Welcome to the new IOA website! Please reset your password to access your account.

Accurate reconstruction of an interface point mobility matrix using the round-trip method

Ramin McGee 1 , Andrew Elliott 2 , Joshua Meggitt 3

University of Salford The Crescent, Salford, M5 4WT

John Smith 4

University of Exeter Stocker Road, Exeter, EX4 4PY

ABSTRACT The round-trip method enables the indirect determination of point mobilities along interfaces that cannot be easily excited. One embodiment of the method requires excitation at a subset of points either side of the interface, while responses are measured along it. This is typically done by instrumented hammer or shaker. In the present paper, we investigate the sensitivity of the round-trip method with respect to the number of remote measurement positions used, and the geometry of the structure. Numerical and experimental examples are provided which demonstrate that there exists an optimum number of excitation and response positions for the accurate reproduction of point FRFs.

1. INTRODUCTION

The primary focus of this paper is to investigate the most optimum round-trip prediction of a point mobility matrix along a discretised interface. This is explored for a plate by altering two factors: the number of measurement degrees-of-freedom (DoFs), and the geometry of the plate. It was stated by [1] that the number of measurement points along an interface a ff ects the accuracy of the interface point mobility prediction. This study will show how this doesn’t appear to be the case, and reveal the sensitivities of the round-trip prediction. In Section 2 the background behind the round-trip method is presented. Section 3 displays the results of the round-trip prediction through the tests mentioned for finite-element (FE) and experimental models. Section 4 will discuss what the results from both models show about the round-trip prediction. Lastly, Section 5 concludes the findings of the investigation.

1 r.c.mcgee@edu.salford.ac.uk

2 a.s.Elliott@salford.ac.uk

3 j.w.r.meggitt1@salford.ac.uk

4 J.Smith4@exeter.ac.uk

1

a slaty. inter.noise 21-24 AUGUST SCOTTISH EVENT CAMPUS O ¥, ? GLASGOW

2. BACKGROUND

2.1. Round-trip method The round-trip method proposed by [2] constructs an M × M FRF matrix at an interface without needing an applied force at each measurement point. This technique replicates point FRFs at the interface by utilising remote measurement locations which are easier to access. In the past there have been successful attempts at reconstructing this matrix by measuring the responses at all M positions and applying one excitation at only of those points. [1] outlines how those previous methods are subject to error and presents a new method based o ff the "cavity equation" by [3]. Namely the method is a generalised version of the equation where the time reversed response at a ’receiver’ sub-structure due to an excitation at a ’source’ sub-structure, is expressed via convolution of impulse responses at both points across a virtual interface.

(a) Diagram of an arbitrary structure divided into two substructures, A and B , by an interface c .

(b) Diagram specifying the order and path of the measured FRFs in the round-trip method.

Figure 1: Round-trip theory in illustrative form for an arbitrary structure made up of two sub-domains due to a discretised interface.

Considering an arbitrary structure such as Fig.1a, we have two sub-domains A and B with multiple measurement positions in a given area of each, named as a and b . The interface c is also a multi- point measurement location, dividing the structure into two sub-domains. Firstly lets define an FRF between the sets of points a and b , given as Y ab . This is referred to as the reconstructed transfer mobility, relating a response at a and excitation at b . The reconstructed transfer mobility equation as presented by [1] is a rearrangement of the indirect measurement of mobility at the interface as proposed by [2]. This is referred to as the reconstructed point mobility, and is denoted Y cc as shown in Eq.1. It represents an FRF matrix of all positions at the interface c , due to three measured FRF matrices which are denoted in Eq.1 and represented in Fig.1b. It is clear from this figure why the method is termed ’round-trip’. The point mobility in Eq.1 applies to linear systems (as well as time invariant ones). Eq.2 represents the same equation that satisfies Maxwell-Betti reciprocal theorem.

Y cc = Y cb Y − 1 ab Y ac (1)

(Equally by reciprocity)

Y cc = Y T cc = Y ca Y − 1 ba Y T cb (2)

2

3. RESULTS

In this section we present results from finite-element and experimental examples using the round-trip method. In the first subsection the accuracy of the interface point mobility prediction is analysed against the direct measurement by a number of tests for an FE model. These test comprise of: changing the number of remote and interface DoFs, and the aspect ratio of the plate model. In the final subsection, an experimental example is presented. An error plot along with a direct vs. round-trip calculation is presented for comparison to be discussed in Section 4.

3.1. FE Model A finite-element model representing a steel plate is constructed in which the structural responses are calculated via modal summation. Firstly, a regular grid of discretised points are formed on the surface. Similarly to Fig.1a, Fig.2a shows how the FE model’s grid is divided into two remote sub-domains A and B , due to an interface c .

(c) 20 a and 40 b points on the regular grid for remote positions.

(a) All discretised points of a regular grid.

(b) Randomly selected single remote points from regular grid.

Figure 2: FE diagram of steel plate, divided into substructures A and B , divided by an interface c .

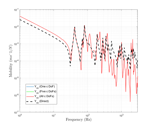
3.1.1 Accuracy due to the number of DoFs included

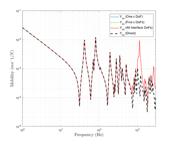
Fig.3a, Fig.3b, and Fig.3c correspond to the sub-figures in Fig.2 respectively. All results within Fig.3 show the reconstructed point mobility is not sensitive to the number of interface positions used. Only one result is visible because all prediction scenarios where the interface DoFs are changed are stacked on one another. In Fig.3a all remote positions are included in calculating the reconstructed point mobility and appears identical (up to 1kHz) to the direct interface point mobility. For Fig.3b a random DoF within A and B was selected, and indicates a rather inaccurate result over all of the frequency range. However it should be noted that numerous resonances are accounted for in this prediction. Lastly Fig.3c shows a prediction where 20 DoFs within A and 40 within B are selected. For the vast majority of the frequency range the prediction shows good agreement to the direct measurement, and in some respects performs better than the case where all remote DoFs are accounted for in Fig.3a over the full frequency range. Fig.3c shows a more accurate prediction after 1kHz while Fig.3a performs better between 1Hz-1kHz, an identical result to the direct measurement. It is clear from all sub-figures in Fig.3 the reconstructed interface point mobility is una ff ected by the number of interface DoFs, but sensitive to the number of remote DoFs accounted for.

3

Mobility (ms~1/N) —Y,,, (One a & 6 DoF) =, , (Thy a & b DoF) ——¥,, (Alla & b DoF) = -Y,, Dire) 10? Frequency (Hz) 10°

(a) Changing number of interface c DoFs, while including all a and b positions.

(b) Changing number of interface c DoFs, while including only one a and b position.

(c) Changing number of interface c DoFs, while including 20 a and 40 b positions.

Figure 3: Round-trip derived interface point mobility when c DoFs are changed.

Mobility (ms~1/N) 10" 10? 10° 104 108 108 —Y,,, (One b DoF) 107 —Y,, (Thirty b DoFs) _Y,, (Alb DoF s) = = Y,. (irect) 10° 108 10 10! 10? 0 Frequency (Hz)

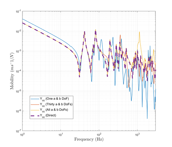
In the next set of sub-figures within Fig.4 the prediction is observed for when both sets of remote DoFs and one set of remote DoFs are changed. Fig.4a presents a case where both remote sides in A and B are altered together. The prediction where one selected a and b position shows the least accurate result, is consistent with the previous result in Fig.3b. While being inaccurate at the anti- resonances and for its overall magnitude, almost all resonances correspond to the direct point mobility with similar magnitude. The result where 30 a and b DoFs are accounted for shows a significant boost in accuracy from 1-700Hz. Fig.4a shows that if fewer remote positions are accounted for in the reconstructed point mobility, the greater the inaccuracy to the direct point mobility.

—Y,,, (One a DoF) 1, (Thity a DoF) —Y gq (All @ DoF s) = = Ye, iret) 10? 10 Frequency (Hz)

(a) Changing number of a and b DoFs, while including all interface c DoFs.

(b) Changing b DoFs, while including all a and c points.

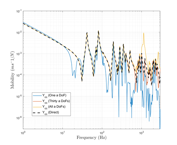
(c) Changing a DoFs, while including all b and c points.

v) Mobility (ms~1/N 0 0 (—Y,, (One ¢ DoF) —Y,, (Five ¢ DoFs) |_y, (All Interface DoF) = = ¥,, (irect) 10 10 10? Frequency (Hz)

Figure 4: Round-trip derived interface point mobility.

The next test of accuracy due to the number of remote positions used is conducted by changing just one set of remote DoFs while including all interface DoFs and the other set of remote positions. The results for this test are displayed in Fig.4b and Fig.4c. All cases except for where only one remote point is used shows good agreement to the directly measured point mobility up 1kHz. After this only the cases which include all DoFs, and thirty points perform well and stay close to the direct measurement. From these figures it is not made clear as to why the case that uses all remote DoFs is less accurate after 1kHz. However, this will be made clearer in Fig.5. Before moving forward onto that, a comment must be made about the sub-figures Fig.4c and Fig.4b. In the scenarios where one remote position is used, there are di ff erences in accuracy at distinct frequencies. This is because the one remote DoF scenarios are present at di ff erent locations on the plate and thus will have dissimilar structural responses.

y) Mobility (ms~1/N 10 10? 10 104 (——Y,,,(One ¢ DoF) —Y,, Five ¢ DoF) _—Y,, (ale DoF s) = = ¥,, (irect)

4

10" (—Y, (One e DoF) —Y,, Five ¢ DoFs) _—Y,, (Al ntertace DoF) = = ¥,, ives 10? E os 3 2 10% 10° 10° 10" 10? 10 equency (Hz)

log0(Error)

Figure 5: Log10(Error) plot for FE plate due to the number of a vs b DoFs accounted for in calculating the interface point mobility. Error tested for 1Hz-1kHz frequency range.

Fig.5 shows the ’why’ for the scenarios where both sets of remote DoF are the same. By calculating the di ff erence between the prediction and direct measurement of the interface point mobility the error is obtained. In order to plot to plot this error between remote points all point mobilities along the interface had to be averaged. It is more significant when less remote positions are used, which corresponds to the inaccurate reconstruction shown in Fig.4a where the remote DoFs are equal. The source of the diagonal spike in error is not yet fully understood. In Section 4 possible causes of this a = b error is discussed. It can be inferred from Fig.5 that an optimal prediction would lie either side of this diagonal spike. The figure also explains why the case that uses all remote DoFs does not agree with the direct measurement above 1kHz, despite having an almost perfect result below 1kHz.

log10(Exror)

(a) Log10(Error) plot up to 10kHz for FE plate. Varied number of a DoFs vs. fixed 30 b DoFs.

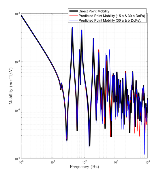
(b) Direct vs. predicted interface point mobilities. The round-trip mobilities are calculated using 30 a and b points, and 15 a and 30 b points.

Figure 6: Error of the reconstructed interface point mobility, with a comparison to the direct measurement.

5

2. . Direct Point Mobility — Predicted Point Mobility (16 a & 30 b DoFs) | —Predicted Point Mobility (30 a & b DoF s), 10% : 10° 10 10? 10° 108 Frequency (Hz)

Fig.6a represents the log10(error) up to 10kHz and against the number of a DoFs. In order to plot this figure, a fixed number of b DoFs must be chosen. In this case 30 b DoFs were selected. Similarly to Fig.5 a spike in error occurs when there are the exact number of remote DoFs for both sub-domains. Fig.6a shows a blue line representing the reconstructed point mobility when 30 b DoFs are accounted for with 30 a DoFs. Upon further inspection of Fig.6a, one will notice a considerable decline in error at 10 a DoFs between 1-40Hz. Furthermore, Fig.6b shows a noticeable di ff erence to the direct interface point mobility for the reconstructed point mobility that uses 30 a and b DoFs higher in the frequency range. This is also present in the spikes higher in the frequency range for the blue line in Fig.6a.

3.1.2 Accuracy due to plate geometry

The next point of the investigation is to test whether the aspect ratio of the plate has an e ff ect on the error of the round-trip method. Fig.7 shows a 3:1 aspect ratio plate. It is the original plate taken from Fig.2 (4:3 ratio) but the length has been extended to achieve this aspect ratio. The grid is discretised the exact same to the previous plate, however it has been shifted so that the interface is o ff centre from the middle of the plate. Fig.2’s interface cuts across exactly in the middle of the plate. The grid was implemented in this way deliberately to observe whether a reduction in error due to symmetry from the interface.

Figure 7: FE diagram of 3:1 aspect ratio steel plate, divided into sub-domains A and B which are discretised into a regular grid. Sub-domains A and B are divided by the interface c .

To observe the accuracy due to plate geometry best, a comparison of error to Fig.6a for the full frequency range is observed. Fig.8a shows a similar overall trend in error to Fig.6a. This trend is also displayed in Fig.8b, where a point mobility prediction agrees with the direct point mobility in a similar fashion to Fig.6b. Fig.8a and Fig.6a suggest that symmetry for an interface being in the centre of the plate has no noticeable e ff ect when observing the overall error.

6

(a) Log10(Error) plot up to 10kHz for 3:1 ratio FE plate.Varied number of a DoFs vs. fixed 20 b DoFs.

(b) Direct vs. two round-trip derived interface point mobilities. The round-trip mobilities are calculated using 20 a and b points, and 12 a and 20 b . points.

2. “4 Frequency (Hz)

Figure 8: Error of the reconstructed interface point mobility for 3:1 ratio plate, with a comparison to the direct measurement.

3.2. Experimental case study The following diagram in Fig.9 shows a 2D representation of the experimental plate tested. The results that follow are due to the defined remote and interface structures in the diagram. The remote accelerometer positions for A and B are marked in green, and the interface accelerometers in red. The plate is made with aluminium, and has 3 vinyl strips stuck to the accelerometer side for damping (marked light blue). The dimensions of the plate are 0.7m × 0.9m × 0.0025m.

(ms“1/N) iit 0 0 0 0 Direct Point Mobility Predicted Point Mobility (12 a & 20 b DoFs) Predicted Point Mobily (20 a & b DoFs), 10 wo? 10" Frequency (Hz)

Figure 9: Top-view 2D diagram of experimental plate, accelerometers discretised in a regular grid.

An analysis of the interface point mobility prediction is made by observing the log10(Error), plotted against A DoFs and frequency with a fixed number of 5 randomly selected B DoFs. Two predictions are calculated for comparison against the directly measured interface point mobility shown in Fig.10b. One prediction utilises 5 a and b DoFs marked in blue, and the other 3 a and 5 b DoFs marked in red. Between 10Hz and around 2kHz the experimental case conveys a good prediction in both cases

7

when compared to the direct interface point mobility in Fig.10b. The red and blue predictions begin to stray away from the direct measurement after 1.5kHz and 2kHz respectively.

(a) Log10(Error) plot for experimental plate up to 10kHz. Varied number of a DoFs vs. fixed 5 b DoFs

(b) Direct vs. Round-trip derived interface point mobilities. The mobilities are calculated using 5 a and b points, and 3 a and 5 b points.

Figure 10: Error of the reconstructed interface point mobility for an experimental plate. A comparison to the direct measurement is made for two cases of the round-trip prediction.

log10(Error) 10? Frequency (Hz) 10

4. DISCUSSION

Fig.5, 6a, 8a, and 10a show clear optimal conditions concerning the number of measurement DoFs. Fig.5 distinctly indicates a large spike in error for when a = b . Avoiding this situation achieves an accurate prediction. An optimal result is more obvious in Fig.6a, and Fig.8a. This plot shows that for the FE model example when using 30 b DoFs, the best result occurs when a was at it’s maximum 77 DoFs as shown by the error decreasing at very low frequencies. However using this many DoFs is likely impractical for experiments and only achieves a small increase in the accuracy of the prediction. As shown by the red lines in figures 6a, 8a and 10a, the most practical round-trip prediction lies below the large error spike. In other words having less DoFs in one of the remote sub-domains. The most optimal prediction in these examples occurred when a = b / 2 or a ≈ b / 2. The source of error for when a = b is not yet fully understood. A possible explanation could be down to ’controllability’ and ’observability’ of the round-trip method as described by [4]. Controllability essentially describes whether enough excitations have been applied to replicate excitations elsewhere in the system while observability describes whether enough sensors and enough positions are su ffi cient for explaining excitations. In the paper it is said in order to gain full controllability and observability the round-trip must satisfy the condition of n a ≥ n b ≥ n c for Eq.1. For the case of the transposed equation Eq.2 it must satisfy n b ≥ n a ≥ n c . In the FE model investigation it was found that altering the aspect ratio of the plate had no noticeable e ff ect on the results. The surf error plots for both plate geometries conveyed a similar trend in error. It was found that the error plot of the experimental case had no decrease in the low frequency region when the number of a DoFs was increased, as seen in the FE model example. The reasoning for this is likely due to the number of DoFs in A for the experimental example. The FE model has

8

10! 0 10 Mobility (ms~1/N) 10? — Direct Point Mobility — Predicted Point Mobily (3 a & 5 b DoFs) — Predicted Point Mobility (5 a & b DoFs) 10 10! 10? Frequency (Hz) 10

many more remote positions, therefore is able to account for the dynamic properties of the structure more accurately. Both finite-element and experimental examples show good agreement with each other when observing the error plots in Fig. 6a, 8a, and 10a. The same large spike in error occurs in all of these cases for when a = b . When observing their counterpart mobility plots in Fig.6b and 8b their optimal results shown in red agree with each other for when the remote side has around half as many DoFs as the other. In Fig.10a the red line shows a better result than the blue line where the spike occurs, but when observing Fig.10b there does not seem to be as significant di ff erence to the worst case scenario marked in blue when compared to the FE model examples Fig.6b and 8b. Further investigation is needed experimentally by using more remote DoFs, as this could be the large error observed for low amounts of remote DoFs as seen in Fig.5.

5. CONCLUSIONS

The finite element examples show that if more remote ( a and b ) points are included the more accurate the prediction of the interface point mobility. However it is only valid if both remote points aren’t equal, otherwise a large error will occur in the prediction. The interface point mobility prediction was thought by [1] to be sensitive to the number of interface DoFs included, however this study has shown that it isn’t as demonstrated by Fig.3a, 3b,3c. The experimental example shows agreement with the FE model. A spike in error is observed experimentally for when a = b . However, a further experimental test is needed with more remote DoFs as there could be an error present due to a small number of DoFs being used as demonstrated in Fig.5.

ACKNOWLEDGEMENTS

We gratefully acknowledge the support of DSTL on this project.

REFERENCES

[1] A. Moorhouse and A. Elliott. The “round trip” theory for reconstruction of green’s functions at passive locations. The Journal of the Acoustical Society of America , 134(5):3605–3612, 2013. [2] Moorhouse A., T. Evans, and A. Elliott. Some relationships for coupled structures and their application to measurement of structural dynamic properties in situ. Mechanical Systems and Signal Processing , 25:1574–1584, 2011. [3] C. Draeger and M. Fink. One-channel time-reversal in chaotic cavities: Theoretical limits. The Journal of the Acoustical Society of America , 105(2):611–617, 1999. [4] K. Wienen, M. Sturm, A. Moorhouse, and J. Meggitt. Generalised round-trip identity - for the determination of structural dynamic properties at locations inaccessible or too distant for direct measurement. Journal of Sound and Vibration , 511:116325, 2021.

9