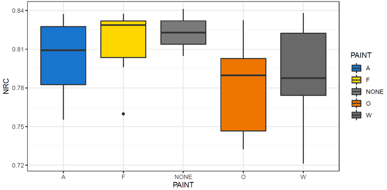
A A A Volume : 44 Part : 2 Acoustic and Aesthetics: The Effect of Paint on Fabric Backed by aSound Absorber Angela Marion Diaz Mena 1 , Haydar Aygun (PhD) 2 London South Bank University School of the Built Environment and Architecture, 103 Borough Rd, London, SE1 0AA, UKABSTRACTThis project investigates the effects of paint on the acoustic properties of cotton and canvas fabrics. Polyurethane foam was used to back the fabric, and the dependencies on the type of paint, painted area, area distribution, and the type of fabric were analysed. One hundred and nine samples of cotton and canvas fabrics were used for this investigation. The impedance tube method, which is performed via the transfer function method, was employed to determine the acoustic properties. It is shown that the absorption of the samples is affected by the type of paint and fabric, and painted percentage area, and establishing an effective set of these parameters will result in the acoustic transparency of the fabric. 1. INTRODUCTION In recent years, new acoustical aesthetic materials have been developed due to the need to blend acoustics materials into a space without sacrificing the aesthetics due to their capability of passing unnoticed [1]. Although there is a variety of aesthetic absorption solutions, there is the misconception that the options are limited [1],[2]. Hence, porous materials are commonly covered in woven fabric, considered an acoustically transparent facing [3],[4], which sometimes does not contribute to overall aesthetic of the room. Although it is known that woven fabrics are good to cover acoustic materials, paint on the fabric facing could be an aesthetic option to make absorptive material blend with the room. The outcome of this combination could still serve its original purpose, of absorbing sound as well as being an art piece. Considering that paintings are a typical way to decorate a space, using a painting as an absorber becomes of interest because of its dual-purpose application. Previous studies consider the direct effect of paint and paint coats on sound absorbing materials and the use of paintings to absorb sound, reduce reverberation time, and increase speech intelligibility.1 angelamariondiaz@gmail.com2 aygunh@lsbu.ac.uk21-24 AUGUST SCOTTISH EVENT CAMPUS ? O? ? GLASGOW Chrisler [5] and Burby, et al. [6] have studied paint on acoustic materials and concluded that one coat of paint could be used on an absorber, and that spray paint could be used and would be more likely to preserve the acoustic properties of the material. Martellotta & Castiglione [7] and Cudina, et al. [8] have studied the use of paintings as sound absorbing materials and concluded that the absorption of paintings backed by an absorber would depend on if the textile is made permeable or impermeable by the paint, the thickness of the paint, painting dimensions, among other factors that could be used to shift the absorption coefficient in the frequency range. Additionally, several authors [1], [3], [6], [9] state that most paints will close the material’s pores and will reduce sound absorption except for non-bridging paints (acoustic paints) which can be applied without considerably decreasing the ab- sorption. As previously mentioned, woven fabrics are used as a common facing for absorbers, and although woven fabrics are not commonly used on their own as an absorber, studies have been carried out to determine the acoustical properties of woven fabrics [10]. This research concluded that there is a possible effect of pores’ shape and size in relation to sound absorption performance of the fabric. The pores’ shape and size be influenced by thread count or the yarn. In addition, patterns can be designed into a fabric using fabric dye which chemically bonds to the fibres of the fabric [11]. Despite few previous studies related to the absorption of paint on acoustic materials and the use of ready-made paintings as absorbers, the effect of different type of paints on fabrics and absorptive materials still needs extensive research. The main aim of this study is to investigate the effect on the absorption of painted fabric backed by an absorber to determine the type of paint, area percentage and area distribution that make the fabric the most acoustically transparent so that the sound absorp- tion of the polyurethane backing is not affected. Also, to establish the effect of the type of fabric on the overall absorption. The Noise Reduction Coefficient (NRC) was used as noise criteria to compare the overall absorption of the samples. 2. METHODOLOGY2.1. Materials One hundred and four of the one hundred and nine samples were hand-painted. The samples were made from cotton and canvas fabric painted with acrylic, watercolour, fabric paint, oil, spray paint, gesso (primer) and fabric dye. The final sample to be measured was polyurethane foam with the painted fabric in front held by an O-ring.2.1. Preparation of fabrics The fabrics were painted to the percentages shown in Figure 1. Maintaining the painted area con- sistent was an essential factor to consider in this investigation. The paints were applied by using the stencil method which proved to be quick and precise while maintaining the same painted area on the21-24 AUGUST SCOTTISH EVENT CAMPUS ? O? ? GLASGOW fabric by avoiding some excess paint in the borders. This method was chosen because it standardized the paint application. Moreover, this method could also be implemented in a further investigation to characterize the effect of other types of paints on fabric backed by an absorber.Table 1: Data combinations – type of fabric, type of paint, area, and area distributionOne coat of paint was chosen for this study since, according to Chrisler [5], the material can be coated with one thin layer of paint without closing the pores and considerably affecting absorption. One brush stroke per non-covered area was applied where possible. One sample per area for each type of paint was painted, and spare fabrics were considered in case the area was not painted correctly and had to be repainted.% of Painted Area Fabric Type [Paint Type [Distribution | _0% W% 16% 32% 49% 64% 81% 100% Homogeneous x x x x x Acrylic x x Scattered x x x x x Oi| [Homogeneous x x x x x x x Scattered x x x x x Watercolour | Homogeneous x x x x x x x Cotton and Scattered x x x x x Canvas Homogeneous x x x x x x Fabric x x Scattered x x x x x Spray : : : : : : : x Fabric Dye : : 7 : 7 x Guesso - - . . . - x Primer2.2. Measurements The measurements of the normal incidence sound absorption were carried out according to the BS EN ISO 10534-2 in the BSWA impedance tube in the software VA-Lab IMP with the two-micro- phone transfer function method. To comply with this standard, two identical microphones were used for the measurements, the samples were cut to fit securely in the tube, and the sample holder was chosen accordingly. Two microphone configurations were used to measure low and mid frequencies from 80 Hz to 1600 Hz. The impedance tube method was chosen over other methods since it had more controlled conditions and required a small sample size which allowed for a broader comparison between the variables. The sample thickness was set to 0.076 mm and the parameters were set as shown in Table 2. The weather conditions were stable throughout the days on which the measure- ments were undertaken.Ta ble 2: Parameters and set value for VA LAB softw areParameter Set value Atmospheric pressure (Pa) 101325 Temperature (°C) 19 Relative humidity (%) 50 Velocity of sound (ms -1 ) 342.651 Density of air (kgm -3 ) 1.2081 Characteristic impedance of the air (Pa s m -1 ) 413.273 All measurements were carried out with no airgap between the sample and the backplate. The pol- yurethane porous absorber was measured with and without the O-ring to determine if it affected the21-24 AUGUST SCOTTISH EVENT CAMPUS ? O? ? GLASGOW measurements. Then, the absorber with the unpainted fabric was measured to have this absorption value as a reference to compare with the different paints and painted areas.2.2. Data processingAs the measurements were carried out with two microphone configurations the crossover point was chosen from 400 Hz to 500 Hz to have a full range of data. The NRC was calculated from 200 Hz to 1600 Hz to have a single number rating for the absorption per sample to carry out statistical analysis. Due to the limitations in the frequency range measured by the impedance tube, the 2000 Hz octave band was represented by 1600 Hz. The single value of the NRC allowed for easier comparison be- tween the data sets and further statistical processing and analysis.The statistical data analysis was done over one hundred and four of the results in the software R studio (2021). The NRC was evaluated versus the type of paint, fabric, area, and area distribution, as the NRC depends on the mentioned variables. Firstly, an exploratory data analysis using box and whiskers (boxplot) was used to determine how the NRC behaved in terms of the mentioned variables. Secondly, The Mann-Whitney U test and The Kruskal-Wallis one-way ANOVA tests were used to determine significant differences between the variables in relation to the NRC. Finally, the post-hoc of multiple comparisons test was carried out to identify the variables with higher NRC, allowing for more precise conclusions. All the statistical tests were evaluated with a 5 per cent level of signifi- cance, meaning that there was a 5 per cent probability of concluding that there was a significant difference in the data when there was no actual difference. 3. RESULTS AND DISCUSSIONSThis project aims to investigate the effect of paint on fabric backed by an absorber to determine the best category of the variables: type of paint, type of fabric, area percentage and area distribution that will cause the fabric to be the most acoustically transparent. The results were compared to the ab- sorption of unpainted fabrics cotton and canvas placed in front of an absorber as shown in Figure 1.10.90.8Absorption coefficient0.70.60.5CanvasCotton0.40.380 800Figure 1: Absorption coefficient vs frequency of cotton and canvas backed by polyurethane foamFrequency (Hz)21-24 AUGUST SCOTTISH EVENT CAMPUS ? O? ? GLASGOW Statistical non-parametric tests results can be seen in Tables 3, 4, and 5 where significant differences are those that present a p-value < 0.05. Table 3 presents significant differences in the type of fabric, type of paint and area percentage, meaning that they have a significant effect on the NRC. The area distribution does not present a significant difference, meaning that the area distribution does not affect the NRC. As the type of paint and area percentage presented significant differences, a post-hoc test of multiple comparisons was carried out to find the individual factors in which the NRC was highest to establish more precise conclusions, as seen in Tables 4 and 5.Table 3: Nonparametric tests, NRC vs variables Comparison p-value Test NRC vs Type of Fabric 0.000082 Mann-Whitney U NRC vs Type of Paint 0.01675 Kruskal-Wallis NRC vs Area Percentage 0.0000019 Kruskal-Wallis NRC vs Area Distribution 0.1826 Mann-Whitney UTable 3 demonstrates a significant difference in the NRC between both types of fabrics. Based on the box and whiskers graph seen in Figure 2, it can be affirmed that cotton gives a higher NRC, as almost 50 per cent of the obtained results for cotton are higher than canvas. It can be seen in the mentioned figure that canvas has a higher variability within the obtained data than cotton. This means that it is better to use this fabric than canvas fabric. Additionally, it can be argued that cotton and canvas fabrics have different absorption performances due to the pores’ shape and size [10]. The pores’ shape and size can also be influenced by thread count, which are considerably different be- tween the two fabric types.NRC 0.80 0.75 ‘CANVAS: TYPEOFFABRIC ‘COTTON TYPEOFFABRIC. BB canvas EI corronFigure 2: Box and whiskers - NRC vs type of fabricFigures 3 and 4 show that the higher NRC in relation to the unpainted fabric (NONE) as a reference is given by fabric paint, spray paint, and fabric dye. The paints which result in the lowest NRC are oil paint and watercolour, while gesso has a considerably lower performance. It is demonstrated by the post-hoc test results seen in Table 4 that fabric paint has the best overall effect on the absorption. Significant differences can be seen in the mentioned table for fabric paint, acrylic, and gesso, being fabric paint the paint that has the higher NRC. When comparing fabric paint to gesso, oil and water- colour, fabric paint also has a higher NRC. In addition, the dyed fabric does not present a significant difference from most of the paints.21-24 AUGUST SCOTTISH EVENT CAMPUS ? O? ? GLASGOW Figure 3(a) and (b): Box and whiskers - NRC vs type of paint° ira Zz 0.84: 078 076: a |, A F NONE PAINT.Table 4: P-values of post-hot tests in NRC vs type of paintType of Paint A D F G NONE O SPRAY Dyed (D) 0.8099 - - - - - - Fabric Paint (F ) 0.0067 0.1538 - - - - - Guesso (G) 0.0304 0.3333 0.0062 - - - - NONE 0.229 0.6667 0.6154 0.3333 - - - Oil (O) 0.9671 0.8123 0.0048 0.0062 0.1846 - - SPRAY 0.7362 1 0.3938 0.3333 1 0.5538 - Watercolour (W) 0.7966 0.8862 0.0373 0.0062 0.2215 0.9268 0.6769As seen in Figure 5 even at a high-painted area percentage with fabric paint, the absorption coeffi- cient is not substantially affected, as the absorption of painted fabric paint is very similar to the ref- erence absorption. Hence, it can be claimed that this paint has non-bridging properties when applied on fabric. This assumption cannot be made with spray paint, as according to Burby, et al. [6], spray paint has less effect on the absorption due to its droplet size, which minimises the probability of closing the pores. Additionally, fabric dye does not have a considerable effect on absorption as the dye bonds to the fibres of the fabric [11].10.90.85: 0.80. 0.75. NRC 065. 0.60 NONE SPRAY PAINT.0.8Absorption coefficient0.70.60.50.40.30.280 800Frequency (Hz)Acrylic (A) Oil (O) Watercolour (W) Fabric Paint (F) CottonFigure 5: Absorption coefficient vs frequency of cotton fabric painted 100% with different paintsbacked by a polyurethane foam21-24 AUGUST SCOTTISH EVENT CAMPUS ? O? ? GLASGOW The results obtained from this study prove that the area that can be painted on fabric without affecting the efficiency of the absorber is 16% to 9%, according to the results of the post-hoc statistical tests reported in Table 5. The aforementioned areas have the highest NRC and absorption coefficient com- pared to the reference absorption, as seen in Figure 6.0.850.8Noise reduction coefficient0.750.70.650.60.550 100 80 64 48 32 16 9Figure 6: Box and whiskers - NRC vs area in canvas and cottonArea (%)Although the 32% painted fabric presents positive results, seen in Table 5, it does not have significant differences with 48% painted fabric, meaning that the absorptions of these two painted areas are equivalent. In contrast, 48% painted fabric presents significant differences versus 80% and 100% painted fabric. According to the data seen in Figure 6, it can be stated that 32% of the area can be painted without considerably affecting the absorber's efficiency, although 32% painted fabric is sta- tistically the same as 48% painted fabric. Therefore, if the purpose of the acoustic treatment requires less absorption at high frequencies, a painted area of 32% or 48% can be used.Table 5: P-values of post-hot tests in NRC vs area percentage AREA % 0 9 16 32 48 64 80 9 0.8366 - - - - - - 16 0.549 0.5147 - - - - - 32 0.549 0.1016 0.1963 - - - - 48 0.2614 0.0039 0.0194 0.1808 - - - 64 0.07843 0.0009 0.0007 0.0074 0.067 - - 80 0.0888 0.0009 0.0219 0.0844 0.03205 0.2635 - 100 0.15 0.00003 0.00025 0.00061 0.0117 0.0701 0.4411 4. CONCLUSIONSThis study determined that the combination of area, fabric, and paint for an acoustically transparent cover is 9% to 16% painted on cotton fabric with fabric paint. If it is possible to slightly compromise the overall absorption, 32% of cotton fabric can be painted. In addition, if the total area of the fabric needs to be painted, fabric paint, spray paint and fabric dye are the first options since they do not affect the absorption considerably. Further investigation could be carried out to determine acoustical properties of samples at higher frequencies between 1600 Hz and 6300 Hz.21-24 AUGUST SCOTTISH EVENT CAMPUS ? O? ? GLASGOW 5. ACKNOWLEDGEMENTSThis work was supported by the London South Bank University and Acoustics research group. The authors wish to extend their gratitude to Professor Stephen Dance for his advice and help with acous- tic tests; to Astrid Barreiro for her advice; and to Mr Richard White for his technical advice during the acoustic tests. 6. REFERENCES1. Adams, T., 2016. Sound Materials - A Compendium of Sound Absorbing Materials for Architec-ture and Design. Amsterdam: Frame Publishers. 2. Bosnyak, D. et al., 2020. The Book of Acoustics. Stockholm: BAUX AB. 3. Cox, T. J. & D’Antonio, P., 2009. Acoustic Absorbers and Diffusers - Theory, design and appli-cation. 2nd Edition ed. New York: Taylor & Francis. 4. Rossing, T. D. (ed.), 2014. Springer Handbook of Acoustics. 2nd ed. London, New York:Springer 5. Chrisler, V. L., 1940. Effect of paint on the sound absorption of acoustic materials. Journal ofResearch of the National Bureau of Standards, Volume 24, pp. 547-553. 6. Burby, M., Nasr, G. & Cox, T., 2006. Painting And Coating of Acoustic Materials. Vancouver,BC, Canada, ASME Pressure Vessels and Piping Division Conference. 7. Martellotta, F. & Castiglione, M. L., 2011. On the use of paintings and tapestries as sound ab-sorbing materials. Forum Acoustics 8. Cudina, M., Prezelj, J. & Cudina, M. P., 2015. The impact of paintings hung on lecture roomwalls on the speech intelligibility and perception of background noise. Indoor and Built Environ- ment, 25(4), pp. 659-673. 9. Everest, F. A. & Pohlmann, K. C., 2009. The Master Handbook of Acoustics. 5th Edition ed. NewYork: McGraw-Hill. 10. Li, H. et al., 2020. Investigation of effective factors of woven structure fabrics for acoustic ab-sorption. Applied Acoustics, Volume 161, pp. 1-8. 11. Bomgardner, M. M., 2018. These new textile dyeing methods could make fashion more sustain-able. Chemical & Engineering News, 96(29).21-24 AUGUST SCOTTISH EVENT CAMPUS ? O? ? GLASGOW Previous Paper 196 of 808 Next