaker via the connecting circuit immediately, which represents a fast track when compared with the wave transmission via the fluid medium in the main duct. A periodic silencer array is developed to broaden the bandwidth and increase the magnitude of noise attenuation. Transfer matrix method is adopted to investigate its acoustic performance. If proper parameters are selected, the proposed silencer can function effectively as wave reflector in low frequency range. The TL spectrum exhibits multiple peaks, which are mainly contributed by the HQ- tube-like resonance and mechanical resonance of the loudspeaker itself.

1. INTRODUCTION

Ducts play an important role in conveying different types of fluid, but noise problems always exits. The attenuation of low frequency duct noise with limited space occupation has always been a challenge.

Reactive silencers are widely used to attenuate duct noise, due to their relatively simple structure and durability. Typical examples are expansion chamber, quarter wavelength resonators, Herschel- Quincke (HQ) tube, etc. However, the low frequency performance of those reactive silencers is still limited by the space occupation that can be achieved in practice. Therefore, a major challenge in the application of reactive silencers is to strike a balance between limited space, low-frequency performance and effective silencing bandwidth.

HQ tube can exhibit multiple narrow sound attenuating bands related to the length of the ducts. Selamet and Dickey addressed an expression for the transmission loss characteristics of the HQ tube [1] . In order to obtain broadband silencing effect, various arrangements of HQ tubes have also

1 lishang0711@163.com 2 zhaoxiaochen@hrbeu.edu.cn (corresponding author) 3 zhangxinyu@hrbeu.edu.cn

been developed, such as the structure with multiple bypass tubes in parallel, combined with micro- perforated panels, sound-absorbing materials or expansion chambers [2-5] . However, it is still difficult to shift the TL peak of HQ tube to a lower frequency, because the peak frequency is only related to the phase difference between the two acoustic pathways.

The research of Wang and Huang provides us with a new approach to solve this problem. They used two rigid plates connected by a rigid rod to replace the sound propagation bypass, which exhibits the acoustic interference elimination effect similar to a HQ tube [6] . Meanwhile, in noise control area, electrodynamic loudspeakers are generally used as a transducer. Connecting the loudspeaker to a shunt circuit can form a resonant absorber, and its sound absorption feature can be adjusted by the parameters of the connected electrical circuit. Fleming et al . experimentally demonstrated that a loudspeaker connected with a shunt circuit can efficiently exhibit a behavior similar to that of the Helmholtz resonator at resonant frequency [7] . Zhang et al . studied the effect of different components in the shunt circuit on the silencing performance of the resonant absorber. It was found that the shunt capacitor and the reduced electrical resistance of the voice coil are the key to sound absorption improvement. The micro-perforated plates can also be adopted to extend the silencing frequency band [8-9] .

In this paper, inspired by Wang and Huang's research [6] , we combine electro-acoustic transducer with the silencing mechanism of traditional HQ tube. The simplified model is shown in Figure 1. This basic configuration includes a closed electrical circuit and two electrodynamic loudspeakers, which function as an acoustic transmission system. With the in-coming waves passing over the diaphragm of upstream loudspeaker, this diaphragm is excited to vibrate. Then an induced current is generated in the circuit and drives the diaphragm of the downstream loudspeaker to radiate sound. The coupled loudspeakers actually play a role similar to the bypass in traditional HQ tube. Therefore, if both the two loudspeakers are excited efficiently, then high-efficiency transmission of sound can be achieved. Then the entire silencing structure can be treated as a new type of reactive silencer.

This paper begins by the 1D analysis method in Sections 2 and the results are proved to be in good agreement with those from the 3D numerical solution. Then the transfer matrix method is employed to evaluate the performance of the single silencer unit (Section 3), as well as the silencer array (Section 4). The Sections 5 is concerned with the main findings of the theoretical research, focusing on the detailed features of this type of silencer. Finally, conclusions will be drawn in Section 6.

w b

P Z1 V Z1 P Z2 V Z2

P i P r C U D T I

R P T w d

2r L up 2r L down

L 1

Figure 1: Theoretical model of the silencer.

2. ACOUSTIC IMPEDANCE OF THE LOUDSPEAKER DIAPHRAGM

Under the low frequency approximation, an electrodynamic loudspeaker can be modeled as a single degree of freedom system mechanically driven by a voice within the magnetic field. The mechanical part is modeled as a simple mass-spring-damper system, represented by its equivalent mechanical mass 𝑀 , the mechanical stiffness of the loudspeaker 𝐾 and the mechanical resistance 𝑅 . The loudspeaker is backed with a cabinet to prevent the breakout noise. Since the cabinet is much more compact when compared to the wavelength in low-frequency range, the acoustic compliance of the enclosure can be simplified as 𝐶 𝑎 = 𝑉𝜌 0 𝑐 0

2 ⁄ , where 𝜌 0 , 𝑐 0 and 𝑉 are the density of the air, the speed of sound in air and the volume of the cabinet [10] , respectively. When the loudspeaker is left open circuit, namely no current circulates through the voice coil, the effective mechanical impedance of the loudspeaker in the enclosure can bedenoted as 𝑍 𝐿 .

2 D L

S K Z R j M j j C (1)

   = + + +

a

where 𝑆 𝐷 = 𝜋𝑟 2 is the effective diaphragm area of loudspeaker. 𝑟 and 𝜔 are, respectively, the radius of the diaphragm and the angular frequency. In electrical parts, the electrical impedance of the loudspeaker can be represented by

 = + e e e Z R j L (2)

where 𝑅 𝑒 and 𝐿 𝑒 are the DC resistance and self inductance of voice coil, respectively. It should be noted the electrical load becomes 2𝑍 𝑒 for twin loudspeakers design. The current flowing the circuit in the two loudspeakers is 𝑖= 𝐵𝐿∙(𝑉 𝑍1 −𝑉 𝑍2 ) (2𝑍 𝑒 ) ⁄ , where BL is the force factor of the magnetic loudspeaker. (𝑉 𝑍1 −𝑉 𝑍2 ) is the relative motion velocities of the diaphragms of the twin loudspeakers. The normal directions of the motion of the diaphragms are also indicated as arrows in Figure 1. If the electro-magnetic force is 𝐹= 𝐵𝐿𝑖= (𝐵𝐿) 2 ∙(𝑉 𝑍1 −𝑉 𝑍2 ) (2𝑍 𝑒 ) ⁄ , then the equivalent mechanical impedance Z me induced by the circuit [11] becomes

( ) ( )  =

2

BL Z

(3)

 +

2 me

R j L

e e

Hence, the total mechanical impedance of each twin loudspeakers becomes

= + m L me Z Z Z (4)

3. SOUND TRANSMISSION SYSTEM

The traditional HQ tube consist of a straight pipe and a U-shaped bypass. In this paper, two closed- box electrodynamic loudspeakers with identical parameters are adopted to replace the bypass in the traditional HQ tube. The set of coupled loudspeakers is also named as a sound transmission system (STS). Since the bulky bypass tube is replaced by the STS, our current design can be viewed as a compact silencer. However, we have to consider the sound transmission performance of the STS, since the wave transmission efficiency may be not as sufficient as the physical bypass. Due to the impedance mismatch between the STS and the air, we can predict that only part of sound wave can enter STS and then be transferred to the downstream duct. As a result, the sound transmission efficiency of the STS will largely determine the silencing performance.

Figure 2: Circuit representation of the Sound transmission system

The analytical model of the STS can be illustrated in the form of an equivalent circuit in Figure 2, where 𝑆 𝐷 𝑃 𝑍1 and 𝑆 𝐷 𝑃 𝑍2 are the circuit input and output, respectively. 𝑃 𝑍1 is the sound pressure at the front surface of the upstream loudspeaker. The external excitation 𝑆 𝐷 𝑃 𝑍1 causes diaphragm vibration with velocity 𝑉 𝑍1 for the upstream loudspeaker, and a voltage of 𝐵𝐿𝑉 𝑍1 is induced over the length of the coil. Therefore, there will be induced electrical current 𝑖 in the circuit and the electro-magnetic force 𝐹 1 = 𝐵𝐿𝑖 in the upstream loudspeaker. The current 𝑖 circulates the coil of downstream loudspeaker will induce the electro-magnetic force 𝐹 2 = 𝐵𝐿𝑖 . Finallly, the electro-magnetic force in the downstream loudspeaker will drive its diaphragm vibration with velocity 𝑉 𝑍2 . According to the Kirchhoff laws, the voltage balance formula in the electrical circuit formed by the twin connected loudspeakers can be given as

−  + +  = 1 2 0 e Z e Z Z i BL V Z i BL V (5) Given the interested frequency is within the first modal frequency of the diaphragm, the mechanical dynamics of the loudspeaker diaphragm can be expressed with the following linear equation [12]

 − =  1 1 Z D m Z P S BL i Z V (6) where 𝑍 𝑚 is the total mechanical impedance of the loudspeaker as mentioned before. 𝐵𝐿𝑖 (ampere force) is induced by the coil motion within the magnetic field, which prevents the movement of loudspeaker diaphragm. Similarly, the movement of the downstream loudspeaker diaphragm is governed by the following equation

−  =  2 2 Z D m Z BL i P S Z V (7) Combing above equations (5), (6) and (7) can yield the vibration velocity of the diaphragm

Ro oM c Ly M oR WHE vn. LL SP. BLi BLY. SP. . ; LR - < «i YY) et - Mechanical Part Electrical Part Mechanical Part

( ) ( ) ( )

  + −     −  

P S a Z P S a P S a P S a Z V V a Z a a Z a

+ ) = , = Z D m m Z D m Z D m Z D m m Z Z

( (8)

1 2 1 2 1 2 2 2 2 2

+ − + −

m m m m m m

where 𝑎 𝑚 = (𝐵𝐿) 2 (2𝑍 𝑒 ) ⁄ Combining Equations (6), (7) and (8) gives a set of linear equations in the matrix form

P T T P V T T V      =          

1 11 12 2

Z Z

(9)

1 21 22 2

Z Z

where 𝑇 11 = (𝑎 𝑚 + 𝑍 𝑚 ) 𝑎 𝑚 ⁄ , 𝑇 12 = 𝑍 𝑚 (𝑍 𝑚 + 2𝑎 𝑚 ) (𝑎 𝑚 𝑆 𝐷 ) ⁄ , 𝑇 21 = 𝑆 𝐷 𝑎 𝑚 ⁄ and 𝑇 22 = (𝑎 𝑚 + 𝑍 𝑚 ) 𝑎 𝑚 ⁄ . For a harmonic plane incident sound wave with amplitude 𝑃 𝑍1

+ , the sound transmission coefficient (STC) of the STS with perfect anechoic downstream condition can be calculated from following relation

P P Z Z a S c a S c S c

2

+ = =      + +          

2

(10)

Z

+2 1 1 1

  

1

Z m m m

0 0 0 0 0 0

D m D D

where 𝑍 𝑚 𝑆 𝐷 ⁄ can be viewed as the equivalent acoustic impedance rate of the diaphragm of each loudspeaker. Although the structure of the STS composed by the twin loudspeakers is simple, there are still many parameters that affect the performance of STS. From the STC formula, it can be analyzed that the STC climbs when the real part of the mechanical impedance is increased. Meanwhile, the imaginary part of the mechanical impedance should remain close to zero in the frequency range of sound transmission, where the mass and stiffness cancel each other. In other words, the diaphragm is more easily to be excited by sound waves around the resonant frequency. The remaining variables that affect the STC are 𝑎 𝑚 and 𝑆 𝐷 .

Figure 3 illustrates the effect of 𝑎 𝑚 and 𝑟 on the STC while the other conditions hold constant. The vertical axis represents 𝑎 𝑚 , and the horizontal axis indicates the radius of the diaphragm of loudspeaker. This figure shows the STC with range of 0 to 0.25. Since the value of inductance L e is rather small, it can be assumed (𝜔𝐿 𝑒 ) ≪1 in interested low-frequency range. The variable 𝑎 𝑚 represents the ratio of the inherent force factor to the DC resistance of the vioce coil and it can be approximated to (𝐵𝐿) 2 (2𝑅 𝑒 ) ⁄ . If the STC is used as the objective function, then the optimal parameters configuration appears around the slender oblique area ( 𝑟> 0.04𝑚 and 𝑎 𝑚 > 1.2 ) in Figure 3. In application, for each slected loudspeaker diaphragm radius, it need to match the optimal 𝑎 𝑚 in order to obtain the best sound transmission effect.

For the electrical impedance of loudspeaker, the force factor BL and the resistance R e are the only two parameters that affect the STC. BL is an important parameter to coulpe the electromagnetic and mechanical forces of loudspeaker. Broadly speaking, BL determines the strength of the coupling between the circuit and the mechanical part. A higher BL value will widen the band of the STS, but in turn raise 𝑎 𝑚 and hinder sound transmission.

A qualitative physical understanding is that BL can represent, to some extent, the stiffness of the connection between two loudspeakers. But the resistance of the circuit will weaken the transmission efficiency of this connection.

Figure 3: The relationship between parameters configuration and sound transmission coefficient. The shade of the legend color respesents the value of the STC. For easy comparison, the defauting

10 r | 0.25 8 02 ° ots 4 oa 0.05 ° 004 = 0.06 (0.08 sitveieeekersiien

real part of acoustic impedance in this figure is selected as 0.2Ns/m (within the pratical available

options), and the imaginary parts is set as zero.

However, the parameters of the loudspeakers are limited to the product specifications of different manufacturers and cannot be adjusted arbitrarily. For the purpose of maximizing STC, suitable woofer matching the size of the impedance tube in our lab are screened before the subsequent experimental verification. Finally, a Visaton B100-6Ohm woofer is selected, because its 𝑎 𝑚 value is between 1 and 2. The STC of this loudspeaker is within the maximum area range, as shown in red point, and its specific model parameters are listed in Table 1.

Table 1: Loudspeaker parameters of the Visaton B100-6ohm.

R M K f 0 L e R e r BL

0.5 Ns/m 3.2 g 710.6 N/m 150 Hz 0.36 mH 5.8 Ω 4.15 cm 4.1 T  m

4. SINGLE SILENCER UNIT

If the above-mentioned STS is flush-mounted on the duct wall, then the duct and STS constitute a so-called single silencer unit, as shown in Figure 1. The walls of the cabinets and the main duct are assumed to acoustically rigid enough to prevent the breakout noise. The height of the main duct is set as 𝑤 𝑑 , and the distance between two loudspeakers is 𝐿 1 . Since this paper mainly focuses on low frequency range noise control, it is assumed that the frequency is well blew the first cut-on of the rectangular duct. Thus, the transfer matrix method is adopted to investigate the acoustic performance of the silencer unit.

As discussed in section 3, the particle velocity at the diaphragm surface of the two loudspeakers can be lumped as 𝑉 𝑍1 and 𝑉 𝑍2 , respectively. Between the position U and D, the standing waves in this domain can be represented by

− − =  +  =  +  , U U D D ikx ikx ikx ikx U D P I e R e P I e R e (11) where 𝐼 and 𝑅 denote the amplitude of the travelling waves propagation in the positve and reflected direction, respectively. 𝑘= 2𝜋𝜆 ⁄ accounts for the wavenumber in the main duct. The acoustic particle velocity in the main duct around U is written as

−  −  =

U U ikx ikx

I e R e V c (12)

U

0 0

The two equations in Eq. (11) can be solved to obtain wave amplitudes in terms of 𝑃 𝑈 and 𝑃 𝐷 . Then the results are substituted into Eq. (12) to yield

   − =

cos

P P V i c (13)

U D U

sin

0 0

where 𝜃= 𝑘𝐿 1 . Similarly, the downstream particle velocity in the duct is

   − =

P P V i c (14)

cos sin

U D D

0 0

In the position around upstream loudspeaker, the conservation of volume flow yields

 =  +  1 C D Z U A V S V A V (15) where 𝑆 𝐷 𝑉 𝑍1 represents the volume flow towards the diaphragm of upstream loudspeaker. 𝑉 𝐶 and 𝐴 are the particle volecity at point C and the cross-sectional area of the main duct, respectively. For an anechoic termination, the particle voelcity around position T can be described as 𝑃 𝑇 𝜌 0 𝐶 0 ⁄ , and the conservation of volume flow at downstream yields

2 0 0 D D Z T A V S V A P c   +  =  (16) Combining Eqs. (13)-(16), the transfer matrix relationship of the single silencer unit can be obtained as

P N N P V N N V      =          

C T

11 12

(17)

C T

21 22

Therefore, the transmission loss (TL) can be expressed as

  = + +  +      

N N N c N c (18)

( )  

1 TL 20log 2

12 10 11 21 0 0 22 0 0

If the following parameters set are used, the transmission loss from plane-wave prediction can be shown as the black solid line in Figure 4.

1 =1.13m L = 0.08m d w = 0.1m b w

3 0 =1.2kg m  0 =343m s c =   0.14 0.14 0.1m V Firstly, there is an obvious speed difference between the waves transmitted through the STS and the sound propagating in the main duct. Hence, the phase difference between the main duct and the virtual bypass leads to a wave cancellation in an analogy to the first type HQ tube resonance. The transmission loss peak appears at f =150Hz, where the distance between the two loudspeakers 𝐿 1 is approximately equal to half acoustic wavelength in the main duct. It is concluded that the interference cancellation between the waves from the virtual bypass and main duct creates a type-I resonance.

Secondly, the electrodynamic loudspeaker can be modeled as a simple mass-spring system in low frequency, as discussed in section 2. Therefore, both diaphragms of the loudspeakers will be excited to vibrate by sound waves in the duct, forming a type-II resonance, which will mainly dissipate sound energy at its resonant frequency. As for the twin loudspeakers, since they have the same impedance characteristic, each impedance can be normalized by 𝑍 𝑎𝑖𝑟 = 𝜌 0 𝑐 0 𝑆 𝐷 . In addition to the role of remote energy transfer, the twin loudspeakers are also working as local resonant absorbers. Due to the dominant role of damping in resonant frequency, the peak of the STC is not high as we expected.

According to the above analysis, the distance between the two loudspeakers can be tuned to achieve the interference cancellation effect at any desired frequency. Then the peak frequency can be extremely low as long as the distance between the two loudspeakers is far enough. However, there is another crucial factor that affect the magnitude of the response of the type-I resonance. This factor is the ratio of the energy transferred in the virtual bypass and the main duct, which is quantified by the STC. As discussed in section 3, the STC behaves a single peak in certain frequency range. Therefore, if the single peak frequency of STC curve and the peak frequency of the type-I resonance are coincident, the sound reflection of the whole system will be very considerable.

Figure 4: Comparison of the theoretical predictions and FEM simulation results. The solid line is the results from plane wave model. The open-circles are predicted from finite

element method.

Generally speaking, the type-I and type-II peaks are designed to be different to each other to obtain a broader silencing performance. However, due to the heavy impedance of the STS, the response of the structure under each mechanism alone is not strong enough, which causes the acoustic reflection effect at each peak to be insufficient. Therefore, in this paper, the type-I and II resonant peaks are adjusted to overlap each other so that they can complement. Even so, the working band of a single STS unit is still narrow. In the following section, therefore, periodic arrangement of silencer units will be used to compensate for this drawback in bandwidth. 5. SERIAL ARRAY OF SILENCER UNITS

As discussed previously, the silencer introduced in this paper has obvious advantage in low frequency range, but the issue of narrow-band still exists. In this section, a periodic silencer array is established to broaden the silencer bandwidth. The silencing effect of the periodic array depends on the number of the silencer units arranged. However, a complete distance along the direction of the duct is sometimes unavailable in practical application. Only several pieces of the duct may be

available for installation. The present work therefore concentrates on the acoustic performance of a periodic array that consists of a number of silencer units distributed periodically. The transfer matrix method is used to investigate wave propagation in the duct.

The side view of the periodic silencer array is shown in Figure 5. If one silencer unit consists of one pair of connected loudspeakers and its middle segment of main duct, then this unit and the adjacent downstream duct can be defined as a cell. To enhance the silencing performance to a practical level, two identical cells are used in series together and can be viewed as a group.

Here, the periodic distance, namely the distance between two nearby silencer units is selected as 𝐿 𝑃 = 𝜆 1 2 ⁄ . 𝜆 1 is the wavelength corresponding to 200Hz in this paper. As discussed in section 4, the transfer matrix of a single silencer unit can be expressed as

N N T N N   =    

11 12

(19)

21 22 i

Then, the transfer matrix of each cell in periodic array can be derived as

( ) ( )

      =       

cos( ) sin( ) sin( ) cos( )

kL j c kL N N T j kL c kL N N

0 0 11 12

P P ui

(20)

0 0 21 22

P P

The composite matrix for in-line cells is simply the product of matrices for all cells in the order of their physical appearance. For the periodic structure shown in Figure 5, 𝑖= 1,2,3 . Then the composite matrix for periodic array is

     1 1 2 2 3 3 = u u u u u u T T T T T T T (21) Then, with the help of Eq. (18), the transmission loss of the periodic array could be obtained.

Termination

w b

P i P r w d

P L1 V L1 { }

P R1 V R1 { } P L2 V L2 { } P R2 V R2 { }

L 1

L p

2r L up

2r

Cell 1 Cell 2 Cell 6

Group A

Figure 5: Configuration of a silencer array

First, units with different silencing frequency bands are formed into a periodic array to achieve the effect of bandwidth complementarity. In order to highlight the advantages of the current device in the low frequency range, another type of low-frequency electrodynamic loudspeakers, the VISATON AL-170, is also introduced here. The parameters of the two speakers are shown in Table 2.

Table 2: Parameters of VISATON AL-170 and VISATON B100 loudspeakers

Type VISATON AL-170 B-100 Name Value Value Unit Resistance R s 0.8 0.148 Ns/m Mass M s 13 3.2 g Stiffness K s 740 710.6 N/m Resonant frequency f 0c 38 150 Hz Inductance L e 0.9 0.36 mH DC resistance R e 5.6 5.8 Ω Radius r 6 4.15 cm Force factor BL 6.9 4.1 T  m In addition to the AL-170 loudspeaker used at low frequencies, the B100 loudspeaker described above is also used for higher frequencies. The above two types of speakers are respectively composed of four units with different silencing frequency bands. The specific parameters are shown in Table 3 below. In the periodic array, the distance between each group of units remain the same, that is 𝐿 𝑃 = 0.25𝑚 .

Table 3: Detailed parameters of different units

Resonance

Back cavity

Speakers

distance Speaker

frequency

volume

Unit

model f Ⅰ (Hz) V (mm 3 ) L 1 (m) SET A 100 170  170  152 1.72 AL-170 SET B 300 120  120  29 0.572 AL-170 SET C 500 83  83  20 0.343 B100 SET D 700 83  83  10 0.245 B100 The black solid line in Figure 6 represents the transmission loss of the periodic array. The other four solid lines are the transmission losses when each unit in the periodic array works independently. When each unit works alone, they all bring good performance at their respective resonant frequencies. However, the distribution of these resonant frequencies is relatively scattered. With periodic combination, the silencing frequency bands of the four units are complementary. Both the silencing bandwidth and amplitude of the device have been enhanced, and an encouraging noise reduction effect has been achieved in the frequency range of 100~700Hz.

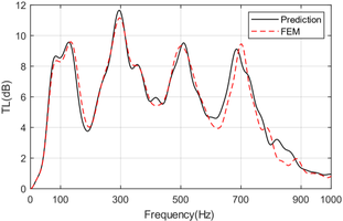
The comparison of the calculation results for the array model using 1D and 3D finite elements is shown in Figure 7. There is still a deviation in the calculation results of the two methods, and this deviation is larger than that for single silencer unit. The reason lies in the accumulation of errors caused by the inaccurate equivalent spacing of loudspeakers in the TMM method.

(sn | sera | — sere se _— To aay he (orn 000 700

Figure 6: TL results for periodic arrays

Figure 7: Comparison of 1D theoretical

prediction and FEM result. From the sound pressure distribution of above periodic array, it can be seen that the incident wave has been sufficiently suppressed by the first few units in the array. Subsequent units did not play a significant role but caused a waste of space. In view of this, multiple units with identical silencing frequency band can be formed into a group, and then groups with different silencing frequency bands can be connected in series to form a periodic array.

The first three units in Table 3 above are selected to form three groups, and each group contains two identical units, as shown in Table 4. The spacing within each unit is 𝐿 𝑃 = 0.2m .

Table 4: Detailed parameters of different units

Group Group A Group B Group C Unit SET A SETA SET B SET B SET C SET C

f Ⅰ (Hz) 100 300 500 Bandwidth

Unit

(Hz) 57-162 250-364 460-545

TL (dB) 9 9 7

Bandwidth

(Hz) 45-660

Array

TL (dB) 16 24 18 The performance of the new periodic array is shown in Figure 8. The TL of the array is roughly the envelope for the TL curves of each group in the array. Compared with the array construction described above, the performance of this array structure has obvious advantages. The array achieves satisfactory silencing effect in the frequency range within 700Hz, and has an attenuation performance of more than 5dB in the frequency range of 45~660Hz. At frequencies of 100Hz, 300Hz and 500Hz,

the TL is improved to 16dB, 24dB and 18dB, respectively. The space occupied by the array is only the volume of the backed cavities in each unit, and the total volume is 𝑉 𝑇 = 0.0178m 3 .

Figure 8: TL of periodic silencer array Figure 9: TL comparison of several different

types of silencers. On the one hand, compared to other kind of reactive silencers, this silencer has superiority in the space occupied in low frequency region. When the loudspeakers are removed, the silencer becomes an expansion chamber. Figure 9 gives the comparisons of the performance of silencers with the same volume.

From the Figure 9, it can be seen that the TL of the periodic silencers array has an obvious advantage in low frequency range over expansion chamber with same volume occupied. With the frequency band of the first attenuation lobe of the expansion chamber, the current silencer has a much higher noise reduction effect.

On the other hand, porous materials, such as glass fiber, are the backbone of traditional duct lining device and the typical functionality of porous materials can be described as its complex characteristic impedance and wave number. For the glass fiber with representative filling density of 100 kg/m 3 , Lee and Selamet gave the curve-fitted complex characteristic impedance Z p and wave number k p based on their averaged values of experiments [13] .Using this impedance, we simulated the TL of the expansion chamber filled with glass fiber and the result is shown as blue line. When the thickness of the porous materials is fixed, as the frequency increases, the ratio of thickness to wavelength becomes larger, so the curve shows a trend of linear growth. The TL curves of the porous material and the periodic array cross at frequency up to 350Hz. Below this frequency, it is still believed the performance of the periodic array surpasses that of the porous material remarkably.

In summary, it can be considered that the current silencer is a low-frequency reactive silencer. In addition, similar to the drum-like silencer, this current silencer does not introduce abrupt changes in duct cross-section, so theoretically its pressure loss will be relatively small compared to expansion chamber. Since several distributed loudspeakers are used in this silencer, these loudspeakers are only connected by wires. Therefore, the layout of current silencer is very flexible, and especially suitable for spatial arrangement of ductwork. For example, the two loudspeakers can be arranged upstream and downstream of the duct elbow to make reasonable use of the limited space. 6. CONCLUSIONS

In this paper, we proposed a reactive silencer consists of a straight tube flush-mounted with a STS. The acoustic properties of the silencer have been investigated by theoretical analysis and FEM simulations. Meanwhile, the performance of periodic silencer array is investigated. The transfer matrix method is adopted to describe the sound behavior between every two speakers, and the overall TL shows low-frequency and broadband noise attenuating effect. Some conclusions drawn in this paper are as follows.

(1) The sound transmission system can transmit sound wave efficiently at the resonance of the loudspeaker. The inherent properties of the loudspeaker are important factors that limit the STC of the system.

(2) By choosing proper design parameters, the proposed silencer can function as an efficient wave reflector in low frequency range.

(3) Combing silencer units with the same silencing band together, the effect of each unit will be improved on average. It can be considered that the current device is a low-frequency and compact reactive silencer.

7. ACKNOWLEDGEMENTS

The work described in this paper was supported by the National Natural Science Foundation of China (No. 51709058). 8. REFERENCES

1. A. Selamet, N. S. Dickey, J. M. Novak, The Herschel–Quincke tube: a theoretical, computational,

and experimental investigation, J. Acoust. Soc. Am. 96(5) (1994) 3177-3185. 2. A. Selamet, V. Easwaran, Modified Herschel-Quincke tube: Attenuation and resonance for n-duct

configuration, J. Acoust. Soc. Am. 102(1997) 164-169. 3. Z. B. Wang, et al, Noise control for a dipole sound source using micro-perforated panel housing

integrated with a Herschel–Quincke tube, Appl. Acoust. 148(2019)202-211. 4. A. Arjunan, Acoustic absorption of passive destructive interference cavities, Mater. Today

Commun.19 (2019) 68-75. 5. B. Poirier, C. Maury, J. M. Ville, The use of Herschel-Quincke tubes to improve the efficiency

of lined ducts, Appl. Acoust. 72 (2011) 78-88. 6. C. Wang, L. Huang, Investigation of a broadband duct noise control system inspired by the middle

ear mechanism. Mech. Syst. Signal Process, 31(2012) 284-297. 7. A. Fleming, et al, Control of resonant acoustic sound fields by electrical shunting of a

loudspeaker, IEEE Transactions on Control Systems Technology. 15(2007) 689-703. 8. Y. M. Zhang, L. X. Huang, Thin broadband noise absorption through acoustic reactance control

by electro-mechanical coupling without sensor, J. Acoust. Soc. Am. 135(2014)2738-2745. 9. Y. M. Zhang, C. Q Wang, Tuning of the acoustic impedance of a shunted electro-mechanical

diaphragm for a broadband sound absorber, Mech. Syst. Signal Process. 126(2019) 536-552. 10. E. John, Loudspeaker Handbook, Boston, MA, 1998. 11. R. D Ford, Electroacoustics: The analysis of transduction, and its historical background, J.

Acoust. Soc. Am, 17(1982). 12. H. Lissek, R. Boulandet, R. Fleury, Electroacoustic absorbers: Bridging the gap between shunt

loudspeakers and active sound absorption, J. Acoust. Soc. Am. 129(5)(2011)2968. 13. I. Lee, A. Selamet, N. T. Huff, Acoustic impedance of perforations in contact with fibrous

material, J. Acoust. Soc. Am. 119 (5) (2006) 2785–2797.