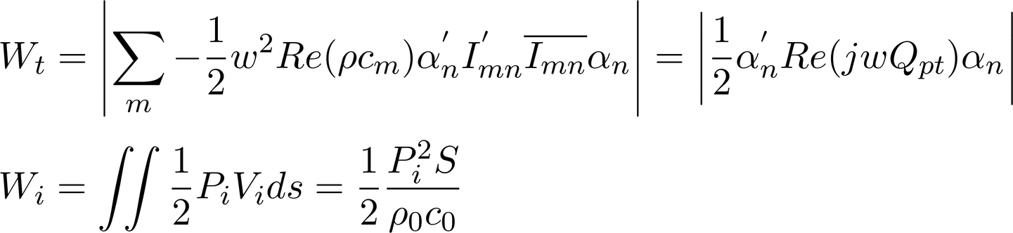
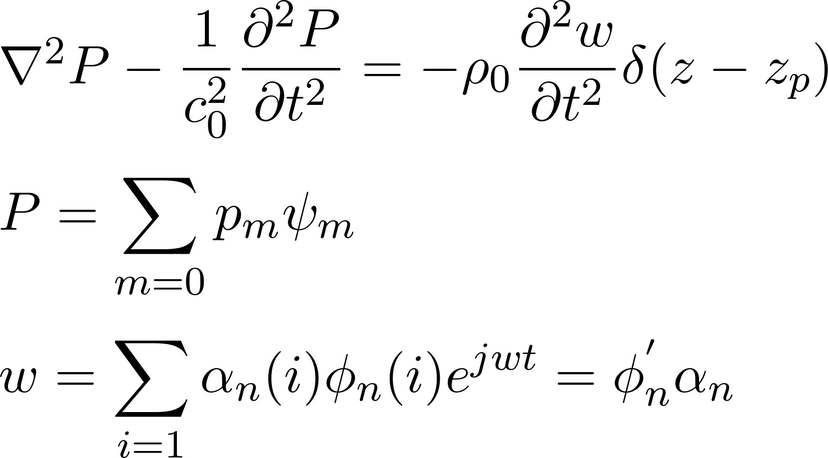
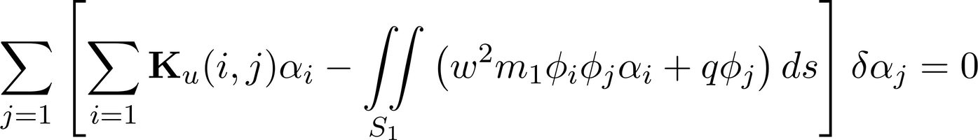
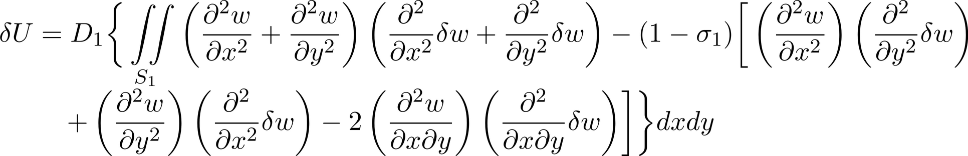
A A A Volume : 44 Part : 2 Vibration and acoustic radiation control of a panel attached to piezoe- lectric shunt oscillators Yongyuan Zhang 1 1.Key Laboratory of Noise and Vibration Research, Institute of Acoustics, Chinese Academy of Sciences, No. 21 North 4th Ring Road, Haidian District, Beijing 100190, China; 2.University of Chinese Academy of Sciences, Beijing 100049, China Daoqing Chang 2 1.Key Laboratory of Noise and Vibration Research, Institute of Acoustics, Chinese Academy of Sciences, No. 21 North 4th Ring Road, Haidian District, Beijing 100190, China; 2.University of Chinese Academy of Sciences, Beijing 100049, ChinaABSTRACT In this work, the vibration of a single-panel attached with piezoelectric shunt oscillators (PAPS) and its acoustic radiation are modeled theoretically. The vibration equations are derived based on the principle of minimum potential energy and acoustic impedance of PAPS. The sound absorption coefficient (SAC), energy loss coefficient (ELC), and transmission loss(TL) of PAPS are calculated based on the acoustic impedance and displacement response of PAPS. Then theoretical results are compared with those of finite element simulation, and the results are relatively consistent. Finally, sound absorption and isolation experiments of PAPS at non-eigenfrequency near (1,1) modal are conducted in a standing wave tube.1. INTRODUCTIONIt is well known that most of the noise affecting people's daily life comes from the vibration of structures, while flexible structures are the main part of the sound source and propagation path. Single-panel system is a common model of flexible structures in real life such as windows or exte- rior barriers of automobiles, and it is a foundation to study double-panel system, flexible cavity sys- tem and so on. Further study about the theoretical modeling, experiments and regulation rules of single-panel system's sound absorption and sound isolation is realistic demand.Medium and high frequency sound absorption and sound insulation of single-panel system can be solved by traditional means, such as acoustic cotton, acoustic tip split, foam metal, sound insula- tion walls and passive vibration isolators, etc .However, vibroacoustic control of traditional means are facing challenges of poor effect or good effect with high cost at low frequencies. In recent years, low-frequency passive acoustic structures and low-frequency acoustic metamaterial, have received considerable attention and achieved lots of theoretical and experimental results. Among them, Pie- zoelectric Shunt Oscillator (PSO) is widely used in passive and semi-active control of flexible1 969677926@qq.com2 changdq@mail.ioa.ac.cninter.noise SCOTTISH EVENT CAMPUS ? O ? ? structures, due to its high electromechanical coupling coefficients, robustness, effectiveness and adjustability at low frequencies[1-4].A single-panel system attached with piezoelectric shunt oscillator (PAPS) can be effectively controlled by adjusting the circuit parameters at low frequencies. There have been many researches about theory and experiments of single-panel attached to piezoelectric shunt oscillator(PAPS). As for sound absorption, Kim J combined PAPS with sound-absorbing material to achieve noise con- trol in a wide frequency band for plate structures [5]. Zhao and Kim J investigated physical parame- ters' effects on the acoustic radiation of PAPS [6].Liu studied the reflection coefficient of a cavity whose bottom is composed of PAPS [7]. Chang studied the sound absorption coefficient of PAPS backed by a rigid cavity[8].Numerical calculation and experimental verification were given after- wards[9].Moreover, Chang studied the SAC of a structure composed of a micro-perforated plate, a rigid cavity and a PAPS, which has two sound absorption peaks [10]. Gardonio proposed a broad- band circuit parameter control algorithm based on monitoring the current magnitude in the piezoe- lectric shunt circuit[11]. As for sound insulation, Aboelsooud established a finite element numerical model of PAPS and used PSO to control the vibration of an aluminum panel[12]. Later Chen inves- tigated the modeling method, frequency characteristics, and electromechanical coupling characteris- tics of piezoelectric network panels[13]. Zhang investigated the TL of PAPS using equivalent me- dium method and finite element simulation[14].It can be seen that the PAPS can be used for both low-frequency sound absorption and low- frequency sound insulation. The difference is mainly in the selection of shunt impedance, which can affect the electromechanical stiffness and damping of PAPS caused by piezoelectric effect. So in this work, a precise vibroacoustic vibration equation is established to numerically study the TL, SAC and ELC of PAPS. Then FEM and experiment results are compared with theoretical results and the regulation rules of PAPS at non-eigenfrequency are studied.inter.noise SCOTTISH EVENT CAMPUS ? O ? ?2. Theoretical Modeling of PAPS2.1. Vibration equations of PAPSIn this chapter, the vibration equations of PAPS is first derived. The host panel, which is solid- supported at all the four edges, is rectangular as well as the rigid waveguide. The PSO is pasted at the center of panel to control the frequencies near (1,1) modal on both sides (two sheets) or one side(one sheet). The material of PSO is PZT-5H, while the host panel is resin. The vibroacoustic model of PAPS is given in Fig. 1 as below:Figure 1: Vibroacoustic Model of PAPSNon Reflection Interface Piezoelectric Sheet ee Host Panel \\ Rigid Cavity Non Reflection Interface inter.noise SCOTTISH EVENT CAMPUS ? O ? ?6U = DX >, K,,(4, J )ajda; j=1 i=1In Fig. 1,is a pure plane acoustic wave formed in the rigid waveguide below its cut-off frequen- cy, and thus forces PAPS to vibrate and generate transmission sound.is the scattered sound while is the radiated sound. The bottom of the rigid waveguide is a none-reflection interface as well as the top, letting2h. A4 2h. A424. 2h. A4d.- 2h. AO“ dd: i) =P fl oar oat * OP OO; | (FH FG) | bi 9S; x2 Ox? Oy? dy? Ox? Oy? Oy? Ox? Oo; Pb; OxOy OxOy Si +2(1 — 01)andtransport freely without a second reflection. Since both the host plate and the piezoelectric sheets satisfy the dimensional ratio of thin plates, their behavior can be equated to bending vibration on the premise of small deflection. Thus Kirch- hoff theory of thin plates can be used to convert the three-dimensional strain energy density of PAPS into two-dimensional by integrating it in z direction, which is then integrated over the whole plate to obtain the strain energy variationwf |(v?m (Sos) +4) (5S o.0} fae» » Kul (i ,j)o |p W 2m gidjaa + q;) “ Ja; = = 0 j=l i=1. The expression of strain energy variationis:(1)K,,(i,j) — w°Mi)o; = |] qdjds (jf = 1,2,3,...n) D | 1) /| JThe strain energy of the host panel and piezoelectric sheets should be calculated separately because their physical parameters, proportion and location are different. The kinetic energy variation can be calculated in the same way [13]. The displacement response of PAPS can be expanded in terms of normal vibration modals of clamped thin plates, that is,, whereis the modal dis- placement column vector,is the modal shape function column vector. So the strain energy varia- tion has another form:, while the expression of matrixis:Qe(7) = // qoj;ds j = (1, 2,3,...n) Sy(2)After obtaining the variation of strain energy, kinetic energy and external force energy of PAPS, the variational equation can be derived by using the principle of minimum potential energy:(3)The time integration step has be omitted because the study is about steady-state periodic vibration. The above equation can be further deformed as below:(4)Due to the arbitrariness of the, it can be deduced that:(5)This system of linear equations can be expressed in matrix form. The expression of the external forceis:(6)w= Lf (Get og) (ante ae) — 90] Caer) (a, «(2 (Zoe) 2 (22) (2 50) hanIn the above equation,which represents the sum of the generalized ex- ternal forces acting on the panel surface.is the equivalent force of PSO.is the applied me-i W = An, inter.noise SCOTTISH EVENT CAMPUS ? O ? ?chanical force on the PAPS such as dynamic vibration absorber, but it is 0 here since the model is mainly about the vibration of PSO under acoustic wave incidence. The expansion ofis :C) nt(7)In Eq. (7),is the expansion of the k-th PSO's force, whileis the inherent capacitance of the k-th PSO.10°P Ow 5 aa apo P= 2 Prin w=) An (i (ijt = b,,On V2Pis the shunt circuit impedance which usually consists of resistance, inductor and neg- ative capacitor.is electromechanical coupling matrix between PSO and clamped panel[15]. The external forces are expanded respectively and then substituted back to equation (5), then the vibration equation of PAPS is finally derived, in which the only unknown quantities are the com- plex amplitudes of each normal modal:(8)Q) 4Next the acoustic impedance matrix in Eq. (8) is calculated in 2.2.2.2. Acoustic impedance and vibroacoustic characteristicsIn Equation 8, the expansion ofis reflection impedance matrix, while the expansion ofis radiating impedance matrix. The exact value of them can be calculated from the linear acoustic equations:1 / 7 —__ S- Zw Re(pem)&nZmntmnon m Wi = 5 On 1, ; = Be Re(jwQpt)an(9)In Eq. (9), the expressionis the sound pressure of the m-th modal of rigid waveguide, whileis the shape function of it. The expression of,andcanthus be calculated.Since the factor matrix in Equation 8 has been all calculated, then the transmission loss of PAPS can be calculated based on the radiating impedance and displacement response:TL = olyPr = Pi— )_ Pmrtbm m(10)JWLsh Fe = F.4 = AppA,,p———"—— k=1In Eq. (10),is the radiating power of PAPS, whileis the incident power of, so the trans-mission loss. As for SAC and ELC of PAPS, it can be derived from Equation 9 thatscattered sound, velocity, then SAC and ELC can becalculated using the same method as Eq. (10).So in conclusion, the vibroacoustic characteristics of PAPS, including TL, SAC and ELC, have been calculated based on the displacement of PAPS and sound impedance between PAPS and sound field. So next it is verified by the results of FEM and used to find basic rules when the non- eigenfrequency is to be controlled.(K,, oa w'M, + jwB, + S- Fe, — Qopr + Qpt)Qn = Qn: k=1 inter.noise SCOTTISH EVENT CAMPUS ? O ? ?3. FEM and Experiment results of PAPS3.1. FEM model and resultsThe model of PAPS in finite element simulation is the same as Figure 1, while the physical pa- rameters of resin panel in PAPS are listed in Table 1 : Parameter Length Width Thickness Density Young m o d ulu sPoisson R a t i oLoss factor Value 170 130 0.5 1800 42 0.38 0.01 Unit mm Mm Mm kg/m 3 Gpa 1 1 Table 1: Physical parameters of host panel The material of piezoelectric sheets is PZT-5H, and it s physi ca l p ara met e r s are l i st ed i n Table 2: Parameter Length Width Thickness Density Young m o d ulu sPoisson R a t i oLoss factor Value 45 45 0.5 7500 68.9 0.4 0.005 Unit mm Mm Mm kg/m 3 Gpa 1 1 Table 2: Physical parameters of PZT-5H sheet In fact, the real boundary condition of piezoelectric sheets pasted on a clamped panel is neither constant stress nor constant strain rate, which has been verified by simulation and experiments. So we choose the electric parameters of PZT-5H closer to those of constant strain rate, that is, piezoe- lectric stress constantE39equals to -6.5 C/m 2 while dielectric constantequals to 2.4E-8 F/m. The comparison of TL, SAC and ELC of PAPS between FEM and theoretical results are in Fig. 2:TL/dB 100 80 60 40 20 50 100 150 —+— TL (FEM) ——TL (Theory) 200 250 300 350 400 450 500 Frequency/Hz(a) (b)Value 0.8 0.6 0.4 0.2 100 150 200 250 3 —+— SAC (FEM) ——-SAC (Theory) ELC (FEM) —— ELC (Theory) (00 350 400 450 500 Frequency/HzTL/dB 70 —+— TL (FEM) L (Theory) 75 80 85 90 95 Frequency/Hz 100(c) (d)Figure 2: The TL, SAC and ELC of PAPS. Fig. (a) and (b): without control; (c) and (d): con-trolled near 85HzValue 70 —t+— SAC (FEM) —— SAC (Theory) ELC (FEM) ——— ELC (Theory) 75 80 85 90 95 Frequency/Hz In Fig. 2, we choose the uncontrolled and 85Hz as examples. The inductor in each shunt is 4.9H, while negative capacitor(-120nF) and resistance (50Ω) are in series with it. It can be seen that the theoretical results are consistent with FEM results, which verifies the correctness of theoret- ical model. PAPS can form a TL peak at certain frequency and bandwidth, while a SAC and ELC peak are formed near the bandwidth. What's more, the value of inductor needed to form TL peak at 85Hz would become 5.9H if only one shunt is in use, while the TL peak would decrease by 5dB. Since FEM results have been compared with theory and two basic peaks have been verified, then the sound absorption and isolation experiments of PAPS at non-eigenfrequency near (1,1) modal are conducted in a standing wave tube to further study the control effect of PAPS.inter.noise SCOTTISH EVENT CAMPUS ? O ? ?3.2. Experiment resultsThe experiments of the sound absorption and isolation performance of PAPS are carried out to study the vibroacoustic characteristics and control rules of PAPS at low frequencies. The sound ab- sorption coefficient and transmission loss are measured simultaneously using the four-microphone method in a standing-wave tube. The experimental facilities are shown in Fig. 3:Power amplifier , ~ Processor(a): Overall experiment equipment (b) PAPSFigure 3: The experimental facilities The real size of host panel in PAPS is 220mm in length and 180mm in width. However, the periph- eral part is fixed by eight G-frames, hence the actual vibrating part is approximated as 170mm in length and 130mm in width., which is the same as parameters in section 3.1. The results of two modes with different shunt parameters at 85Hz are shown in Fig. 4:TL/dB —s— Controlled —e— Without control Frequency/Hz(a): TL mode (b) SAC modeFigure 4: The control results near 85Hz In Fig. 4(b), SAC-C means the sound absorption coefficient controlled by PSO, while SAC-W means the SAC without control. It is shown in Fig. 4 that PSO in series with negative capacitor can form a TL peak or SAC peak at 85Hz, which is non-eigenfrequency. The maximum TL is 27dB and the bandwidth of more TL is at least 5Hz. The maximum SAC is 0.8 at 85Hz, while the maximum82 83 84 Frequency/Hz ELC is 0.4, which means roughly 40% of incident sound power is transmitted. In conclusion, PAPS can be adjusted to TL mode or SAC mode at non-eigenfrequency, plus its effect is obvious.Then the frequency band near PAPS's (1,1) modal, ranging from 60Hz to 210Hz, are divided into 15 groups at intervals of 10Hz. A high SPL narrow band noise of each group is generated, while each group is represented by its center frequency, for example, the TL peak or SAC peak is adjusted at 85 Hz and the results of it represent the bandwidth ranging 80~90Hz. The results are shown in Figure 5:inter.noise SCOTTISH EVENT CAMPUS ? O ? ?Figure 5: The overall control results ranging 60~200Hz In Fig. 5, the TL peak at each group is adjusted by keeping the negative capacitor (-120nF) and changing the value of inductor. The SAC peak is also adjusted by the same way. However, it is difficult to accurately control the total resistance in shunt circuits, for the actual negative capacitor has generated a negative resistance which is influenced by frequency. In that case, the resistance of TL mode ranges roughly from 50~100Ω, while the resistance of SAC mode roughly ranges from 200~300Ω. It can be seen from Fig. 5 that PAPS can be adjusted to TL mode or SAC mode at non- eigenfrequency to have a better vibroacoustic performance. The farther is target frequency to be controlled from the eigenfrequency of PAPS's dominant modal, the weaker regulation performance of PSO becomes, and vice versa.4. CONCLUSIONSIn this paper, the theoretical model of PAPS shunted with negative capacitor and inductor in se- ries is derived, while the SAC, ELC, TL and vibration response of PAPS could thus be calculated. Then FEM and experiment results are compared with theoretical results, which verify the correct- ness of theoretical model. The regulation rules of PAPS at non-eigenfrequency is also studied. The main conclusions are as follows:—t— Controlled ——— Without control — 0 65 75 85 95 105 115 125 135 145 155 165 175 185 195 205 Frequency/Hz(1) PAPS can be adjusted to two basic regulation modes: TL mode and SAC mode. TL mode has more transmission loss, while SAC mode has more sound absorption and energy loss coeffi- cient.(2) PAPS can be adjusted to TL mode or SAC mode at non-eigenfrequency by adjusting the value of inductor. The farther is target frequency to be controlled from the eigenfrequency of PAPS's dominant modal, the weaker regulation performance of PSO becomes, and vice versa.(3) The amplitude of TL, SAC or ELC is mainly influenced by the resistance in shunt circuits. More TL can be realized by less resistance, but more SAC and ELC need a optimal value of re- sistance. TL mode and SAC mode occur simultaneously at the frequency bandwidth close to each other like a dynamic vibration absorber.Value 0 65 75 85 95 105 115 125 135 145 155 165 175 185 195 205 Frequency/Hz 5. ACKNOWLEDGEMENTSThis work is supported by the Key research and development program of Hunan Province (Grant No. 2022WK2013). 6. REFERENCES1. Robert L. Forward. Electronic damping of vibrations in optical structures[J]. Applied Optics,18(5), 1979. 2. Bailey T & Hubbard J E. Distributed Piezoelectric-Polymer Active Vibration Control of a Can-tilever Beam[J]. Journal of Guidance Control and Dynamics, 8(5), 605-611 (1984). 3. Hagood N W & Flotow A V . Damping of structural vibrations with piezoelectric materials andpassive electrical networks[J]. Journal of Sound Vibration, 146(2), 243-268 (1991). 4. Vidoli S & Dell"Isola F . Vibration control in plates by uniformly distributed PZT actuators in-terconnected via electric networks[J]. European Journal of Mechanics, A/Solids, 20(3), 435-456 (2001). 5. Kim J & Lee J K. Broadband transmission noise reduction of smart panels featuring piezoelec-tric shunt circuits and sound-absorbing material.[J]. Journal of the Acoustical Society of Ameri- ca, 112(1), 990-998 (2002). 6. Zhao L J, Kim H S & Kim J . Noise Reduction Using Smart Panel with Shunt Circuit[J]. AIAAJournal, 45(1), 79-89 (2007). 7. Liu F, Horowitz S & Nishida T, et al. A multiple degree of freedom electromechanical Helm-holtz resonator[J]. The Journal of the Acoustical Society of America, 122(1), 291-301(2007). 8. Chang D & Liu B , et al. Sound absorption characteristics of a thin plate with PZT shunted withpassive electrical circuit I. Theoretical analysis[J]. Chinese Journal of Acoustics, 29(02), 120- 132 (2010). 9. Chang D & Liu B , et al. Sound absorption characteristics of a thin plate with PZT shunted withpassive electrical circuit Ⅱ . Experimental analysis[J]. Chinese Journal of Acoustics, 29(02), 133-140 (2010). 10. Chang D , Liu B & Li X. An electromechanical low frequency panel sound absorber[J]. Journalof the Acoustical Society of America, 128(2), 639 (2010). 11. Gardonio P, Zientek M & Bo L D. Panel with self-tuning shunted piezoelectric patches forbroadband flexural vibration control[J]. Mechanical systems and signal processing, 134(Dec.1), 106299.1-106299.23 (2019). 12. Aboelsooud M T. Vibration control of plates using periodically distributed shunted piezoelectricpatches, 2003. 13. Chen S, Wang G & Wen J, et al. Wave propagation and attenuation in plates with periodic ar-rays of shunted piezo-patches[J]. Journal of Sound and Vibration, 332(6), 1520---1532 (2013). 14. Zhang H, Yong X & Wen J, et al. Ultra-thin smart acoustic metasurface for low-frequencysound insulation[J]. Applied Physics Letters, 108(14), 1734 (2016). 15. Pietrzko S & Mao Q. Control of Structural Sound Radiation and Vibration Using Shunt Piezoe-lectric Materials[J]. Solid State Phenomena, 147-149, 882-889 (2009).inter.noise SCOTTISH EVENT CAMPUS ? O ? ? Previous Paper 502 of 808 Next