Welcome to the new IOA website! Please reset your password to access your account.

Turbulent scattering in upwardly refracting atmospheres : towards a practical approach Timothy Van Renterghem 1 Ghent University Department of Information Technology, WAVES Research Group Technologiepark 126, B 9052 Gent-Zwijnaarde, Belgium Kirill Horoshenkov 2 University of Sheffield, Department of Mechanical Engineering, Sheffield S1 3JD, UK

ABSTRACT Neglecting turbulent scattering when modeling sound propagation in an upwardly refracting atmosphere leads to the prediction of unrealistically low sound pressure levels. Engineering models then typically impose a distance independent constant value for the sound pressure level relative to free field propagation. However, such an approach neglects the strong temporal variability in the sound pressure level observed in the acoustic shadow zone due to the scattering phenomenon. A modeling framework is presented to account for the effect of such scattering contributions, showing that the level variations might be as large as 20 dB in such zones. An approach to feed the model with the necessary turbulence input data is discussed as well. The engineering type scattering model further shows to be in line with more advanced but highly time-consuming predictions of outdoor sound propagation in upwardly refracting and scattering atmospheric boundary layers. This work contributes to more accurately predicting long-term sound pressure levels outdoors, also in situations where low levels might be of interest, e.g. near wind turbines.

1. INTRODUCTION

In the case of an upwardly refracting atmosphere, a so-called acoustic shadow zone is formed at some distance from the sound source [1][2][3]. There, contributions from that source become very limited. Besides some diffraction into the shadow zone, also turbulent scattering plays a role. The acoustic energy received due to scattering on the atmospheric turbulence is typically small, but such contributions do become relevant in these very low exposure zones. Note that both diffraction and turbulent scattering are strongly frequency and distance dependent, making its modeling challenging. Neglecting turbulent scattering in the acoustic shadow zone leads to unrealistic low sound pressure levels, or sound pressure level distributions get extremely long tails [4]. To avoid this, engineering models typically impose a fixed and frequency independent minimum level, relative to free field sound propagation. A value that is often used is -20 dB relative to free field [1]; a similar limit can

1 timothy.vanrenterghem@ugent.be 2 k.horoshenkov@sheffield.ac.uk

be found e.g. in ISO9613-2 [5] or CNOSSOS [6] when predicting the noise shielding by a diffracting device. However, such an approach neglects the temporal variability in the level that might be observed in sthe acoustic shadow zone. Here the atmospheric boundary layer can be either strongly or weakly scattering. A scattering model that does include distance, sound frequency and scattering degree has been proposed before [7], and was included in the Harmonoise outdoor sound propagation model to correct predictions neglecting turbulence [8]:

, (1)

where is sound frequency, is the source-receiver separation, and is a measure of the turbulence strength. The latter is a combination of the

and

, the turbulence structure parameters for temperature and velocity:

, (2)

with and the temperature and sound speed at ground level, respectively. Finally, the sound pressure level prediction relative to free field, neglecting turbulent scattering, should be added with the scattering contribution expressed in Equation (1):

(3)

In this work, this model has been analyzed by comparing to more advanced wave-based predictions where turbulent scattering is directly modeled. In addition, quantifying the “scattering strength” is not straightforward. Standard observations by meteorological stations, and even meteo towers, typically do not provide the necessary information. A methodology has been presented here to account for the temporal variation in scattered contributions by the atmosphere. 2. METHODOLOGY

In this work, meteorological tower data was used to describe the refractive state of the atmospheric boundary layer. A linear-logarithmic effective sound speed c eff profile is well suited to fit on such measured air temperature and wind speed data at multiple heights:

, (4)

with z being the height and z 0 the aerodynamic roughness height. More information on the processing can be found in Ref. [9]. Based solely on temperature and wind speed profiles, estimating the turbulent state of the atmosphere would be at least unreliable. Therefore, the ERA5 database [10] was consulted, providing hourly estimates of a wide range of atmospheric parameters, allowing to estimate the local turbulence strength. This so-called re-analysis data is available at a 30 km by 30 km resolution. The data point closest to the tower was selected, ensuring the link between the (fitted) sound speed profile and the turbulence parameters. The surface heat flux Q H , surface temperature T s and friction velocity u * were retrieved from that database. These parameters allow calculating the Monin-Obhukov length L MO :

, (5)

where is the gravitational acceleration (9.81 m/s 2 ), is the heat capacity of air at constant pressure (1000 J/kg), is the density of air (1.2 kg/m 3 ), and the von Karman constant for air (0.4). The temperature scale can be calculated as follows:

(6)

and related length scale , using following empirical expressions [2]:

In the atmospheric surface layer, air temperature fluctuations can be described by its variance

(7)

(8)

In case of shear dominated surface layer turbulence, the variance of the horizontal component of the wind speed

and its length scale can be approached as follows [2]:

(9)

. (10)

In a final step, Kolmogorov’s statistical representation of a turbulent atmosphere in the inertial subrange is used [2]:

(11)

(12)

where denotes the gamma function. The inertial subrange is most relevant for turbulent scattering of acoustic waves [1][2]. Equations (11) and (12) need inputs from Equations (7)-(10). A calculation of the turbulence structure parameters for temperature and velocity allow for estimating the turbulence strength parameter as in Equation (2). 3. EXAMPLE CALCULATION

As example predictions, two moments were selected with a similar and strong upwardly refracting atmosphere, but with contrasting turbulent strengths. Simulations were performed with the Green’s Function Parabolic Equation (GFPE) method, accounting for refraction by an effective sound speed profile and interaction with an acoustically hard ground (rocky terrain) [4]. In Figures 1 and 2, simulation results are shown for a wide range of 1/3 octave bands, both neglecting and correcting for turbulent scattering using the procedure presented in Section 2.

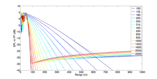
Figure 1: The sound pressure level, relative to free field sound propagation, in an upward refraction atmosphere, predicted for the 1/3 octave bands with centre frequencies from 100 Hz to 2500 Hz, for a source and and receiver both at 2 m above hard ground. Solid lines neglect turbulent scattering, dashed lines are predictions corrected for strong turbulent scattering using Equations (1)-(3) ( and ).

‘SPL re FF (dB) ‘500 Fange (m)

Figure 2: The sound pressure level, relative to free field sound propagation, in an upward refraction atmosphere, predicted for the 1/3 octave bands with centre frequencies from 100 Hz to 2500 Hz, for a source and and receiver both at 2 m above hard ground. Solid lines neglect turbulent scattering, dashed lines are predictions corrected for weak turbulent scattering using Equations (1)-(3) ( and ).

Diffraction of sound into the acoustic shadow zone is included in all predictions in this wave-based modelling approach. This becomes clear at very low sound frequencies, where there is a very gradual transition between the directly insonified zone, close to the source, and the shadow zone further away. At higher frequency bands, diffraction plays much less role and the transition is more abrupt. However, these higher frequencies are then influenced to a much larger extent by turbulent scattering, already at short range. The difference between a strong and weakly scattering atmosphere then easily amounts up to 20 dB in the deep acoustic shadow zone.

‘SPL re FF (dB) 500 Fange (m)

4. VALIDATION

To validate the simplified scattering model, sound propagation through 30 realizations of the turbulent atmosphere is modeled with GFPE, using the same refractive state and turbulence characteristics. This “frozen turbulence” approach can serve as a reference simulation for the 2 selected cases. Note that such modeling involves a high computational cost.

Figure 3: See Figure 1, but now with explicitly calculating 30 turbulent realizations (strong turbulent scattering).

oor eee 8 33 $ (ap) 44 3 1dS

Figure 4: See Figure 2, but now with explicitly calculating 30 turbulent realizations (weak turbulent scattering). When comparing Figures 1 and 3, and Figures 2 and 4, a good qualitative resemblance of the effect of turbulent scattering in function of sound frequency, range and turbulence strength can be observed. Especially sound propagation under strong turbulence and upward refraction is well modeled by Equations (1)-(3). The weakly turbulent state, however, shows a stronger spectral dependency in the reference solution.

SPL re FF (6B) 400 500 Range (m)

5. CONCLUSIONS AND LIMITATIONS

In this paper, a methodology is presented to correct predictions for turbulent scattering using an (advanced) engineering type scattering model. A practical approach to feed the model with the necessary turbulence input data is discussed as well. A validation exercise with a directional wave sound propagation model, by explicitly modeling turbulent realization, shows that most phenomena of scattering into the acoustic shadow zone formed by an upwardly refracting atmosphere are well captured, especially in case of strong turbulence. Note that sound pressure levels in such acoustic shadow zones are typically low. Nevertheless, for some applications, e.g. for wind turbine noise exposure assessment, such low levels might still be relevant and turbulent scattering should be included in long-distance sound propagation. Some care is needed since the turbulence model and empirical formulae used in this work might not be generally applicable to any turbulent atmosphere. Among others, homogeneous and isotropic turbulence is assumed which is a condition that is typically violated in real-life atmospheric boundary layers. 6. ACKNOWLEDGEMENTS

We gratefully acknowledge the suggestions provided by Dr. Ostashev while setting up the methodology described in this paper. 7. REFERENCES

1. Salomons E. Computational Atmospheric Acoustics. Kluwer, Dordrecht, The Netherlands,

2001. 2. Ostashev V., Wilson D. Acoustics in Moving Inhomogeneous Media (second edition). CRC

Press, Taylor and Francis, Boca Raton, London, 2016. 3. Attenborough K., Van Renterghem T. Predicting outdoor sound (second edition). CRC Press,

Taylor and Francis, Boca Raton, Oxon, 2021. 4. Van Renterghem T., Horoshenkov K., Parry J., Williams D. Statistical analysis of sound level

predictions in refracting and turbulent atmospheres. Applied Acoustics, 185, 108426, 2022. 5. ISO 9613-2, 1996. Acoustics – Attenuation of Sound during Propagation Outdoors – Part 2.

International Organization for Standardization, Geneva, Switzerland. 6. Kephalopoulos S., Paviotti M., Anfosso-Lédée F. Common noise assessment methods in Europe

(CNOSSOS-EU). Publications office of the European Union, 2012. 7. Forssén J. Influence of Atmospheric Turbulence on Sound Reduction by a Thin, Hard Screen: A

Parameter Study Using the Sound Scattering Cross-section. Proceedings of the Long Range Sound Propagation Symposium, Jackson, USA, 1998. 8. van Maercke D., Defrance J. Development of an Analytical Model for Outdoor Sound

Propagation Within the Harmonoise Project. Acta Acustica united with Acustica, 93, 201-212, 2007. 9. Van Renterghem T., Botteldooren D. Variability due to short-distance favorable sound

propagation and its consequences for immission assessment. Journal of the Acoustical Society of America 143, 3406–17, 2018. 10. ERA5 database : https://www.ecmwf.int/en/forecasts/datasets/reanalysis-datasets/era5.