Welcome to the new IOA website! Please reset your password to access your account.

Proceedings of the Institute of Acoustics

 

 

Efficacy evaluation of low-emission asphalts in port areas using the CPX and CPB method

 

Gaetano Licitra1, Environmental Protection Agency of Tuscany (ARPAT), Pisa, Italy

Luca Fredianelli2, IPCF-CNR, Pisa, Italy

Lara Ginevra Del Pizzo, Ipool S.r.l., Pisa, Italy

Antonino Moro, Ipool S.r.l., Pisa, Italy

Francesco Bianco3, Ipool S.r.l., Pisa, Italy

Francesco Fidecaro4, University of Pisa, Pisa, Italy

 

ABSTRACT

 

Passenger and freight road traffic related to port activities are among the main road sources in port areas, together with ship noise and dockside operations. INTERREG Maritime financed projects for improving the knowledge of port noise: REPORT developed simulation models and guidelines for noise evaluation and control strategies, then applied for mapping noise in various ports of the projects; MON ACUMEN installed continuous noise monitoring units; RUMBLE applied noise mitigation actions. Low-emission asphalts were laid in the Italian ports of Portoferraio (LI) and Cagliari, and in the French ports of Bastia and Ile Rousse. The present work evaluates the effectiveness of these acoustic interventions by comparing the results of measurement campaigns carried out before and after the laying. The measurements were carried out using both the CPX methodology, which evaluates the tyre/pavement noise emission, and the CPB methodology, which is based on the acquisition of the noise levels produced on the roadside by the passage of the test vehicle on the investigated pavement. Since the two tests were performed simultaneously with the same vehicle, these measurements provide a good estimate of the efficacy of the low-noise pavements in a port environment.

 

1. INTRODUCTION

 

Port noise was marginalized at the regulatory level when it was excluded from the noise action plans and maps required by the European Union’s Environmental Noise Directive (END) [1], which were limited to only main roads, railways, airports and agglomerations. This omission justifies the very few academic studies about port noise source present in literature, as well as the absence of assessment of citizens' exposure to port noise performed around the world. Consequently, citizens’ complaints grew and would soon represent a major hindrance to the natural growth of maritime traffic [2 - 4].

 

Only in recent years some international projects investigating port noise came out [5 - 9]. It appears to be evident that the port area is a complex environment, where many different sources can be simultaneously present and can disturb people living in the surroundings.

 

In order to fill the gap in knowledge regarding port noise, the INTERREG Maritime Programme Italy-France 2014-2020 involved many partners, both Italian and French and ranging from port authorities, Universities, the French research center CSTB, Municipalities (Nice), Region of Liguria, Environmental Protection Agency of Tuscany Region, Chambers of Commerce and Industries, the Corsica’s Transports Office. The programme was made of different projects all aiming at describing the present situation and designing best practices looking for a long-term sustainability in the North part of the Tyrrhenian Sea. DECIBEL Project aimed at the realization of infrastructures for noise reduction in small ports, L.I.S.T. PORT focused on vehicle traffic around ports, TRIPLO studied noise in the area included between the ports and the logistic platforms connected to them, RUMBLE had the target of mitigating noise emission in ports and annexed areas, REPORT looked at port noise from a more theoretical point of view and MON ACUMEN studied port noise monitoring and sustainable management.

 

Among the remarkable results, a classification of noise sources acting in ports has been proposed by Fredianelli, et al. [10]. The authors divided the sources into five macro categories, each of different nature or use: road, railways, ship, port, and industrial sources. Each of them has further subdivisions according to their working operation mode or position. Consequently, a guideline for the characterization of noise sources needed as inputs for port noise maps has been recently published for each of the previous categories [11]. Few studies in literature were dedicated to the acoustic characterization of ships, marked as noise emitters from multiple spots and during different operations [12]. In fact, different ships have proper noise emissions while moving, maneuvering, mooring and performing ground operations [13 - 18]. In the INTERREG programme moving ships were studied, arriving at a proper characterization for small vessels [19], ferries [20] and for roll-on/roll-off (RORO), container ships, oil tankers and chemical tankers [21]. However, studies reported that the main source acting as a disturbance for citizens living around port areas is the annexed road traffic [22 - 24], which reaches a greater number of inhabitants with respect to the other port sources.

 

For this reason, the main mitigation actions installed by the RUMBLE project were mainly targeted to reduce the road traffic noise induced by light and heavy vehicles embarking/disembarking from ferries and RO/RO. A large green barrier has been set in the port of Genoa Prà, while low emission road pavements were laid in Cagliari, Portoferraio and Ile Rousse. Bastia installed battery charging stations for electric vehicles, which should be used in the future for loading and unloading operations.

 

The present work evaluates the effectiveness of the low-emission pavements laid in port of Cagliari, Portoferraio and Ile Rousse by comparing the results of specific measurement campaigns carried out before and after the new laying. The measurements were carried out using both the Close Proximity Index (CPX) and the Controlled Pass-By (CPB) methodologies.

 

2. METHODOLOGY

 

2.1. CPX method

 

The CPX measurement method is based on the technical standard UNI EN ISO 11819-2 [25] and on ISO/TS 11819-3 [26] and has the purpose of evaluating the acoustic emission due tire/pavement interaction, in conditions in which it is dominant compared to the other known noise generation mechanisms. This condition is assured by mounting two microphones near the right rear tire (reference tire P1, SRTT size 225/60 R16) and acquiring the acoustic pressure signal while driving the vehicle at various constant speeds on the pavement under investigation. The particular position of the microphones is a sufficient condition to consider the noise from the tire/pavement interaction dominant, so the contributions of the noise of the engine, the mechanical system and the exhaust pipe are negligible. Distance covered and the instantaneous speed are acquired. During the data processing phase, the signal of the covered space is analyzed in order to divide the acquired signals according to a spatial basis (section) equal to 20 m. The acoustic pressure signals are then processed in such a way as to associate the spectrum in third-octave bands to each section. The LCPX level is obtained through the energetic sum of the A-weighted levels from the third-octave bands spectrum. For each measurement, the values of speed, third-octave bands spectrum and LCPX, are associated with each section of the pavement traveled. The linear regression of the data provides the estimated values of LCPX and the spectrum in third-octave bands, calculated for the reference speeds required by the standard, with the related associated uncertainties, for each section.

 

In order to characterize the investigated pavement, the spatial average value over the entire section is finally calculated, both for the LCPX and for the third octave bands levels. The LCPX level is corrected as specified by the technical standards to normalize the result in temperature and tire hardness.

 

2.2. CPB method

 

Pass-by measurement methods provide for the acquisition of the noise levels produced on the roadside by the passage of vehicles on the investigated pavement under precise measurement conditions. In particular, the microphone must be placed at a height of 1.2 m and 7.5 m from the center of the roadway. Under these conditions, the temporal trend of sound levels is acquired when individual vehicles pass. The single vehicle passage event is considered valid if before and after the event the sound level drops to a level of at least 10 dB (A) lower than the maximum level reached during the passage. The indicator used to characterize the sound level of the single event is the maximum level reached. In the hypothesis of constant speed, with the same vehicle and pavement, the maximum level reached for the single vehicle at a fixed distance is proportional to the travel speed with a log-linear function, for which it is also necessary to acquire the speed data. During the data processing, the linear regression is then calculated with a best fit and the value is estimated at the reference speed.

 

While the Statistical Pass By measurement method by UNI EN ISO 11819-1 [27] applies the aforementioned data acquisition and processing protocol to freely circulating vehicles, with considerable data variability due to the variety of vehicles and the variety of driving behaviors, the Controlled Pass By (CPB) measurement method by NFS 31 119-2 [28] applies the protocols to only a few vehicles driven in a controlled manner by trained personnel. In this case the data is very precise and a small sample of data is sufficient to achieve the robustness of the results. The result is less representative for the current fleet but is not affected by the variability of the acquired data and so it is more reproducible and/or comparable with results obtained with the same means on different pavements or at different times.

 

3. MEASUREMENTS CAMPAIGNS

 

The present paragraph describes the measurement campaigns carried out in the different ports analyzed, which installed low-emission pavements.

 

Portoferraio (LI)

 

The Ante-operam measurements of CPX and CPB were carried out on July 19, 2019, the Post-operam measurements of CPX on August 21, 2020. CPB Post-operam was not carried out for technical reasons.

 

The noise mitigation involves a section of asphalt, which has been investigated in the two opposite directions of travel (North and South). Three lanes were analyzed: two in the South direction (driving and overtaking) and one in the North direction.

 

The Ante-operam asphalt (AO) showed evident signs of wear and was devoid of particular acoustic characteristics.

 

 

Figure 1: Port area of Portoferraio (LI), with pavements highlighted.

 

Cagliari

 

The Ante-operam measurements of CPX and CPB were carried out on August 26-27, 2020 and the Post-operam measurements July 14, 2021.

 

There are two asphalt sections investigated. Section 2, located at Calata Riva di Ponente and inside the gate, has a new pavement called Post-operam T2 and has been investigated in a Westerly direction (from the Savoy pier to the Rinascita pier). Section 3, located near the Calata Riva di Ponente and outside the gate, has been investigated in a Westerly direction (from theMolo Sabaudo towards the Molo Rinascita). This section is characterized by the presenceof a new pavement called Post-operam T3. There would have been a third pavement(Section 1) which, however, ha not been monitored in Post-operam for reasons ofmaneuverability. Ante-operam T2 was made of asphalt (AO CB) and concrete (AO CC),while T3 only of asphalt. Following results includes only AO CB data.

 

 

Figure 2: Port area of Cagliari, with pavements highlighted.

 

Ile Rousse

 

The Post-operam measurements of CPX and CPB were carried out on June 5, 2021, while Ante-operam data have been taken from a parallel pavement of same age.

 

The noise mitigation consisted in the installation of a low emission noise pavement within the port area and along a stretch of the two-way public road that connects the city center to the Port and to the Corsica Island. Three stretches of road have been investigated, one of which is inside the portarea. Sections 1 and 2, positioned along the public road, have respectively a low noise pavement, called Low Noise and a dated floor called Ante-operam. For sections 1 and 2, the two opposite directions (North and South) have been investigated. Same Low Noise is in section 3, which was investigated in a Westerly direction, i.e. proceeding from the pier (characterized by the presence of the lighthouse) towards the entrance to the port area.

 

 

Figure 3: Port area of Ile Rousse, with pavements highlighted.

 

4. RESULTS

 

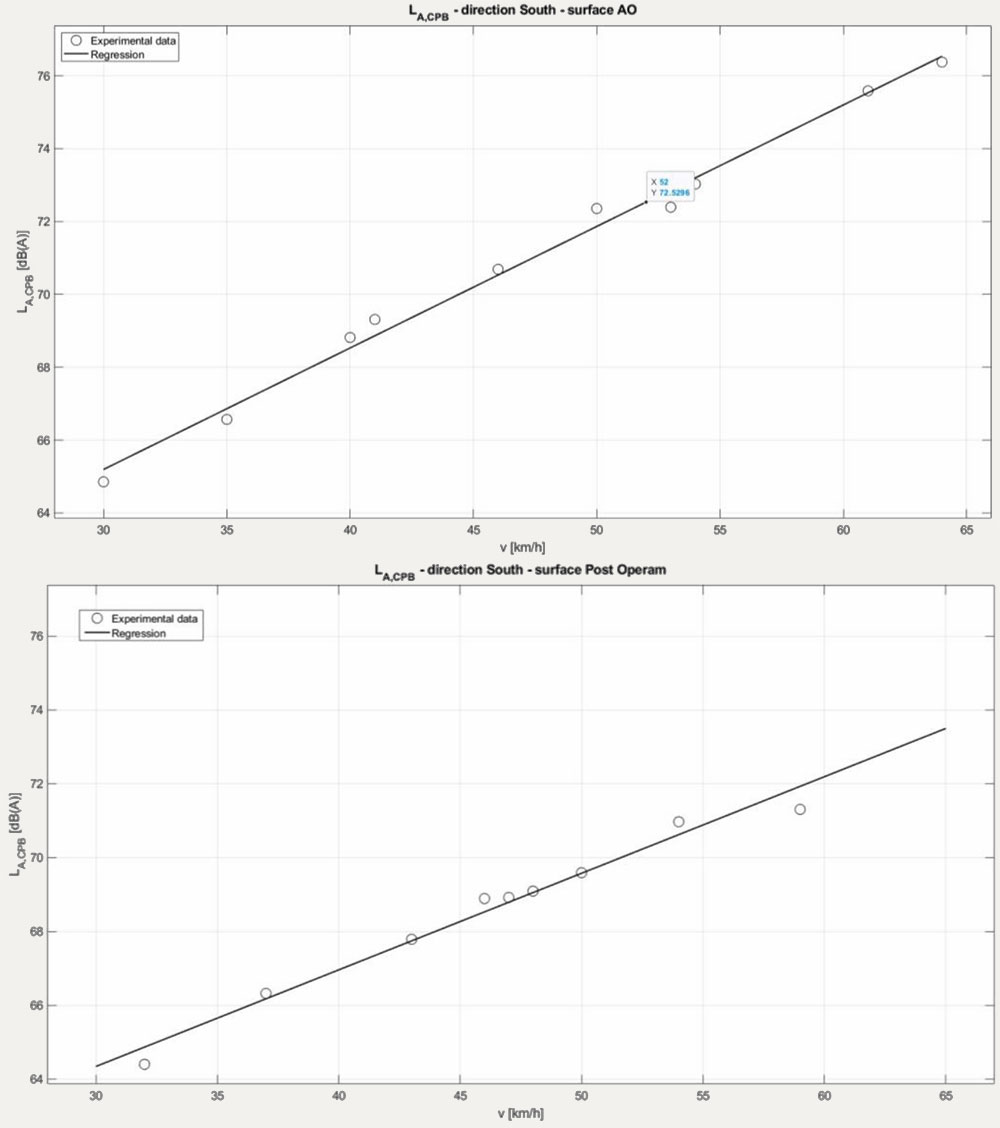
CPX levels results for Portoferraio in South direction and 50 km/h speed are reported in Figure 4, as an example, for both Ante and Post-operam. Table 1 reports the results with uncertainties and the GPP limits comparison.

 

 

Figure 4: CPX results at 50 km/h in Portoferraio, Ante and Post-operam in South direction.

 

Table 1: CPX results and GPP limits comparison for Portoferraio. Units are dB(A).

 

 

CPX levels results for Cagliari, pavement T3, in West direction and 50 km/h speed are reported in Figure 5, as an example, for both Ante and Post-operam. Table 2 reports the results with uncertainties and the GPP limits comparison. Figure 6 shows an example of CPB results for T2 pavement, East direction, Ante and Post-operam.

 

 

Figure 5: CPX results at 50 km/h in Cagliari, Ante and Post-operam of T3 pavement in West direction.

 

Table 2: CPX results and GPP limits comparison for Cagliari. Units are dB(A).

 

 

 

Figure 6: CPB results at in Cagliari, Ante and Post-operam of T2 pavement.

 

CPX levels results for Ile Rousse, pavement Low noise for Ante (Section 2) and Post-operam (Section 1) in South direction at 50 km/h speed are reported in Figure 7 as an example. Table 3 reports the results with uncertainties and the GPP limits comparison. Figure 8 shows an example of CPB results for South direction, Ante (Section 2) and Post-operam (Section 1).

 

 

 

Figure 7: CPX results at 50 km/h in Ile Rousse, Ante (Section 2) and Post-operam (Section 1) in South direction.

 

Table 3: CPX results and GPP limits comparison for Ile Rousse. Units are dB(A).

 

 

 

Figure 8: CPB results at in Ile Rousse, Ante (Section 2) and Post-operam (Section 1) in South direction.

 

5. DISCUSSIONS AND CONCLUSIONS

 

The spatial average LCPX value of the Low Noise pavement measured in the port of Portoferraio at 50 km/h resulted in 88.6 ± 0.5 dB(A), a value significantly lower than the GPP limit of 90.0 ± 1.0 dB(A). For an initial estimate of the effectiveness of the noise mitigation action carried out, the comparison of Ante and Post-operam results highlights the significant acoustic benefit deriving from the new laying. In particular, the “Low Noise” was characterized by an average LCPX level that is more than 3 dB(A) lower than the Ante-operam pavement.

 

In the port of Cagliari, the two pavements shown significantly different acoustic performances in terms of CPX results. The Post Operam T3 pavement was characterized by average LCPX values below the limits required by the GPP, in particular the LCPX spatial average value at 50 km/h has settled at 88.0 ± 0.9 dB(A) significantly lower than the GPP limit, which in this case is equal to 90.0 ± 1.0 dB(A). Conversely, the T2 Post-operam pavement resulted significantly less performing, with the spatial average LCPX value at 50 km/h of the pavement settling at 92.0 ± 0.9 dB(A). For an initial evaluation of the effectiveness of the noise mitigation action carried out, the Post Operam T3 pavements was characterized by an average LCPX level that is more than 3 dB(A) lower than the Ante-operam pavement in the same section 3. Comparing the CPB results, the Post-operam T2 pavement showed lower LCPB levels than the two pavements in section 2 during the Ante-operam campaign.

 

These were about 2 dB(A) lower than the AO CB asphalt pavement and almost 6 dB(A) lower than the AO CC concrete pavement. AO CC results have not been reported due to space constraints. In the port of Ile Rousse, the data analysis showed how the Low Noise pavement was characterized by average values of LCPX below the limits required by the GPP, in particular the spatial average LCPX value at 50 km/h of the pavement has settled on 90.5 ± 0.6 dB(A), significantly lower than the limit (GPP), which in this case is equal to 93.0 ± 1.0 dB(A). For an initial evaluation of the effectiveness of the mitigation action carried out, the comparison of the results relating to the new Low Noise pavement and the adjacent Ante Operam pavement highlighted the significant acoustic benefit deriving from the implementation of the action. In particular, the Low Noise one was characterized by an average LCPX level at 50 km/h lower by more than 4 dB(A) compared to the contiguous Ante- operam pavement. Comparing the CPB results, the Low Noise pavement was characterized by a lower level of more than 2 dB(A) with respect to the contiguous Ante-operam one. The laying of low noise asphalts shown to be an effective way to reduce road traffic noise emissions, and thus the noise reaching citizens dwelling even around ports.

 

REFERENCES

 

  1. European Union. Directive 2002/49/EC of the European parliament and the Council of 25 June 2002 relating to the assessment and management of environmental noise. Off. J. Eur. Communities L 2002, 189, 2002.

  2. Licitra, G.; Bolognese, M.; Palazzuoli, D.; Fredianelli, L.; Fidecaro, F. Port noise impact and citizens’ complaints evaluation in RUMBLE and MON ACUMEN INTERREG projects. In Proceedings of the 26th International Congress on Sound and Vibration, Montreal, QC, Canada, 7–11 July 2019.

  3. Paschalidou, A.K.; Kassomenos, P.; Chonianaki, F. Strategic Noise Maps and Action Plans for the reduction of population exposure in a Mediterranean port city. Sci. Total Environ. 2019, 654, 144–153.

  4. Murphy, E., & King, E. A. (2012). Residential exposure to port noise: a case study of Dublin, Ireland. In The 41st International Congress on Noise Control Engineering, New York: Institute of Noise Control Engineering (INCE-USA), August 19-22, 2012

  5. Eco.Port Project (cod. 41). EU Co-Financed project through the European Regional Development Fund (ERDF) in the Framework of the Adriatic New Neighbourhood Program INTER REG/CARDS-PHARE 2000–2006. Available online: https://www.port.venice.it/it/progetto eco-port.html (accessed on 20 September 2020). (In Italian).

  6. NoMEPorts 2008. Noise Management in European Ports, LIFE05 ENV/NL/000018, Good Practice Guide on Port Area Noise Mapping and Management; Technical Annex; Environment-LIFE: Brussels, Belgium, 2008.

  7. SIMPYC 2008. Sistema de Integración Medioambiental de Puertos y Ciudades (Environmental Integration for Ports and Cities); LIFE04 ENV/ES/000216; Environment-LIFE: Brussels, Belgium, 2008.

  8. EcoPorts 2011. EcoPorts Project, Information Exchange and Impact Assessment for Enhanced Environmental-Conscious Operationsin European Ports and Terminals, FP5. Available online: http://cordis.europa.eu/project/rcn/87079_en.html> (accessed on 26 November 2020).

  9. Neptunes Project. Available online: https://www.neptunes.pro/ (accessed on 25 September 2020).

  10. Fredianelli, L., Bolognese, M., Fidecaro, F., & Licitra, G. (2021). Classification of noise sources for port area noise mapping. Environments, 8(2), 12. https://doi.org/10.3390/environments8020012

  11. Fredianelli, L., Gaggero, T., Bolognese, M., Borelli, D., Fidecaro, F., Schenone, C., & Licitra, G. (2022). Source characterization guidelines for noise mapping of port areas. Heliyon, e09021.

  12. Badino, A., Borelli, D., Gaggero, T., Rizzuto, E., & Schenone, C. (2012). Noise emitted from ships: impact inside and outside the vessels. Procedia-Social and Behavioral Sciences, 48, 868- 879. https://doi.org/10.1016/j.sbspro.2012.06.1064

  13. Witte,J. Noise from moored ships. In INTER-NOISE and NOISE-CON Congress and Conference Proceedings; Institute of Noise Control Engineering: Reston, VA, USA, 2010; pp. 3202–3211.

  14. Di Bella, A., & Remigi, F. (2013, June). Prediction of noise of moored ships. In Proceedings of Meetings on Acoustics ICA2013 (Vol. 19, No. 1, p. 010053). Acoustical Society of America. https://doi.org/10.1121/1.4799451

  15. Santander, A.; Aspuru, I.; Fernandez, P. OPS Master Plan for Spanish Ports Project. Study of potential acoustic benefits of on-Shore power supply at berth. In Proceedings of the Euronoise 2018, Heraklion-Crete, Greece, 27–31 May 2018.

  16. Badino, A.; Borelli, D.; Gaggero, T.; Rizzuto, E.; Schenone, C. Acoustical impact of the ship source. In Proceedings of the 21st International Congress on Sound and Vibration, Beijing, China, 13–17 July 2014; pp. 13–17.

  17. Di Bella, A.; Remigi, F.; Fausti, P.; Tombolato, A. Measurement methods for the assessment of noise impact of large vessels. In Proceedings of the 23rd International Congress on Sound & Vibration, Athens, Greece, 10–14 July 2016.

  18. Fausti, P.; Santoni, A.; Martello, N.Z.; Guerra, M.C.; Di Bella, A. Evaluation of airborne noise due to navigation and manoeuvring of large vessels. In Proceedings of the 24th International Congress on Sound and Vibration, London, UK, 23–27 July 2017.

  19. Bernardini, Marco, et al. "Noise assessment of small vessels for action planning in canal cities." Environments 6.3 (2019): 31. https://doi.org/10.3390/environments6030031

  20. Nastasi, M., Fredianelli, L., Bernardini, M., Teti, L., Fidecaro, F., & Licitra, G. (2020). Parameters Affecting Noise Emitted by Ships Moving in Port Areas. Sustainability, 12(20), 8742. https://doi.org/10.3390/su12208742

  21. Fredianelli, L., Nastasi, M., Bernardini, M., Fidecaro, F., & Licitra, G. (2020). Pass-by characterization of noise emitted by different categories of seagoing ships in ports. Sustainability, 12(5), 1740. https://doi.org/10.3390/su12051740

  22. Schenone, C.; Pittaluga, I.; Borelli, D.; Kamali, W.; El Moghrabi, Y. The impact of environmental noise generated from ports: Outcome of MESP project. Noise Mapp. 2016, 3. https://doi.org/10.1515/noise-2016-0002

  23. Hanaoka, S., & Regmi, M. B. (2011). Promoting intermodal freight transport through the development of dry ports in Asia: An environmental perspective. Iatss Research, 35(1), 16-23. https://doi.org/10.1016/j.iatssr.2011.06.001

  24. Alsina-Pagès, R.M.; Socoró, J.C.; Barqué, S. Survey of Environmental Noise in the Port of Barcelona. In Proceedings of the Euronoise—European Conference on Noise Control, Crete, Greece, 27–31 May 2018.

  25. UNI EN ISO 11819-2 Acustica - Misurazione dell'influenza delle superfici stradali sul rumore da traffico - Parte 2: Metodo per la misura del rumore di rotolamento in prossimità del pneumatico (2017).

  26. ISO / TS 11819-3 Acoustics — Measurement of the influence of road surfaces on traffic noise — Part 3: Reference tyres (2017).

  27. . UNI EN ISO 11819-1 Acustica - Misurazione dell'influenza delle superfici stradali sul rumore da traffico - Metodo statistico applicato al traffico passAnte (2004).

  28. Norme Française, NF S31-119-2:2000 Acoustics – in Situ Characterization of the Acoustic Qualities of Road Surfaces – Pass by Acoustic Measurement – Part 2: Controlled Pass-By Method, Afnor editions, 2000.

 


g.licitra@arpat.toscana.it

luca.fredianelli@ipcf.cnr.it

acustica@i-pool.it

francesco.fidecaro@unipi.it