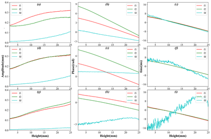
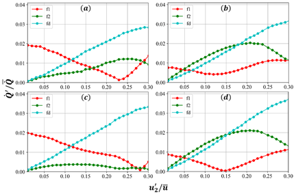
A A A Volume : 44 Part : 2 The response of a conical flame to a dual-frequency excitationJianyi Zheng 1 , Lei Li 2 , Guoqing Wang 3 , Liangliang Xu 1 ,Sirui Wang 1 , Xi Xia 1 , Fei Qi 1 1 School of Mechanical Engineering, Shanghai Jiao Tong University, 800 Dong Chuan Rd, Minhang, Shanghai, 200240, P. R. China 2 National Key Laboratory of Science and Technology on Aero-Engine Aero-thermodynamics, Research Institute of Aero-Engine, Beihang University, Beijing, 100191, P. R. China 3 King Abdullah University of Science and Technology (KAUST), CCRC, Thuwal, 23955-6900, Saudi ArabiaABSTRACT This work investigates the response of a conical premixed flame to a dual-frequency excitation, based on the integrated CH* signal collected from a photomultiplier tube (PMT), the upstream velocity disturbance measured by a hotwire, and the chemiluminescence signal captured by high-speed imaging. The results show that, in addition to the excitation frequencies, a notable flame response can also be observed at the interaction frequency, where the corresponding velocity fluctuation is relatively small. This result means that, at the interaction frequency, the velocity fluctuation contributes little to the flame response. Such interacted response generally occurs at intermediate excitation frequencies but disappears as either excitation frequency is below the cut-off frequency. And it increases linearly with the excitation amplitude, with nearly zero dependence on the phase difference. Furthermore, the flame front is extracted based on the chemiluminescence images to analyze the flame area fluctuation. The resultant phase response implies that the fluctuation of the difference frequency propagates downstream convectively, similar to that of the excitation frequencies. Interestingly, the flame area fluctuation at the difference frequency shows significant response and a low-pass characteristic, whereas the CH* fluctuation approaches zero at those low frequencies. 1. INTRDUCTIONThe resonant coupling between the unsteady combustion heat release and the acoustic system leads to combustion instabilities in aero-engines or land-use turbine combustors[1–3]. When combustion instability occurs, the flame surface is usually disturbed by acoustic waves at one fundamental, harmonic, or multiple frequencies. The periodically oscillating heat release rate in turn power the acoustic wave inducing extremely harmful large-amplitude pressure pulsations[4].The low-order acoustic network model is a general approach to analyzing and predicting the combustion instability, in which the acoustic part is described by the transfer matrix, and the flame response is generalized by a compact flame release heat model. The combustion oscillation frequency and amplitude of the system can be determined by solving the above models, which require accurate flame response characteristics at specific frequencies. Studying the unsteady heat release by exciting laminar premixed flame with loudspeakers is an effective method to investigate the interaction of acoustic waves and flames. This has prompted many experimentally[5–7] and analytically[8– 10]studies on the dynamics of laminar premixed flames under acoustic excitation. In addition, numerical simulation[11–14] can also be used to solve the problem. To accelerate the calculation, broadband signals containing a large number of frequencies are used as disturbances[15–17] in simulation, which may cause the superposition of interaction disturbances and original responses, resulting in deviations in simulation results. Besides, multiple thermoacoustic modes can coexist at the same time during combustion instability with multiple frequencies mutually synchronized[18,19]. The above problems emphasize the importance of investigating the flame response characteristics under multiple frequencies.There has been much research on flame response under single frequency excitation. The G- equation-based laminar premixed flame model has been able to predict the linear flame response under single-frequency excitation. Fleifil et al. [20] derived a first-order filter model to describe the responses of the flame to the axial acoustic disturbances in a simple Poiseuille flow. Ducruix et al. [21] extended such a model to general axisymmetric conical flames with a uniform, one-dimensional velocity excitation. Inspired by the experimental measurements[22], Schuller et al. substituted the uniform velocity excitation with a convective wave and obtained a better agreement with the experimental results[23]. Birbaud et al. then identified the propagation mode in the fresh stream based on a Strouhal number and emphasized the influence of the feedback effect of the flame front on the fresh stream dynamics[24]. Cuquel et al. investigated the influence of confinement sidewalls on the response of premixed conical flame, which helps to transpose results gathered on single burners to multiple injection configurations when the burnt gases cannot fully expand due to the presence of neighboring flames[25]. The stretch effect was reported to affect the flame speed fluctuation, which becomes comparable to that of the flame surface area and is responsible for the experimentally observed filtering effect in which the flame wrinkles developed at the flame base decay along the flame surface for large frequency disturbances[26,27]. Cuquel et al. demonstrated the important role of flame foot oscillations in controlling the saturation of the phase lag[28]. Under the excitation of a single-frequency acoustic disturbance, the experimental study also found that the flame does not always exhibit a linear response, and changing the perturbation amplitude can lead to the nonlinear response of the flame[29,30], whose non-linearity is mostly in the phase of the transfer function and manifests itself as a roughly constant phase at high forcing amplitude.Compared to flames perturbed by a single-frequency acoustic wave, flames subjected to multi- frequency forcing have received less attention. Mutual synchronization of multiple thermoacoustic oscillators interacting via dissipative and time-delayed coupling was explored experimentally in a sequential combustor by Bonciolini et al.[18] and two lean-premixed gas turbine combustors connected via a cross-talk section by Moon et al.[19]. The high harmonic response and its interaction with the fundamental frequency on dynamic pressure, heat release rate, and acoustic velocity perturbations were reported in a lean-premixed, swirl-stabilized, gas turbine combustor [24]. Moreover, the interaction of a helical mode with acoustic oscillations has been reported in a turbulent swirl-stabilized premixed flame[31]. Based on a second-order analysis of the G-equation, Moeck et al. [32] qualitatively demonstrated that, if the flame is perturbed by both helical modes and acoustic oscillations, nonlinear flame dynamics necessarily generate the observed interaction components. At present, there is insufficient research on the parameterization of laminar premixed flames excited by dual-frequency excitation, and the coupling mechanism of flame front response under dual- and multi-frequency excitations is not very clear. This further limits the development of analytical models for multi-frequency excitation flame response and their application to low-order acoustic network models.This paper firstly systematically investigates the characteristics of conical flame response under dual-frequency excitation experimentally. Section 2 depicts the experimental setup and the operating range explored, over a wide range of flow rates, amplitudes, phase differences, and flow rates. A description of the interaction response and its influence on flame is the subject of Section 3. Section 4 compares the flame front area fluctuations and heat release rate fluctuations.2. EXPERIMENTAL METHODThe conical burner is modified from a single-stage swirl burner[33,34], by removing the bluff body and swirler. The configuration features a cylindrical feeding manifold equipped with a laminarization grid and a convergent nozzle to reduce the remaining turbulent fluctuations. The inner diameter of the burner outlet equals 20 mm. The fuel and air flow rates are controlled by two mass flow meters (SevenStar CS200A), respectively.Figure 1 (a) Schematic view of the burner; (b) The mean flame image and the extracted edge (cyanline). A loudspeaker is mounted at the bottom of the burner to produce harmonic acoustic disturbances. A dual-frequency sine signal (see Equation 1) drives the loudspeaker generated by a data acquisition card (DAQ card, ART USB3155) with a sampling frequency of 250 kHz.𝐴= 𝐴 1 sin(𝜔 1 𝑡) + 𝐴 2 sin(𝜔 2 𝑡+ 𝜃) (1) where 𝜔 1 , 𝜔 2 are the two excitation angular frequencies, 𝐴 1 , 𝐴 2 are the excitation amplitudes, and 𝜃 is the phase difference between the two excitation frequencies. The mantissa of the excitation frequency in the current experiment is set to be 3 and 8 to avoid superposition of interaction frequency and excitation frequency. The interval of acoustic frequency is set at 5 Hz to obtain sufficient flame response. The harmonic velocity modulation is measured by a hotwire (Dantec MiniCTA) upstream of the burner exit, which is cooled by the water to avoid the interference of the unsteady heat release. A photomultiplier tube (Hamamatsu H10722–110) equipped with a short band pass filter (Edmund Optics 430/10 nm) records the CH* chemiluminescence emission from the flame, which is proportional to the heat release rate. The velocity and heat release rate time series are recorded simultaneously using a DAQ card (ART PCI8814) controlled by LabVIEW software with a sampling frequency of 10 kHz. The interval between signal generation and recording is set to be 1s to adequate flame development and obtain fine enough measurements. An intensified CCD camera is also used to take snapshots of the steady and perturbed flames at a rate of 1 kHz.To get a more general conclusion, acoustically excited methane/air flames with an equivalent ratio 𝜑 of 0.99 are measured under different flow rates Q 𝑏 , amplitudes 𝐴 1 , 𝐴 2 , frequencies 𝜔 1 , 𝜔 2 and phase differences 𝜃 . Detailed flame conditions are given in Table 1.Cooked water steam) Table 1 Summary of the conical flame conditions. Flame and acoustic parameters Ranges Flow rates Q 𝑏 20-40 SLM Velocity fluctuations 𝑢 1,2′ /𝑢̅ 0.01-0.3 Frequencies 𝜔 1 , 𝜔 2 13-153 Hz Phase differences 𝜃 0-2 π 3. INTERACTION RESPONSETo characterize the conical flame response, flame transfer function (FTF) is derived by measuringheat release fluctuation 𝑄 ̇ ′ /𝑄 ̇̅ and inlet velocity fluctuation 𝑢 ′ /𝑢̅ , see Equation 2.𝐹(ω, |𝑢 ′ |) = 𝑄̇ ′ 𝑄̇̅ ⁄ 𝑢 ′ 𝑢̅ ⁄ = 𝐺𝑒 𝑖𝜑 (2)Figure 2 plots the measured gain and phase of the conical flame. In accordance with the previous derivation and experimental results[23], the gain features a low-pass filter behavior before the cut-off frequency (53 Hz) where the gain reaches a minimum firstly. After the cut-off frequency, the gain shows several secondary humps with much lower amplitudes. The phase exhibits a regular increase with the frequency associated with flow perturbations convected by the mean flow. This result will be utilized as the reference to verify the influences of the additional acoustic excitation.Figure 2 Gain G (blue) and phase 𝜑 (red) of the FTF as a function of the frequency f ( Q 𝑏 = 25SLM, 𝜑 = 0.99, 𝑢 ′ 𝑢̅ ⁄ = 0.1). 3.1. Dual-frequency excitationThe conical flame is then excited with a dual-frequency harmonic signal as shown in Figure 3(a), whose frequencies are 𝑓 1 = 73Hz, 𝑓 2 = 107 Hz and amplitudes are 𝑢 1,2′ /𝑢̅ = 0.1. This modulation produces a similar curve in the measured chemiluminescence signal, see Figure 3(b), but with different amplitudes and phase delays. The Fast Fourier Transfer (FFT) is applied to convert the time- domain results to frequency-domain results. In addition to the response at the excitation frequencies, notable flame responses are observed at the interaction frequencies, especially the difference frequency( 𝑓 𝑑 = 𝑓 2 - 𝑓 1 = 34 Hz), which is even larger than the response at the second excitation frequency. Furthermore, the flame responses are observed at the sum ( 𝑓 𝑠 = 𝑓 1 + 𝑓 2 = 180 Hz) and secondary interaction frequencies (141 Hz, etc), although relatively small in magnitude. Meanwhile, the velocity fluctuations at these frequencies are relatively small, which causes the ratio of heat release fluctuation and inlet velocity fluctuation to be much greater than the measured FTF results under single-frequency excitation. This result means that, at the interaction frequency, the velocity fluctuation contributes little to the flame response.Figure 3 (a) The dual-frequency harmonic velocity signal; (b) The normalized chemiluminescence signal; (c) The normalized frequency spectrum of velocity and chemiluminescence signals ( 𝑓 1 = 73′ /𝑢̅ = 0.1). As shown in Equation 1, the dual-frequency sound modulation is controlled by five parameters: frequency 𝑓 1 , 𝑓 2 , amplitude 𝐴 1 , 𝐴 2 , and phase difference 𝜃 . The influence of these parameters is investigated with the control variable method. Considering the low-pass characteristics of conical flame and the unique experimental results described above, the responses at the excitation frequencies and difference frequency are mainly concerned in the following parts. 3.2. FrequencyHz, 𝑓 2 = 107 Hz , 𝑢 1,2Figure 4 plots the conical flame response under the dual-frequency excitation, whose frequencies are modulated at a step of 5 Hz. The frequency 𝑓 1 equals to 𝑓 2 along the diagonal, which means there is only one frequency in the excitation and the measurement result is equivalent to the FTF result. It is easy to recognize that the response at the first excitation frequency is axisymmetric to that at the second excitation frequency along the diagonal, which means that only one is worth mentioning. It can be observed from Figure 4(a) that whatever the second excitation frequency changes, the response at the first excitation frequency keeps a low-pass filter behavior and nearly collapse on a single curve as that under the single-frequency excitation. The influence of the second excitation on′ )/𝑄 ̇̅ is also plot in Figurethe flame response at the first excitation frequency (Q ̇ 1,𝑑𝑢𝑎𝑙′ −Q ̇ 1,𝑠𝑖𝑛𝑔𝑙𝑒4(d). The addition of a second frequency inhibits the original flame response in most cases, except in some cases the first frequency is at lower frequencies. On the other hand, the inhibition effect is relatively small, even less than the response at the difference frequency. The distribution of the difference frequency is depicted in Figure 4(c). Such interacted response generally occurs at intermediate excitation frequencies whose first excitation frequency is between 50 and 100 Hz, which corresponds to the secondary humps of FTF results. However, the response tends to disappear as either excitation frequency is below the cut-off frequency, where the conical flame exhibits a notable response. At intermediate excitation frequencies, the difference response shows a trend of strengthening first and then attenuating as the difference frequency gradually increases.Sas Cr a ar re gies Pa Add tes frequeney(tlz) Figure 4 The conical flame response 𝑄 ̇ ′ /𝑄 ̇̅ under the dual-frequency excitation ( 𝑢 1,2′ /𝑢̅ = 0.1): (a)at the first excitation frequency 𝑓 1 ; (b) at the second excitation frequency 𝑓 2 ; (c) at the difference frequency 𝑓 𝑑 . (d) The influence of the second excitation on the flame response at the first excitation′ )/𝑄 ̇̅ .frequency (Q ̇ 1,𝑑𝑢𝑎𝑙′ −Q ̇ 1,𝑠𝑖𝑛𝑔𝑙𝑒3.3. AmplitudeThe excitation amplitude is modulated here to investigate its effects on the conical flame response, as plotted in Figure 5. From the above section, it is learned that the first and second excitation frequencies are axisymmetric to each other. Therefore, two groups of typical conditions are selected here to adjust the excitation amplitude respectively, while keeping the other excitation amplitude unchanged. It can be observed that no matter the second frequency is higher or lower than the first frequency, the response at the first frequency is inhibited first and then enhanced with the increase of the second frequency. In some cases, see Figure 5(d), the enhanced response exceeds the initial response. On the other hand, the amplitude where inhibition is strongest is inconsistent, ranging from 0.12 to 0.28. When it comes to the second excitation frequency, it is found that the response is proportional to the amplitude when the velocity fluctuation is less than 0.10. It then becomes nonlinear and even decreases with the increase of the amplitude. However, the flame response at the difference increases linearly with the excitation amplitude regardless of how the response at the excitation frequency changes. This interacted response can be notable even when the excitation frequency response is approaching zero in Figure 5(c). These figures indicate that the response at the difference frequency is directly related to the velocity fluctuations, but nearly zero dependent on the excitation frequency response.(Hz) (Hz) 30 fiz) 10 30 008 007 0.06 008 008 003 002 oot 010 0.08 0.000 0.00 0010 Figure 5 The conical flame response under the dual-frequency excitation versus the second excitation amplitude 𝑢 2′ /𝑢̅ while 𝑢 1′ /𝑢̅ = 0.1: (a) 𝑓 1 = 73 Hz, 𝑓 2 = 93 Hz; (b) 𝑓 1 = 93 Hz, 𝑓 2 = 73 Hz; (c) 𝑓 1 = 73 Hz, 𝑓 2 = 103 Hz; (d) 𝑓 1 = 103 Hz, 𝑓 2 = 73 Hz. 3.4. Phase differenceFigure 6 depicts the conical flame response under the dual-frequency excitation as a function of the phase difference with a step size of 𝜋10 ⁄ . Two conditions are selected here to investigate the influence, whose response keeps constant during the change of phase difference, whether at the excitation frequencies or the difference frequency. It can be concluded that the flame response is independent of the phase difference of the dual excitation frequency.“Se @ “re ® "Sows 00 ois ah 03s aw ame olo ais ok a's 010 eae ial © oe =e @ w/aFigure 6 The conical flame response under the dual-frequency excitation as a function of the phase′ /𝑢̅ = 0.1): (a) 𝑓 1 = 73 Hz, 𝑓 2 = 93 Hz; (b) 𝑓 1 = 73 Hz, 𝑓 2 = 103 Hz. 3.5. Flow ratedifference 𝜃 ( 𝑢 1,2The measured flame responses are further studied for different inlet flow rates while keeping other parameters constant, see Figure 7. The FTF under single-frequency excitation is measured first. It is worth noting that, for different flow rates, the FTF gain curves collapse on a single curve until the cut-off frequency, except in the very-low-frequency range where the FTF exhibits a higher gain for larger flow rates, and in the high-frequency range where the location of the second minimum of the gain curve changes and the FTF also exhibits a higher gain for larger flow rates. This variation trend is consistent with the theoretical solution derived from previous studies[23]. Same as the above results in the variable frequency experiment, with the increase of the difference frequency, the response‘Phase difference @ (rad) oan fa) == 0 | oof) =a "Sooo ot s 0s byaeoneeneseetveeteetecesenes 0015 amplitude first increases and then decreases, no matter how the flow rate changes. The variation trend of its amplitude with flow rate is consistent with that of single-frequency excitation, which increases with flow rate. Although not obvious, the rate of gain growth decreases with increasing flow rate. This may be due to the decrease in flame angle variation as the flow rate increases.Figure 7 (a) Gain of the FTF as a function of the frequency f ; (b) The difference frequency response as a function of the difference frequency 𝑓 𝑑 while the mass flow rate is changed from 20′ /𝑢̅ = 0.1). 4. FLAME IMAGESSLM to 40 SLM ( 𝑓 1 = 73 Hz, 𝑢 1,2The line-of-sight images of the perturbed flames ( Q 𝑏 = 25 SLM, 𝜑 = 0.99) are captured by a high-speed intensified CCD camera. Figure 8 presents the typical images for several flow conditions. The specific procedure used for flame surface location is now discussed. First, the data is smoothed with a spatial low-pass filter. A predefined threshold level, which is less than 40% of the maximum chemiluminescence intensity, is used to extract the height of the flame. Then the flame edge is defined as the point where the intensity reaches the maximum in a row below the height. Note that two flame edges are extracted, associated with the right and left flame branches. This process is repeated for all rows in a single image and again for all images in a time series for every axial location, as shown in Figure 9(a). These time-domain data are also converted into the frequency domain at each axial location by conducting FFT, which feature the interaction characteristic, see Figure 9(b).@ = msi aut be a *aate)Figure 8 The images of instantaneous flame images and the extracted edges (cyan lines) at variousconditions: (a) the single-frequency excitation 𝑓 = 78 Hz; (b) the dual-frequency excitation 𝑓 1 = 78 Hz, 𝑓 2 = 113 Hz.Figure 9 (a) Time series of flame position at height of y = 20 mm; (b) Corresponding spectrum withstrong response at 78, 113 Hz excitation frequencies and 35, 191 Hz interaction frequencies. Typical characteristics of flame-front position (both amplitude and phase), under the dual- frequency excitation, are shown in Figure 10. Three typical conditions are selected here. The excitation frequencies of the above two conditions are larger than the cut-off frequency, with large and small phase difference frequencies respectively. And the third one’s are in the low-frequency region below the cut-off frequency. For the excitation frequencies, the flame front has a strong response at the flame root and increases with the height, while the response at the difference frequency increases gradually from 0. This result confirms the previous conclusion[32] that the velocity fluctuation contributes little to the flame response at the difference frequency. On the other hand, the phase change along the flame front is also extracted and then divided by the angular frequency to obtain the time required for fluctuations to travel from upstream to downstream. It can be observed that the three time curves can collapse on each other after adjusting the phase and decrease linearly with the height. This means that no matter the difference frequency, its response propagates downstream convectively, consistent with the excitation frequency response. A completely different response can be observed when the excitation frequencies are below the cut-off frequency in Figure 10(g, h, i). While the flame-front fluctuations at the excitation frequencies have the same order of magnitude, the interacted response is nearly neglectable and its phase not only does not decline but first presents the upward trend. This phenomenon indicates that the interacted response cannot be generated when either excitation frequency is below the cut-off frequency.o m0 8 ad e ee gE & —s (ww) apmyidive asuodsas s8p33 ba Ss r g 3 3 g z (wu)uopeso} 98pq awelyFigure 10 Flame front response amplitude (a, d, g), phase (b, e, h), and transport time (c, f, i) under the dual-frequency excitation as a function of height. (a, b, c) 𝑓 1 = 78 Hz, 𝑓 2 = 113 Hz; (d, e, f) 𝑓 1= 78 Hz, 𝑓 2 = 83 Hz; (g, h, i) 𝑓 1 = 18 Hz, 𝑓 2 = 23 Hz. The red, green, and cyan lines represent the first excitation frequency response, the second excitation frequency response, and the differencefrequency response, respectively. Since the flame edges can be extracted from each image, the area of the flame can be calculated and generate a time series. At this moment, FTF can be calculated by the ratio of flame area fluctuation and inlet velocity fluctuation, which is plotted by the blue line in Figure 11(a) and compared with that calculated by the CH* signal. It can be seen that the calculation results are consistent until the cut-off frequency, although there are some differences. When exceeding the cutoff frequency, the amplitude is only half, but the location of the second minimum of the gain curve is offset. This may be due to the increasing contribution from the stretch-affected flame speed fluctuation at high frequency[27].The spectra of the normalized CH* chemiluminescence signal and the normalized flame area fluctuations under the dual-frequency excitation, whose second excitation frequency is modulated, are plotted in Figure 11(b) and (c). Consistent with the single frequency excitation results, the response at excitation frequencies of the CH* signal is only half of that of area fluctuation. There are great differences in response at the difference frequency. The PMT results exhibit a rising trend from zero first and then falling, which is depicted more clearly in Figure 7(b). However, the area results characterize a low-pass filter, decreasing with the increasing difference frequency. Besides, the difference is more than ten times at 5 Hz, which is beyond the scope of influence of the stretch- affected flame speed fluctuation mentioned above. This may be due to the fluctuation of laminar flame speed under dual-frequency excitation. Relevant work will be carried out on this phenomenon in future work.Figure 11 (a) Comparison between the FTF Gain calculated by the CH* signal and the flame area fluctuations; (b) Spectrum of the normalized CH* signal and (c) Spectrum of the normalized flamearea fluctuations while keeping the first excitation frequency constant 𝑓 1 = 83 Hz and modulatingthe second excitation frequency. The red and blue lines represent the amplitude of the CH*chemiluminescence signal and the flame area fluctuations at the difference frequency. 5. CONCLUSIONThe response of a conical premixed flame to a dual-frequency excitation is studied by modulating flow rates, amplitudes, frequencies, and phase differences. The integrated CH* signal collected from a photomultiplier tube (PMT), the upstream velocity disturbance measured by a hotwire, and the chemiluminescence signal captured by high-speed imaging are combined to investigate the phenomenon. It is observed that, in addition to the excitation frequencies, a notable flame response can also be observed at the interaction frequency, whose corresponding velocity fluctuation is relatively small. This result means that, at the interaction frequency, the velocity fluctuation contributes little to the flame response.Such interacted response generally occurs at intermediate excitation frequencies but disappears as either excitation frequency is below the cut-off frequency. And it increases linearly with the excitation amplitude. On the other hand, the response at the first excitation frequency is inhibited first and enhanced later with the increase of the second excitation frequency, whose response exhibits a nonlinear characteristic. The response at both the excitation and interaction frequencies shows nearly zero dependence on the phase difference. As the flow rate increases, the response at the difference frequency exhibits an increasing trend, consistent with the FTF results at the second hump.Furthermore, the flame front is extracted based on the chemiluminescence images to analyze the flame area fluctuation. The resultant phase response implies that the fluctuation of the difference frequency propagates downstream convectively, similar to that of the excitation frequencies. Besides, it also confirms the previous conclusion that the interaction response disappears when either of the excitation frequencies is below the cutoff frequency. Interestingly, the flame area fluctuation at the difference frequency shows significant response and a low-pass characteristic, whereas the CH* fluctuation approaches zero at those low frequencies.6. REFERENCES[1] T.C. Lieuwen, V. Yang, eds., Combustion instabilities in gas turbine engines: operationalexperience, fundamental mechanisms and modeling, American Institute of Aeronautics and Astronautics, Reston, VA, 2005. [2] G. Staffelbach, L.Y.M. Gicquel, G. Boudier, T. Poinsot, Large Eddy Simulation of self excitedazimuthal modes in annular combustors, Proc. Combust. Inst. 32, 2909–2916 (2009). [3] J. O’Connor, V. Acharya, T. Lieuwen, Transverse combustion instabilities: Acoustic, fluidmechanic, and flame processes, Prog. Energy Combust. Sci. 49, 1–39 (2015). [4] J.W.S.B. Rayleigh, The theory of sound, Macmillan, 1896. [5] K.T. Kim, J.G. Lee, B.D. Quay, D.A. Santavicca, Spatially distributed flame transfer functionsfor predicting combustion dynamics in lean premixed gas turbine combustors, Combust. Flame. 157, 1718–1730 (2010). [6] R. Gaudron, M. Gatti, C. Mirat, T. Schuller, Impact of the injector size on the transfer functionsof premixed laminar conical flames, Combust. Flame. 179, 138–153 (2017). [7] N. Karimi, Response of a conical, laminar premixed flame to low amplitude acoustic forcing –A comparison between experiment and kinematic theories, Energy. 78, 490–500 (2014). [8] S. Candel, Combustion dynamics and control: progress and challenges, Proc. Combust. Inst. 29,1–28 (2002). [9] S. Ducruix, T. Schuller, D. Durox, S. Candel, Combustion Dynamics and Instabilities:Elementary Coupling and Driving Mechanisms, J. Propuls. Power. 19, 722–734 (2003). [10] T. Lieuwen, Modeling Premixed Combustion-Acoustic Wave Interactions: A Review, J. Propuls.Power. 19, 765–781 (2003). [11] F.F. Grinstein, C. Fureby, LES studies of the flow in a swirl gas combustor, Proc. Combust. Inst.30, 1791–1798 (2005). [12] P. Iudiciani, C. Duwig, Large eddy simulation of the sensitivity of vortex breakdown and flamestabilisation to axial forcing, Flow Turbul. Combust. 86, 639–666 (2011). [13] J. Li, Y. Xia, A.S. Morgans, X. Han, Numerical prediction of combustion instability limit cycleoscillations for a combustor with a long flame, Combust. Flame. 185, 28–43 (2017). [14] A. Orchini, M.P. Juniper, Linear stability and adjoint sensitivity analysis of thermoacousticnetworks with premixed flames, Combust. Flame. 165, 97–108 (2016). [15] L. Tay Wo Chong, T. Komarek, R. Kaess, S. Fo¨ller, W. Polifke, Identification of Flame TransferFunctions From LES of a Premixed Swirl Burner, in: Vol. 2 Combust. Fuels Emiss. Parts B, ASMEDC, Glasgow, UK, 2010: pp. 623–635. [16] A. Huber, W. Polifke, Dynamics of practical premixed flames, part I: model structure andidentification, Int. J. Spray Combust. Dyn. 1, 199–228 (2009). [17] A. Huber, W. Polifke, Dynamics of practical premixed flames, part II: identification andinterpretation of CFD data, Int. J. Spray Combust. Dyn. 1, 229–249 (2009). [18] G. Bonciolini, N. Noiray, Synchronization of thermoacoustic modes in sequential combustors,J. Eng. Gas Turbines Power. 141, (2019). [19] K. Moon, Y. Guan, L.K. Li, K.T. Kim, Mutual synchronization of two flame-driventhermoacoustic oscillators: Dissipative and time-delayed coupling effects, Chaos Interdiscip. J. Nonlinear Sci. 30, 023110 (2020). [20] M. Fleifil, A.M. Annaswamy, Z.A. Ghoneim, A.F. Ghoniem, Response of a Laminar PremixedFlame to Flow Oscillations: A Kinematic Model and Thermoacoustic Instability Results, 24 (1996). [21] S. Ducruix, D. Durox, S. Candel, Theoretical and experimental determinations of the transferfunction of a laminar premixed flame, Proc. Combust. Inst. 28, 765–773 (2000). [22] T. Schuller, S. Ducruix, D. Durox, S. Candel, Modeling tools for the prediction of premixedflame transfer functions, Proc. Combust. Inst. 29, 107–113 (2002). [23] T. Schuller, D. Durox, S. Candel, A unified model for the prediction of laminar flame transferfunctions, Combust. Flame. 134, 21–34 (2003). [24] A.L. Birbaud, D. Durox, S. Candel, Upstream flow dynamics of a laminar premixed conicalflame submitted to acoustic modulations, Combust. Flame. 146, 541–552 (2006). [25] A. Cuquel, D. Durox, T. Schuller, Scaling the flame transfer function of confined premixedconical flames, Proc. Combust. Inst. 34, 1007–1014 (2013). [26] Preetham, S.K. Thumuluru, H. Santosh, T. Lieuwen, Linear Response of Laminar PremixedFlames to Flow Oscillations: Unsteady Stretch Effects, J. Propuls. Power. 26, 524–532 (2010). [27] H.Y. Wang, C.K. Law, T. Lieuwen, Linear response of stretch-affected premixed flames to flowoscillations, Combust. Flame. 156, 889–895 (2009). [28] A. Cuquel, D. Durox, T. Schuller, Impact of flame base dynamics on the non-linear frequencyresponse of conical flames, Comptes Rendus Mécanique. 341, 171–180 (2013). [29] D. Durox, T. Schuller, N. Noiray, S. Candel, Experimental analysis of nonlinear flame transferfunctions for different flame geometries, Proc. Combust. Inst. 32, 1391–1398 (2009). [30] N. Karimi, M.J. Brear, S.-H. Jin, J.P. Monty, Linear and non-linear forced response of a conical,ducted, laminar premixed flame, Combust. Flame. 156, 2201–2212 (2009). [31] A.M. Steinberg, I. Boxx, M. Stöhr, C.D. Carter, W. Meier, Flow–flame interactions causingacoustically coupled heat release fluctuations in a thermo-acoustically unstable gas turbine model combustor, Combust. Flame. 157, 2250–2266 (2010). [32] J.P. Moeck, J.-F. Bourgouin, D. Durox, T. Schuller, S. Candel, Nonlinear interaction between aprecessing vortex core and acoustic oscillations in a turbulent swirling flame, Combust. Flame. 159, 2650–2668 (2012). [33] G. Wang, J. Zheng, L. Li, X. Liu, F. Qi, Relationship of gain and phase in the transfer functionof swirling flames, Proc. Combust. Inst. S1540748920303965 (2020). [34] G. Wang, X. Liu, S. Wang, L. Li, F. Qi, Experimental investigation of entropy waves generatedfrom acoustically excited premixed swirling flame, Combust. Flame. 204, 85–102 (2019). Previous Paper 579 of 808 Next