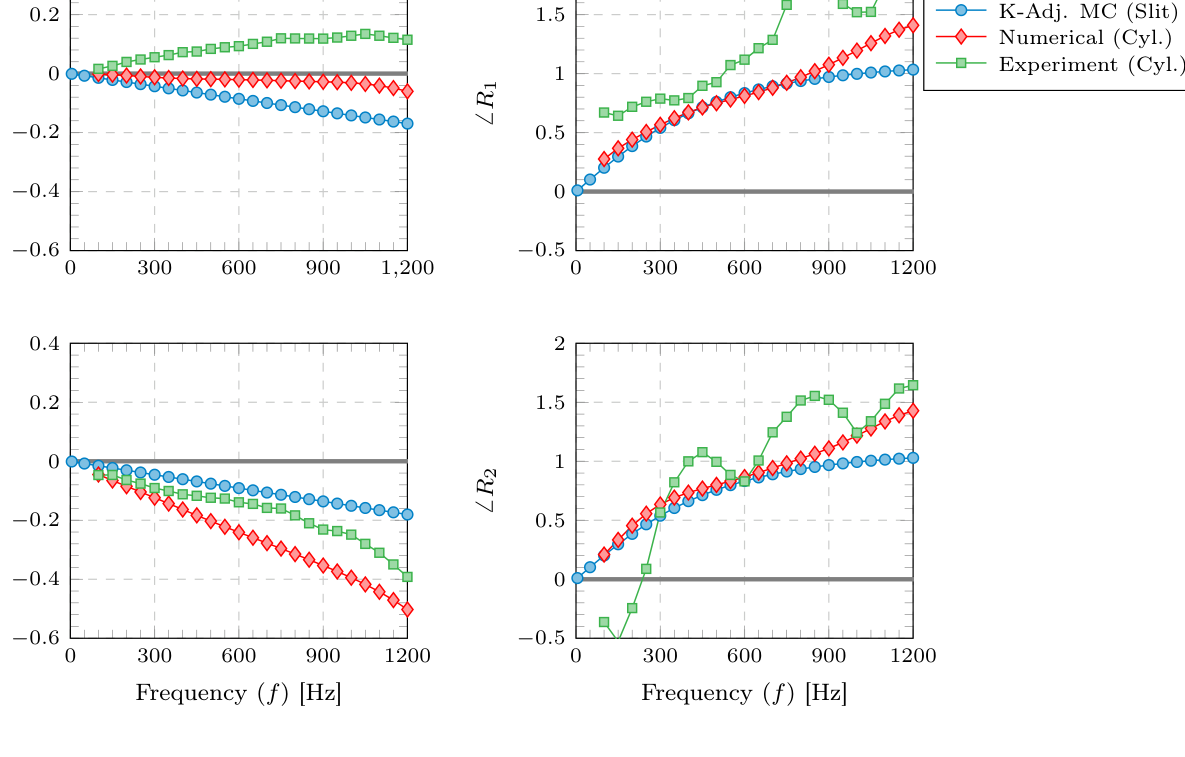
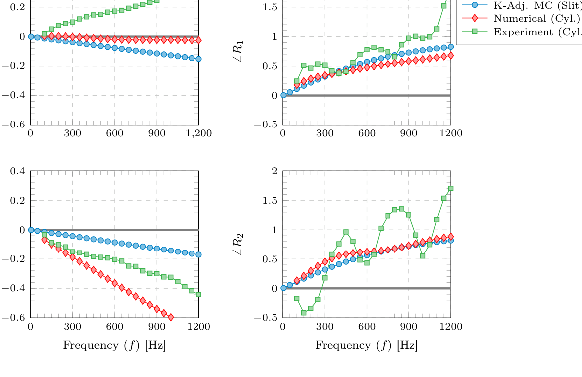
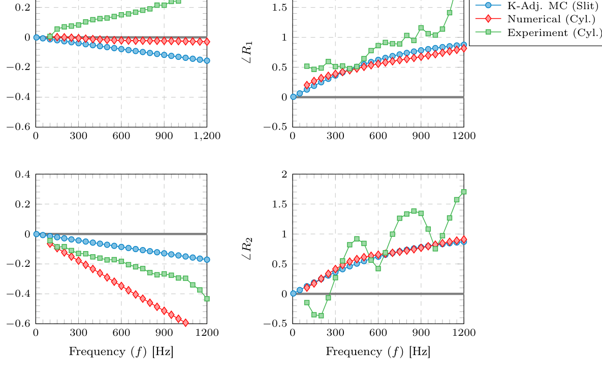
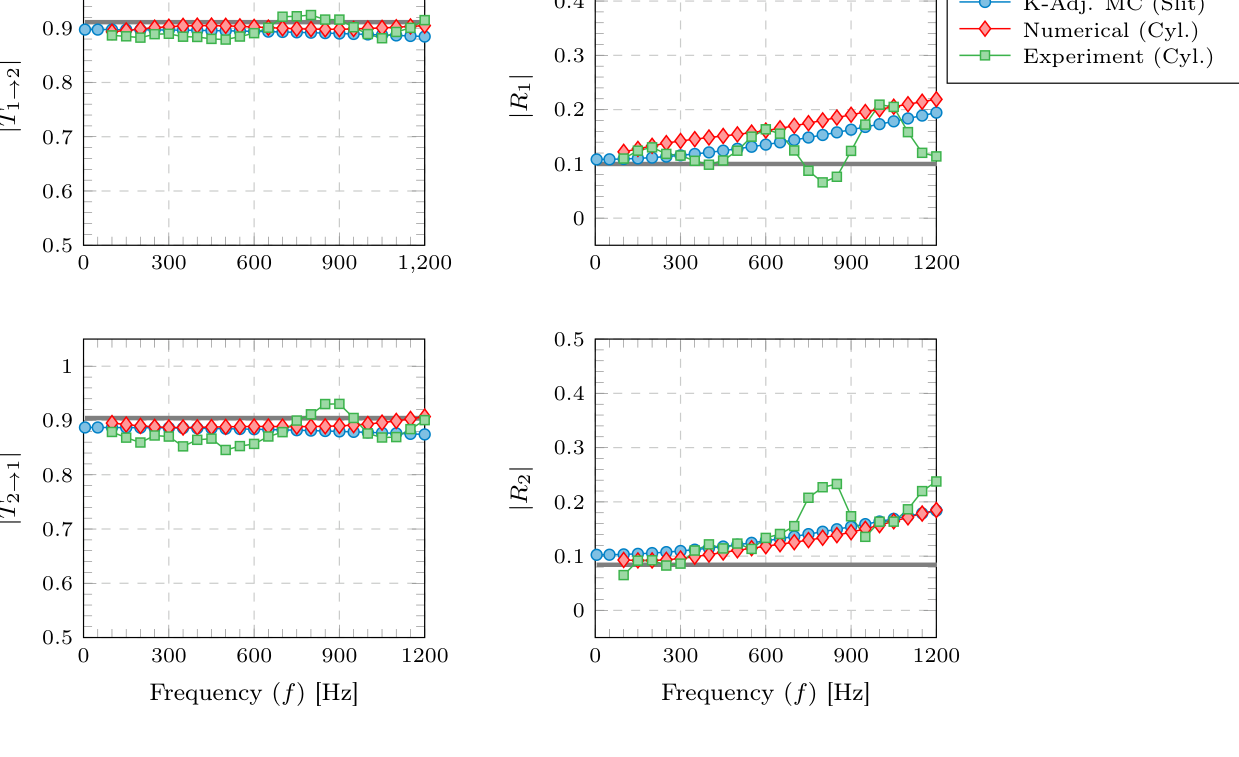
A A A Volume : 44 Part : 2 Adapting a slit model to determine the aeroacoustic response of tube rowsAswathy Surendran Department of Engineering Physics and Computation, Technical University of Munich, 85747 Garching, Germany School of Chemical and Physical Sciences, Keele University, Sta ff ordshire ST5 5BG, United KingdomWei Na Department of Mechanics and Maritime Sciences, Chalmers University of Technology, SE-41296 Gothenburg, SwedenCharles Boakes Department of Mechanical Engineering, Imperial College London, London SW7 2AZ, United KingdomDong Yang Department of Mechanics and Aerospace Engineering, Southern University of Science and Technology, Shenzhen, 518055, PR ChinaAimee S. Morgans 1Department of Mechanical Engineering, Imperial College London, London SW7 2AZ, United KingdomSusann Boij KTH Royal Institute of Technology, Marcus Wallenberg laboratory for Sound and Vibration Research, Dept. of Engineering Mechanics, SE-10044, Stockholm, SwedenABSTRACT Cylindrical tubes in cross-flow, like the ones found in heat exchangers, are excellent acoustic dampers and as such have the potential to mitigate thermoacoustic instabilities. Flow separation and vortex shedding downstream of the tube row are key to significantly enhancing sound attenuation. However, constructing an analytical solution for the aeroacoustic response of tube rows in cross-flow is very challenging owing to the complex flow structure, vortex shedding and coupling with acoustics. To overcome this, we propose the adaptation of a slit model for tube row acoustic scattering (aeroacoustic response) predictions at low Strouhal numbers. The slit model was modified such that the loss coe ffi cients across the slit and the tube row matches. The model is then validated against1 a.morgans@imperial.ac.uka slaty. inter.noise 21-24 AUGUST SCOTTISH EVENT CAMPUS O ¥, ? GLASGOW numerical predictions using Linearised Navier Stokes Equations and experimental measurements. The predictions for both magnitude and phase for transmission and reflection coe ffi cients agree well with the simulations and experiments.1. INTRODUCTIONHeat exchangers, much like flames, can influence the thermoacoustic behaviour of combustion systems like domestic boilers and industrial furnaces [1–3]. Thermoacoustic instability occurs when a positive feedback loop is established between the acoustic fluctuations and the unsteady heat release / absorption rates, and is characterised by large amplitude low frequency self-excited pressure fluctuations. When unchecked, these fluctuations can grow in amplitude leading to catastrophic consequences. In combustion units with heat exchangers, the thermoacoustic contribution is in the form of unsteady heat transfer fluctuations as well as acoustic scattering or damping at the tube rows. In the absence of mean flow, the acoustic damping at the tube row is mostly due to the viscous e ff ects and thereby is normally quite small at low frequencies that are relevant to thermoacoustics [4, 5]. However, in the presence of mean flow, the flow separation and the vortex shedding downstream of the tube row are key to significantly enhancing sound attenuation [6].Typically, heat exchanger tubes have circular cross-section. There are very few aeroacoustic models that describe the acoustic scattering at cylindrical tube rows in cross-flow. Though the Quasi-steady model developed by Surendran et al. [7] predicts the scattering behaviour of tube rows for low Strouhal and low Mach number flows, it lacks information on the frequency dependence and phase change across the tube row. To overcome this, we propose to adapt the existing Modified Cummings slit model [8] and ‘adjust’ it such that the scattering behaviour at the slits mimic that of a tube row. When the acoustic wavelength greatly exceeds the tube diameter (acoustically compact tube row), the tube row in cross-flow arrangement can be approximated to thin plates of rectangular cross-section that are separated by rectangular gaps, thereby giving an appearance of “slits” to oncoming flow. There is extensive literature on the aeroacoustic scattering of slits and perforated plates [9]. In combustion systems undergoing thermoacoustic instabilities, usage of slits in cross-flow have shown e ff ective damping or stabilising influence [8,10].The structure of the paper is as follows: in Section 2, we describe the acoustic models that exist in literature namely the Quasi-steady model (Section 2.1) and the modified Cummings model (Section 2.2). The proposed model is described in Section 3 while the validations along with discussions are provided in Section 4. Finally, we conclude the paper with Section 5.2. EXISTING ACOUSTIC MODELSIn this section, we briefly explain the existing models that are considered to develop the adapted slit model. These models are the Quasi-steady model for a tube row in cross-flow [7] and the Modified Cummings model developed for thin slits [8].2.1. Quasi-steady model In order to model the acoustic scattering in an array of circular tubes in cross-flow, we consider the geometry shown in Figure 1. The geometry consists of two half cylinders (or tubes) of diameter d , separated by a duct height h d . The gap height at the throat is denoted by h g and the open-area ratio η is defined as η = h g / h d . The bias flow velocity at the throat (gap velocity) is given by u g and the jet height downstream of the cylinder (after separation) is assumed to have a height h j . Through the method of image sources, it can be argued that such an arrangement will su ffi ce for an array of cylinders.Figure 1: Schematic for the flow domain in the Quasi-steady cylinder modelAs the name suggests, in the quasi-steady model, the unsteady terms in the conservation equations are neglected. It is assumed that the time-dependent acoustic perturbations of the flow are su ffi ciently slow and can be treated as quasi-steady [11]. This assumption is valid for small Strouhal numbers ( S t QS = fr / u g ) and small Helmholtz numbers ( He = 2 π fd / c ), where f is the frequency in Hz, r is the radius of the tube and c is the speed of sound. Small He requires the tube row to be compact i.e., the acoustic wavelength is assumed to be much larger than the tube diameter. Furthermore, it is also assumed that the acoustic wavelength greatly exceeds the mixing zone downstream of the tube row, leading to no phase changes for the acoustic scattering properties across the tube row.The description of the quasi-steady model can be found in Surendran et al. [7] and the readers are advised to refer to the same for further details. For the sake of completeness, the relevant conservation equations are provided below. The flow domain in the quasi-steady model is divided into three regions: regions 1 (upstream of the cylinders), j (contains the cylinders, the jet and the mixing region) and 2 (downstream of the cylinders). The flow is assumed to isentropic and irrotational between regions 1 and j . Therefore, conservation of mass and energy can be applied here, yielding Equations 1-3, where the variables ρ , p and γ denote the density, pressure and ratio of specific heats respectively, while the subscripts indicate the corresponding regions.h d ρ 1 u 1 = h j ρ j u j continuity (1) 1 2 u 2 1 + γ γ − 1 p 1 ρ 1 = 12 u 2 j + γ γ − 1 p j ρ j