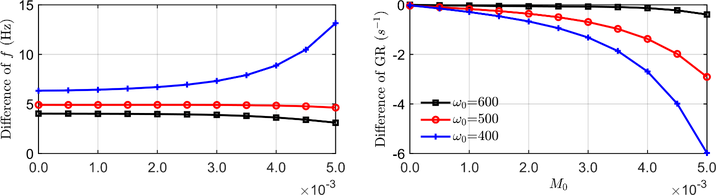
A A A Volume : 44 Part : 2 A theoretical study on the interplay of thermoacoustic modes with Helmholtz dampers in a longitudinal combustor Yichen Wang 1 Department of Energy and Power Engineering, Tsinghua University 30 Shuangqing Road, Haidian District, Beijing, China Dong Yang 2 Department of Mechanics and Aerospace Engineering, Southern University of Science and Technology, 1088 Xueyuan Avenue, Shenzhen, China Min Zhu 3* Department of Energy and Power Engineering, Tsinghua University, Beijing, China 30 Shuangqing Road, Haidian District, Beijing, ChinaABSTRACT Thermoacoustic instabilities are often present in gas turbine combustors, especially in land-based heavy-duty gas turbines. Normally, thermoacoustic modes can be classified into two sets: acoustic mode and intrinsic mode (ITA mode). Low order network models are usually used to study thermoacoustic instabilities and passive control methods such as liners and Helmholtz dampers are often used to suppress these instabilities. The addition of Helmholtz dampers could suppress the original thermoacoustic modes. Meanwhile, it could also introduce a new mode, the frequency of which is related to the parameters of the Helmholtz damper, including its resonant frequency and neck mean flow Mach number. The damping effects depend on the system parameters and could be different on the two categories of original thermoacoustic modes. Based on a rational design, both original modes can be controlled by one damper. These are studied in the present work by using a low-order network model. The results show that the Helmholtz damper could reduce the growth rate of both types of modes. However, improper damper design could also destabilize the modes.1. INTRODUCTIONHelmholtz dampers are often used to control the thermoacoustic instability that appears in gas turbines. The objective of designing the Helmholtz damper is usually to improve its sound absorption performance and thus allow it to damp more potentially unstable thermoacoustic modes.For a longitudinal combustor, only the low-frequency modes such as the 1 st or 2 nd acoustic modes are usually concerned. However, other modes can also appear in practice. The Helmholtz mode is an1 yc-wang18@mails.tsinghua.edu.cn2 yangd3@sustech.edu.cn3 zhumin@tsinghua.edu.cn* corresponding authorworm 2022 interesting mode that appears when the frequency is very low. In this case, the plenum, burner, and combustion chamber can all be considered acoustically compact. Mass conservation and momentum balance between these sections then build up an eigenvalue system from which the Helmholtz mode can be obtained. This Helmholtz mode has been observed in practice [1,2]. Results of an analytical study showed that the coupling relationship between the chamber and the plenum determines whether the Helmholtz mode occurs or not [3,4]. The Helmholtz mode can be predicted by using a resonator model. This is useful for developing control strategies for this mode [5].Another mode is called intrinsic thermoacoustic mode (ITA mode) which is related to flame dynamics [8]. It comes from the closed-loop feedback between the flame and burner. Recent research shows that it may have an important influence on the stability of other thermoacoustic modes when it is stable [9], and it can also be unstable and form a limit cycle in a longitudinal combustor [10].In this work, we aim to design the Helmholtz damper by using a low-order network model which considers the characteristics of both the Helmholtz mode and the ITA mode. We use this method to study the effect of different damper parameters on both modes. This provides a convenient tool for developing optimal damping strategies targeting both the Helmholtz mode and the ITA mode.2. LOW-ORDER NETWORK MODEL AND SIMPLIFIED MODEL2.1. Low-order network modelFirstly, a low-order network model is developed to calculate the eigenmodes of a longitudinal combustor. The combustor discussed in this paper contains a plenum, a burner, a chamber, and a Helmholtz resonator connected with the chamber, as shown in Figure 1. This system can be divided into four sections which can be easily described by the low-order network.n n c′′′′′′′𝑝 −𝑝𝑝 +𝑝 +𝑝 1−𝑝 1+𝑝 −′𝑝′′′′′′′𝑢 −𝑢𝑢 +𝑢 +𝑢 1−𝑢 1+𝑢 −′𝑢11 𝜌 1 𝑐 1𝜌 𝑐o son o𝐿 1 𝐿 𝐿 𝐿Figure 1: Schematic view of a longitudinal combustor with a Helmholtz resonator The relations of the pressure and velocity perturbations between position 0 and position 4 can be obtained by considering the acoustic wave propagation within each section and the jump condition between sections. Equations (1-2) give transfer matrices of each section and the area-change jump condition between sections.′′𝑝 ሺ 𝑖−1 ሻ +′ ൰= ൬ cosሺ𝑘 𝑖 𝐿 𝑖 ሻ −jsinሺ𝑘 𝑖 𝐿 𝑖 ሻ −jsinሺ𝑘 𝑖 𝐿 𝑖 ሻ cosሺ𝑘 𝑖 𝐿 𝑖 ሻ ൰ቆ൬ 𝑝 𝑖−′ ቇ , (1)𝜌 𝑖− 𝑐 𝑖− 𝑢 𝑖−𝜌 𝑖 𝑐 𝑖 𝑢 ሺ𝑖−1ሻ+worm 2022 ′′൬ 𝑝 𝑖+ቇ൬ 𝑝 𝑖−′ ൰ , (2)′ ൰= ቆ𝑆 𝑖− 𝑆 𝑖+𝜌 𝑖 𝑐 𝑖 𝑢 𝑖+𝜌 𝑖 𝑐 𝑖 𝑢 𝑖−where 𝑘 𝑖 = 𝜔𝑐 𝑖 Τ . 𝑝 ′ , 𝑢 ′ , 𝜌 , 𝑐 𝜔, are the pressure perturbation, velocity perturbation, density, sound speed, angular frequency and cross-sectional area respectively. The subscription denotes the number of the section.When the acoustic propagates across the flame and Helmholtz resonator, the velocity perturbation changes according to the flame dynamics and the impedance of the damper. Equations (3-4) give the transfer matrices across flame and damper, as′′൬ 𝑝 +′ ൰= ൬ 𝑎 𝜀ሺ + 𝐹 𝐹ሻ ൰൬ 𝑝 −′ ൰ (3)𝜌 𝑐 𝑢 +𝜌 1 𝑐 1 𝑢 −𝑎 HR′′൬ 𝑝 +൱൬ 𝑝 −′ ൰ (4)′ ൰= ൭𝜌 𝑐 𝑢 +𝜌 𝑐 𝑢 −where 𝑎 = Τ , 𝑎 = Τ , ε = 𝜌 𝑐 𝜌 1 𝑐 1 Τ . HR is the impedance of the Helmholtz resonator. 𝐹 𝐹 denotes the flame transfer function which is described by using an n-tau model and the Helmholtz resonator is modeled in this paper using a classical model considering a mean bias flow, as shown in equation (6) [6].𝐹 𝐹= 𝑛𝑒 −j𝜔𝜏 , (5)− 𝜔+ 𝑖 𝑀 𝜔 1 𝜔𝜔𝜔HR =(6)−𝑖 𝜔 1 𝜔𝜔where= 𝑐𝑉 𝑙 , 𝜔 1 = 𝑐𝜔𝑙𝑛 and 𝜏 are the amplitude and time delay of the flame transfer function (FTF). 𝑉 is the volume of the Helmholtz resonator. 𝑙 is the length of the neck of the Helmholtz resonator.A transfer matrix representing the whole combustor could be obtained by combining equations (1- 6),′′′ ൰= ൬ 11 1 1 ൰൬ 𝑝൬ 𝑝′ ൰ (7)𝜌 𝑐 𝑢𝜌 1 𝑐 1 𝑢′ and the outlet boundary condition determines the relation between 𝑝′ and 𝑢The inlet boundary condition determines the relation between 𝑝′ . Then all the eigenmodes can be solved by′ and 𝑢worm 2022 combing equation (7) and the inlet and outlet boundary conditions. In this paper, the inlet and outlet are both assumed to be closed ends. Here a contour integration method is used to obtain a range of solutions [7].2.2. Simplified modelThe solutions of the low-order network model contain all kinds of modes. Researchers usually focus on the modes with low frequencies which are usually seen in practical combustors. Helmholtz mode and the first-order intrinsic mode, for instance, can have low frequencies so that their stabilities are important. For these particular modes, a simplified model could be derived from the network model to give a simple and clear result. For the acoustic waves, low frequencies mean long wavelength, so that 𝑘 1 𝐿 1 ≪ , 𝑘 1 𝐿 ≪ , 𝑘 ሺ𝐿 + 𝐿 ሻ≪ . Therefore, sinሺ𝑘𝐿ሻ~𝑘𝐿 , cosሺ𝑘𝐿ሻ~ . In this case, we get+ 𝜌𝑋ሺ𝜔ሻ ᇣᇧᇧᇧᇤᇧᇧᇧᇥ𝑋ሺ𝜔ሻ ᇣᇧᇧᇧᇤᇧᇧᇧᇥ𝜔 = 𝜔 𝑝൫ + 𝑛𝑒 −j𝜔𝜏 ൯ ᇣᇧᇧᇧᇧᇧᇧᇧᇤᇧᇧᇧᇧᇧᇧᇧᇥ−𝜔 𝜔 𝑐,𝜔 𝑐,𝜔 𝑐+ 𝜔 𝑝+𝜌 1IIIIII(8)𝜌 𝜌 1𝐿𝑋ሺ𝜔ሻ𝜌 𝜌 1𝜔 ሺ + 𝐿ሻ 𝑎 𝐿൫ + 𝑛𝑒 −j𝜔𝜏 ൯𝜔 𝑝൫ + 𝑛𝑒 −j𝜔𝜏 ൯ ᇣᇧᇧᇧᇧᇧᇧᇧᇧᇧᇧᇧᇧᇧᇧᇤᇧᇧᇧᇧᇧᇧᇧᇧᇧᇧᇧᇧᇧᇧᇥ𝜔 𝑐−𝜔 𝑐,ᇣᇧᇧᇧᇧᇧᇧᇧᇤᇧᇧᇧᇧᇧᇧᇧᇥ𝑎 1 𝐿 1𝐿𝑐 1VIVwhere= 𝑐= 𝑐 1= 𝑐𝑐 ሺ𝐿 + 𝐿 ሻ𝑙𝜔 𝑐, 𝜔 𝑝, 𝜔 𝑐,ሺ𝐿 + 𝐿 ሻ𝐿1 𝐿 1 𝐿−𝜔 + j𝑀 𝜔 1 𝜔𝑋ሺ𝜔ሻ= 𝜔The term I denotes the influence of the geometry construction of the plenum, burner and chamber with flame. The term II denotes the influence from only the damper. The term III denotes the influence from the combination of damper and plenum. The term IV denotes the influence from the combination of burner and flame. The term V denotes the influence from the combination of damper and flame.Equation (8) is still a nonlinear equation of 𝜔 which can be solved numerically. However, the effect of the flame and Helmholtz resonator on the eigenmodes could be seen from the right side of equation (8) and a dimensional analysis could be used to give simplified result. By comparing term I with term IV , we get𝐿= 𝐿𝜔 𝑝≪ (9)1 𝐿 1𝑐 1so that the term IV can be ignored. By comparing term II with term V , we get𝜌 𝜌 1൬ + 𝐿൰ 𝑎 𝐿൫ + 𝑛𝑒 −j𝜔𝜏 ൯= 𝜌൬ + 𝐿൰ 𝐿ሺ + 𝑛𝑒 −j𝜔𝜏 ሻ (10)𝑎 1 𝐿 1𝐿𝜌 11 𝐿 1𝐿Equation (10) means that the position of the Helmholtz resonator 𝐿 determines the ratio between the above two terms. In general, 𝐿 1 𝐿 Τ ≪ , so that equation (10) becomes,worm 2022 + 𝜌𝑋ሺ𝜔ሻ (11)𝜔 = 𝜔 𝑝൫ + 𝑛𝑒 −j𝜔𝜏 ൯+ ൫𝜔 𝑝−𝜔 ൯𝜔 𝑐,𝜔 𝑐𝜌 1The terms I, II, III remain. Equation (11) shows that the plenum and chamber can be seen as two big cavities in which pressure perturbation is uniform. Therefore, the simplified model aims to capture acoustically compact modes. 3. Effects of the Helmholtz damperTo study the effect of the Helmholtz damper, the parameters shown in Table 1 are chosen for the network model. The solutions show that the addition of the Helmholtz damper has two effects. First, it introduces a new mode that depends on the parameters of the Helmholtz damper. Second, it influences the stability of both the original Helmholtz mode and ITA mode.Table 1: combustor parameters of the network model.Variables Valuelength 𝐿 1 = .5 , 𝐿 = . , 𝐿 = .5 , 𝐿 = .5cross-section area 1 = . 5π , = × − π , = . πTemperature 1 = 5 K = 5 KParameters of Helmholtz resonator= × −5 , 𝜔 1 = 9 d/s ,𝜔 = ~7 d/s , 𝑀 = ~ . 5Parameters of FTF 𝑛= ~ , 𝜏= ~ 5 × − s3.1. Mode category in the combustor with dampersA case with a small flame response is considered; The FTF parameters are 𝑛= . , 𝜏= 5 × − 𝑠 . In addition to the previously discussed Helmholtz mode and ITA mode, a new mode is observed when a Helmholtz damper is connected to the combustor. Complex frequencies of the modes obtained from the network model with and without the Helmholtz damper are compared in Table 2. The damper parameters are 𝜔 = , 𝑀 = .Table 2: Complex frequencies of the modes obtained from the network model with and without the Helmholtz damper.Order of the mode Frequency (without damper) Frequency (with a damper)Helmholtz mode 5. + .65j . 9 + .6 jdamper mode − 69.85 + . jst acoustic mode 89.5 − . 9j 89.5 − . 9jst ITA mode 7. 7 − 7. 9j 6. − 8.5 jworm 2022 The solutions show that a new mode appears, and the original modes are disturbed slightly. Here, the new mode is called the damper mode. The frequency of this mode is close to 𝜔 which corresponds to the solution of HR = . The reason can be seen from equation (11) which can be written as−𝜔 ൯𝜔 𝑐,𝑋ሺ𝜔ሻ= ൫𝜔 𝑝~𝑜ሺ𝜔 ሻ (12)𝜔 −𝜔 𝑝 + 𝜌𝜌 1 𝜔 𝑐 ሺ + 𝑛𝑒 −j𝜔𝜏 ሻWhen 𝜔 is far from the frequencies of the two original modes, the solution of equation (12) is close to that of ሺ𝜔ሻ= because 𝜔 𝑐,is relatively small. Figure 2 shows the difference between results from ሺ𝜔ሻ= and the simplified model.worm 2022Figure 2: Difference of frequency and growth rate between the damper mode obtained from ሺ𝜔ሻ= and the simplified model. Parameters: 𝑀 = ~5 × − , 𝜔 = ,5 ,6 rad/sThe results show that the frequency and growth rate of the damper mode indeed mainly depend on the parameters of the Helmholtz damper, especially for the growth rate. When the frequency of the damper mode is close to that of the Helmholtz mode, it could be noticeably affected by the latter; when 𝜔 increases, the damper mode deviates from the Helmholtz mode and the impact from the latter decreases, so the frequency gets close to the solution of ሺ𝜔ሻ= .Figure 3 shows the mode shape of the three types of modes. For the Helmholtz mode, the pressure oscillation in the plenum and chamber both have a constant magnitude. The plenum and chamber act as two big acoustically compact cavities. For the ITA mode and damper mode, the pressure oscillation varies slightly in the chamber. The pressure peak of the ITA mode is located at the flame position. For the damper mode, there is a minimum at the damper position. For the present configuration, both the ITA mode and damper mode have a negative growth rate so they are both stable.Difference of f (Hz) w a= 7 10 B2 5 g 600 5 | —e-e=500 wy =400 ry 00 10 20 30 40 50 10 20 300 408.0 3 MoFigure 3: Mode shape of three different thermoacoustic modes,Parameters: 𝑀 = × − , 𝜔 = rad20 == Helmholiz mode 15 —e—ITA-mode damper mode 1.0 BS 0 05 1 15 location(m) 3.2. Damping effect on the original modeThe Helmholtz dampers with different parameters could have different effects on the original modes. In general, the Helmholtz damper will reduce the growth rate of the original modes. However, an improper design could destabilize the modes. A typical case is used to investigate this damping effect on the Helmholtz mode and the ITA mode. The parameters of the Helmholtz resonator and the flame model are given in Table 3 and other relevant parameters are the same as those in Table 1.Variables ValueParameters of Helmholtz resonator 𝜔 = ~5 d/s , 𝑀 = ~ . 5Parameters of FTF 𝑛= .8 , 𝜏= 5 × − sIn this case, the original complex frequencies are 8.79 + . 98j (Helmholtz mode) and . 9 + .5 j (ITA mode). Both have a positive growth rate. To analyze the damping effect, equation (11) is rewritten through a Taylor expansion around the original complex frequencies. The damping effect is−𝜔 𝐴൯𝜔 𝑐,𝜔−𝜔 𝐴 = ൫𝜔 𝑝(13)𝑋ሺ𝜔 𝐴 ሻቀ 𝜔 𝐴 + j 𝜌worm 2022𝜌 1 𝜔 𝑐 𝜏𝑛𝑒 −j𝜔 𝐴 𝜏 ቁwhere 𝜔 𝐴 is the original solution.The damping effect comes from the imaginary part of 𝜔−𝜔 𝐴 . If i gሺ𝜔−𝜔 𝐴 ሻ< , the original mode is damped by the damper. If i gሺ𝜔−𝜔 𝐴 ሻ> , the damper makes the mode more unstable. The imaginary part of 𝜔−𝜔 𝐴 depends on the parameters of the damper. Figure 4 shows the stability map calculated from equation (13). Note that the stability results denote the new growth rate compared to the original growth rate. It is seen that dampers with appropriate parameters can make both modes more stable. However, inappropriate parameters could lead to the opposite effect.Figure 4: Damping effect on the original modes (analytical results). 4. CONCLUSIONSIn this work, a network model is firstly developed to study the thermoacoustic stabilities of a combustor with a Helmholtz damper. The model is then simplified to get analytical results for the Helmholtz mode and the ITA mode. The solutions from the simplified model show that the additionITA mode hore stable Helmholtz. mode more stable 200 | 250 300 350 400 450 500 ‘Two modes more unstable 2 of the Helmholtz damper could introduce a new mode that depends on the parameters of the damper. A Taylor expansion is conducted to analyze the damping effect on the original modes. A stability map is obtained. It shows that appropriate design parameters of the Helmholtz damper are the key to obtain a good suppression effect. 5. ACKNOWLEDGEMENTSThis work has been funded by the National Natural Science Foundation of China (Grant No. 52106159), which is gratefully acknowledged by the authors. 6. REFERENCES1. Hathout J., P., Fleifil M., Annaswamy, A., M., & Ghoniem, A., F., Combustion instability activecontrol using periodic fuel injection. Journal of Propulsion and Power . 119(2), 340-343 (2002). 2. Temme, J., Allison, P., & Driscoll, J. F., Low Frequency Combustion Instabilities Imaged in aGas Turbine Combustor Flame Tube. 50th AIAA Aerospace Sciences Meeting including the New Horizons Forum and Aerospace Exposition . (2012) 3. Schuller, T., Durox, D., Palies, P., & Candel, S., Acoustic decoupling of longitudinal modes ingeneric combustion systems. Combustion and Flame , 159(5) , pp. 1921-1931. (2012) 4. Chen, Y., and Driscoll J. F., A multi-chamber model of combustion instabilities and its assessmentusing kilohertz laser diagnostics in a gas turbine model combustor. Combustion and Flame 174 :120-137. (2016) 5. Shariati, S., Adamski, A., Noske, R., Brockhinke, A., & Abel, D., Modelling a combustionchamber acting as a Helmholtz resonator using the two-Microphones-method and design of a LQR. 2015 IEEE Conference on Control Applications pp. 1038-1043. (2015) 6. Rienstra, S. W. and A. Hirschberg, An introduction to acoustics . Eindhoven University ofTechnology 18: 19. (2004) 7. Buschmann, P. E., Mensah, G. A., Nicoud, F., and Moeck, J. P., Solution of thermoacousticeigenvalue problems with a noniterative method. Journal of Engineering for Gas Turbines and Power ; 142(3) : 031022. (2020) 8. Sogaro F. M., Schmid P. J., Morgans A. S., Thermoacoustic interplay between intrinsicthermoacoustic and acoustic modes: non-normality and high sensitivities. Journal of Fluid Mechanics , 878 , 190–220. (2019) 9. Orchini, A., Silva, C. F., Mensah, G. A., & Moeck, J. P., Thermoacoustic modes of intrinsic andacoustic origin and their interplay with exceptional points. Combustion and Flame, 211 , 83-95 (2019). 10. Mohan, B. and Mariappan S., Nonlinear stability analysis of intrinsic thermoacoustic modes in aone-dimensional longitudinal combustor. Combustion and Flame 215 : 309-323. (2020)worm 2022 Previous Paper 439 of 808 Next