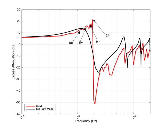
A A A Volume : 44 Part : 2 Passive amplification of acoustic signals using surfaces with periodic roughness Alexander Stronach 1 RPS Group 5 New York Street, Manchester, M1 4JB Keith Attenborough 2 The Open University Walton Hall, Milton Keynes, MK7 6AA Shahram Taherzadeh 3 The Open University Walton Hall, Milton Keynes, MK7 6AAABSTRACTExperimental and numerical studies using the Boundary Element Method (BEM) of the sound field generated over periodically spaced rectangular strips show that signals at audio frequencies may be passively amplified through interactions between the incident sound field and the rough surface. Roughness with sub-wavelength dimensions give rise to air-borne acoustic surfaces waves which arise when the rough surface has a high reactive component to its surface impedance and are considered as a slit-pore impedance surface with rigid backing. Surface waves result in excess attenuation spectra with anomalous maxima greater than the 6.02 dB associated with construction interference above an acoustically rigid surface. Increasing the roughness dimensions reduces the surface reactance and, therefore, the surface wave magnitude. Enhancements arising for larger spacings can be attributed to effects due to the finite width and periodicity of the array, quarter wavelength resonances within the gaps between elements, and Bragg Diffraction. Excess attenuation spectra and pressure maps of the total field above the rough surface show interesting features at the frequencies of signal enhancement. These features are attributable to the finite width of the array and resonant effects. Investigating the sound field over roughness allows for the surface dimensions to be modified to enhance any frequency of interest and yields deeper understanding of the sound field over roughness.1 alex.stronach@rpsgroup.com 2 keith.attenborough@open.ac.uk 3 shahram.taherzadeh@open.ac.uktt inter-ncie’” SCOTTISH evENT CAMPUS 3) O , o iLASGOW 1. INTRODUCTIONThe generation of airborne acoustic surface waves above a surface with a high reactive component to its surface impedance (e.g., porous media) is known to provide acoustic signal enhancement of magnitudes greater than that associated with constructive interference due to total reflection off an acoustically rigid surface [1,2]. Surface waves are identifiable as a peak in excess of 6 dB in excess attenuation spectra and decay cylindrically with horizontal distance. Their magnitude decreases exponentially with height above the surface. Brekhovskikh [3] studied sound propagation over ‘comb-like’ surface with a purely imaginary, spring-like, elastic impedance. Brekhovskikh considered Rayleigh waves as a degenerate case of the reflection of plane waves at a boundary. It was found that liquids and gases do not support surface wave propagation since the mean kinetic energy is greater than the mean potential energy. However, surface waves can cling to a surface with a purely imaginary impedance. The plane wave amplitude decreases exponentially with heigh above the surface and has a phase velocity which is less than that in free space. It was also shown that a comb-like surface on a rigid-backed layer may be represented as a thin layer of air with acoustically rigid backing with a surface impedance given by,𝑍= 𝜌𝑐[𝑖𝑐𝑜𝑡ℎ(𝑘𝑙)] (1) Brekhovskikh assumed infinitely thin strips and, thus, does not provide a realistic model. However, this idealized case shows how propagation over a periodic surface may be modelled as that over an impedance layer Tolstoy [4] provides a more detailed formulation for the sound field above rough boundary between two fluids with differing densities. He showed that the result derived by Brekhovskikh can be derived by applying the Biot boundary wave theory to long wavelengths. Biot’s formulation replaces the scattering elements forming a rough surface with a smooth distribution of dipole and monopole sources assuming that the size of the roughness, 𝑑 , and spacing between roughness elements, ℎ , is significantly less than the wavelength of incident sound such that!#" ≪" ≪1 . The application of a simple effective boundary condition relating to the packing and shape of the roughness, as well as the number of elements per unit area. Tolstoy showed that for rigid, hemispherical bosses under far-field conditions, at grazing angles, the scattered wave is the surface wave given by,𝑃 $ = 𝜍(2𝜋𝑟) %&/( 𝑘 )/( 81 + 𝜌 &%(:(2)𝜌 (where 𝜌 & ≠𝜌 ( and 𝜍 is the scattering parameter which has dimensions of length and is related to the volume of roughness elements per unit area. Medwin [5] validated the result derived by Tolstoy and determined that the scattered wave at the boundary does indeed exhibit a greater amplitude than that of the smooth surface direct wave. He conducted measurements of spherical pulses over hemispherical and spherical bosses and found that the resulting boundary waves propagated as 𝑘 )/( and 𝑟 &/( . The direct field was generated with a point source emitting a normalised spectrum with amplitude 𝑃 * = (2𝜋𝑟) %& yielding an amplitude ratio of,𝑃 $ 𝑃 *= 𝜍(2𝜋𝑟) &/( 𝑘 )/( 81 + 𝜌 &%&:(3)𝜌 ( At long ranges, it was found that the results deviated from the above relationships. This deviation may arise as a result of the effect of incoherent scatter dominating after a certain range. Alternatively, it may be that the phase lag between scattered elements results in destructive interference between the contributions. Tolstoy [6] determined that the boundary wave mode arises because of multiple coherently scattered sound waves travelling parallel to the boundary with energy highly concentrated near the surface between the tightly packed roughness elements. The inclusion of incoherent scatter losses for large 𝑘𝑟 yields a result which agrees with the experimental results of Medwin thus providing a complete theory for sound propagation near grazing over surfaces with roughness obeying the conditions above. Tolstoy considers the generation of surface waves in the high frequency limit where scattering dominates. At audio frequencies, resonant effects due to interactions in the spacings between roughness element become increasingly significant and is considered later in this paper. Poroelastic surfaces also have a large surface reactance and thus, depending on their impedance properties, may support surface wave generation. These conditions generally don’t occur naturally and, thus, model impedance surfaces and metamaterials provide useful means of generating the conditions require to support surface wave generation. Daigle [7] observed the sound field generated by pulses over a rectangular lattice structure placed on a wooden board (this surface was previously found by Donato [8] to generate surface waves which vertically attenuate exponentially, in agreement with his theory). It was found that it is possible to separate the surface wave in the time-domain as a late-arrival due to the reduced complex phase speed of the surface wave relative to that of sound waves in air. Surface waves have been observed due to scattering by comb-like impedance gratings by Zhu et al. [9] He found that when the grating period is much less than the wavelength (i.e at low frequencies), no surface wave can be excited since the since the grating structure has the equivalent impedance to a planar surface. Incident wavelengths which are comparable to the grating were shown to generate surface waves at high frequencies, with high amplitudes further influenced by resonant effects. It should be noted, however, that gratings with localised sound sources can generate low frequency surface waves over gratings with the appropriate structure. Indeed, Bashir et al. [10] investigated surface wave generation over periodically-spaced rectangular strips placed on a rigid boundary. Results of these measurements exhibited signal enhancement at lower frequencies corresponding to a surface wave with a reduced phase speed than that of sound in air, as well as an amplitude which decays exponentially with height above the surface. Bashir also attempted to model periodic strip elements and single, double, and triple lattice layers. A slit-pore impedance model provided good agreement with measured results in which the strip surface can be modelled as a locally reacting, rigid-framed, hard-backed slit-pore layer with an effective depth slightly in excess than the height of the strips (providing the spacing between strips was 50% or less than the height). In this paper, the total sound field generated over a periodic array of rectangular elements with sub - wavelength roughness is investigated. Measurements of excess attenuation under anechoic conditions are presented and compared with numerical simulations using the Boundary Element Method to investigate the extra enhancement effects which arise due to resonant effects within roughness gaps, as well as due to the periodicity of the surface itself. These results are compared with calculations of excess attenuation using the Slit-Pore Impedance Model. 2. SLIT-PORE IMPEDANCE MODELA comb-like surface made from parallel rectangular strips can be considered to act acoustically as a hard-backed locally reacting rigid porous layer composed of slit-like pores [10]. The slit-pore impedance model is applicable where viscous and thermal boundary layers exist due to sound propagation between the slits. The ground may be characterised by a complex density 𝜌(𝜔) , and a complex compressibility 𝐶(𝜔) ,which account for the viscous and thermal effects respectively.𝜌(𝜔) = 𝜌 + 𝐻 ( 𝜆 ) (4)𝐶(𝜔) = 1A𝛾−(𝛾−1)𝐻C𝜆 D𝑁 ,- FG (5)𝛾𝜌 +𝐻(𝜆) = 1 − tanh C 𝜆√ 𝑖 F, 𝜆= N 3𝜔𝜌 + 𝑇(6)Ω𝑅 .𝜆 √𝑖The function 𝐻(𝜆) is the complex density function, (𝛾𝜌 + ) %& is the adiabatic compressibility of air, 𝛾 is the ratio of specific heats, 𝑁 ,- is the Prandtl number, Ω is the porosity and 𝑅 . is the flow resistivity. The dimensionless parameter 𝜆 can be related to the flow resistivity of the bulk material using the Kozeny-Carman formula,𝑅 . = 2𝜇𝑇𝑠 +( (7)Ω𝑟 #where 𝑇 is the tortuosity ( 𝑇 = 1 for vertical slits), 𝜇 is the viscosity, 𝑠 + is the pore shape factor ( 𝑠 + =1.5 for slit-like pores) and 𝑟 # is the hydraulic radius which can be taken to be half the value of the edge- to-edge spacing, between roughness elements. The bulk propagation constant, 𝑘(𝜔) and the relative characteristic impedance, 𝑍 / (𝜔) can be written as,𝑘(𝜔) = 𝜔 D 𝑇 𝜌 ( 𝜔 ) 𝐶 ( 𝜔 ) (8)Ω ( : 𝜌 ( 𝜔 )𝑍 / (𝜔) = 1 𝜌 + 𝑐 +N8 𝑇𝐶(𝜔) (9)3. SURFACE WAVE GENERATIONMeasurements of excess attenuation have been undertaken to investigate the sound field generated by a point source above an array of periodically-spaced rectangular strips placed upon an acoustically rigid surface, with a focus on airborne acoustic surface wave generation. These results have been compared to simulations using Boundary Element Method software developed by Taherzadeh [11] which has the benefit of not requiring discretisation of the ground surface, instead treating the as an impedance layer.3.1. Measurement Methodology Measurements were undertaken under anechoic conditions of the excess attenuation spectrum associated with the sound field generated above periodically-spaced rectangular strips. Excess attenuation is defined as the spectrum of the ratio between the total sound field over a given surface and the sound field in the absence of the ground surface, given by, 𝐸𝐴= 20 log &+ 8 𝑃 01234: (10)𝑃 *567/2An array of 30 rectangular strips with a height of 0.25 m and a width of 0.013 m were arranged on a square slab of MDF separated by 0.015 m, with the source and receiver placed at a height of 0.25 m above the strip surface. The source and receiver were separated by a distance of 0.80 m. The input signal used for measurements of excess attenuation was a Maximum Length Sequence (MLS) pulse due to the good signal-to-noise ratio. A Ricker Pulse centred at the surface wave frequency (EA > 6 dB) was used for time-domain measurements which show surface waves as a later arrival from the main pulse due their reduced phase speed. A National Instruments NIDAQ-USB- 6259 digital to analogue converter was used to convert the signal which was then amplified using a Cambridge Audio amplifier. A Tannoy driver was loudspeaker then generated the signal which was detected by a Bruel & Kjaer Type 4189-B microphone. This signal was converted back to a digital signal for processing in MATLAB. Measurements of phase speed were undertaken by mounting a microphone to a motorised tracker and incrementally increasing the source-receiver distance by 0.01 m over a number of measurements. The phase speed may be determined using the phase gradient method [12]. This method exploits the fact that the unwrapped phase angle at a given frequency, 𝑓 , varies linearly with distance from the source, with the wave number, 𝑘 , being the gradient allowing the phase speed to be calculated using the ratio of the two. The results may be compared to BEM simulations following the same calculation procedure using the output of complex pressure.3.1. Surface Wave Speed The measured excess attenuation spectrum is presented in figure 1(a) below. The surface wave is visible near 2 kHz as a peak greater than 6 dB. The excess attenuation maxima at higher frequencies arise due to the roughness assisted ground effect [12] and Bragg-like diffraction effects. The surface wave speed, derived using the phase gradient method, is presented in figure 1 below. There is good agreement between measurement and simulation showing a reduced phase speed at the surface wave frequency of 302.7 ms -1 . The slit-pore model may be used to model the surface wave speed with increasing surface porosity, a calculated using equation 7 above, substituting the gap between strips for the hydraulic radius and assuming the tortuosity 𝑇 = 1, such that the porosity, Ω , and the flow resistivity, 𝑅 . may be expressed as:Ω = 𝑎 𝑎+ 𝑤 , 𝑅 . = 12𝜇Ω𝑎 ( (11)where 𝑎 is the spacing between the roughness elements and 𝑤 is the roughness width. The layer depth is equal to the strip height. The phase speed with increasing surface porosity is presented in figure 2 below. It can be seen that the surface wave speed decreases with increasing porosity. It should also be noted that the surface wave dispersion also decreases. Figure 1. (a) Excess attenuation spectrum and corresponding BEM simulation output for 30 periodically-spaced rectangular strips spaced by 0.015 m. (b) Phase speed as a function of frequency from measurements using a motorised tracker compared with the output of BEM.Excess Attenuation re Free Field (dB) 40! 240 330 Phase Speed (mis) g 8 8 280 [o] 10 10 Frequency (Hz) 600 800 000 1200 1400 1600 1800 2000 2200 Frequency (Hz)Figure 2. (a) Excess attenuation for strips modelled as an effective slit-pore impedance layer with a gap of 0.005 m and a thickness of 0.005 m, 0.10 m, 0.20 m, and 0.40 m. (b) Corresponding surface wave speed.3.2. Surface Wave Peak & Other Enhancement Features Further enhancement effects are visible close to the surface wave frequency. The first is enhancement which arises due to the impedance discontinuity resulting from the finite width of the array. This feature appears in measurements but not in simulations using the BEM since these simulations areExcess Attenuation (dB) J 300 & 200 Surface Wave 500 000 71500 2000-2500 ~—~—«3000~=~«S0~=~SC*« OO Frequency (Hz) 500 1000 +1500 2000 2500 3000 Frequency (Hz) undertaken in 2-dimensions. It can also be seen that this feature is reduced when strips of absorbent material are introduced to the ends of the array. The second feature is labelled in figure 3 as the peak due to resonance within the gaps between strips, similar to those in a pipe closed at one end. It is difficult to investigate these resonances experimentally due to the equipment required to probe within a gap of such small dimensions without interference. BEM simulations have therefore been undertaken for surfaces comprising 40 and 23 strips, respectively. Pressure maps have been generated of the sound field generated over the strips at the frequencies of interest. The excess attenuation spectra and corresponding contour plots are presented below.Finite Width EffectFinite Width EffectSurface Wave‘Extra’ FeatureExcess Attenuation re Free Field (dB) 10 20) 40! 2 —wret 5 = No Fot “ Win Fen * TE win Fon cen = E z 45 or ie 0008-001 0012 0014 0016 0018 Frequency (Hz) Time (8)Figure 3. (a) Excess attenuation spectrum and corresponding BEM simulation output for 30 periodically-spaced rectangular strips spaced by 0.015 m on MDF with and without absorbent material at the ends of the array. (b) Corresponding time-domain plot.Figure 4 . Excess attenuation spectrum obtained from a BEM simulation of 23 strips separated by 0.0534 m compared to the excess attenuation for the equivalent slit-pore layer.15 (ap) uowenueny ss60%3 Frequency (Hz) x(m)Figure 5. Total pressure field over 40 periodically-spaced strips at (a) 1.45 kHz, (b) 1.95 (Hz) and (c) 2.26 kHz.Te alFigure 6. Excess attenuation spectrum obtained from a BEM simulation of 40 strips by 0.0178 m compared to the excess attenuation for the equivalent slit-pore layer.) 108 Frequency (Hz) 108 10 e 2 8 8 ¢F 8 (Gp) uonenueny sse0x3 Figure 7. T otal pressure field over 23 periodically-spaced strips at (a) 1.13 kHz, (b) 1.45 kHz, (c) 1.68 kHz and (d) 1.86 kHz . Clear high-pressure regions can be seen attributable to quarter wavelength resonances forming in the gaps between strips. The end correction, 𝐸 , expected from these strip formations can be calculated using:𝜆 896 = 4(ℎ+ 𝐸) (12) where ℎ is the height of the roughness element. The end reflections calculated for the peaks above area presented in Table 1 below. These end reflections calculated for the above strip arrangements are in good agreement with the expected ranges. The frequency of the surface wave is not expected to change with the number of strips and thus the peak at 1.45 kHz is attributable to the surface wave. The first quarter-wavelength resonance for the 40 and 23 strip arrangements are likely to be 1.95 kHz and 1.68 kHz respectively since they fall closest to the expected range. 40 Strips (0.005 < E < 0.014)23 Strips (0.02 < E < 0.04) FrequencyEnd CorrectionFrequencyEnd Correctionof Peakof Peak(kHz)(m)(kHz)(m) 1.45 0.27 1.45 0.22 1.95 0.14 1.68 0.19 2.26 0.008 1.86 0.17Table 1. End reflections corresponding to peaks in the excess attenuation spectra, in relation toexpected range.The shape formed by the resonances indicates that there may be another resonant feature arising through interaction between the incident waves and the strip array. This feature has been found to arise due to spatial interference between the direct wave the surface wave. The pattern modulated onto the gap resonances resembles an interference pattern. It can be shown that this can be reproduced as a superposition of two waves by the function,𝑃= cos a 𝜔𝑥2 8 1+ 1:c cos a 𝜔𝑥2 8 1− 1:c (13)𝑐 &𝑐 (𝑐 &𝑐 (The second cosine function in equation 13 represents the interference pattern modulated onto the gap resonances where the argument is C 𝜔 𝑐 & d F𝑥 . The argument may be reduced to,1 𝑥 = 𝑓2 8 1− 1:(14)𝑐 &𝑐 (Where 𝑓 is the frequency of the surface wave and 𝑃 and 𝑥 is the length of the array. Substituting in the frequency and phase speed of the direct wave (1.86 kHz and 343 ms -1 , respectively) yields a surface wave speed of 𝑐 & = 273 ms -1 . Substitution of this lower phase speed into equation 13 yields the following wave pattern in figure 8(a), alongside a repeat of figure 7 (d) for reference. The wave pattern corresponds to the pattern exhibited by the regions of higher and lower pressure above the strip surface. This extra resonant effect can therefore be attributed to interference between the slower surface wave and the direct wave. Figure 8. The resulting wave of the superposition between the direct wave and surface wave, both of frequency 1857 Hz and speeds of 343 ms -1 and 273 ms -1 respectively (b) Total field over 23 strips at 1857 Hz.4. CONCLUSIONSSound incident upon roughness with sub-wavelength dimensions at audio frequencies gives rise to signal enhancement due to surface wave generation and interaction between the incident sound and the periodically rough surfaces. Measurements and simulations using the Boundary Element Method have shown that, when roughness spacing is small, the surface may be modelled as a slit-pore impedance layer with rigid backing. Extra enhancement features arise due to the finite width of the array, as well as quarter wave resonances and interference between the surface wave and the direct wave. 6. REFERENCES1s @) | 0s =e 8 ew epmydiny1. I. Bashir, S. Taherzadeh, K. Attenborough, ‘Surface waves over periodically-spaced strips’, J.Acoust. Soc. Am, 134 (6) (2013) 2. Stronach. A. An Investigation of the Sound Field Above a Surface With Periodically-SpacedRoughness , Doctoral Thesis, The Open University (2020) 3. L. M. Brekhovskikh, L.M, ‘Surface waves in acoustics,’ Sov. Phys. Acoust, 5 , 3 – 12 (1959) 4. Tolstoy,I, ‘The scattering of spherical pulses by slightly rough surfaces,’ J. Acoust. Soc. Am , 66(4), 1135 – 1144 (1979) 5. Medwin,H., D’Spain, G.L,. Childs, E., Hollis, S.J, ‘Low-frequency grazing propagation overperiodic steep-sloped rigid roughness elements,’ J. Acoust. Soc. Am , 76 (6), 1774 – 1790 (1984) 6. Tolstoy, I, ‘Coherent sound scatter from a rough interface between arbitrary fluids with particularreference to roughness element shapes and corrugated surfaces,’ J. Acoust. Soc. Am , 72 (3), 960 – 972 (1981) 7. Daigle, G.A., Stinson, M.R., Havelock, D.I., ‘Experiments on surface waves over a modelimpedance plane using acoustical pulses,’ J. Acoust. Soc. Am , 99 (4), 1993 – 2005 (1996) 8. Donato, R.J, ‘Model experiments on surface waves’, J. Acoust. Soc. Am , 63(3) , 700 – 703 (1978) 9. Zhu, W., Stinson, M.R., Daigle, G.A., ‘Scattering from impedance gratings and surface waveformation,’ J. Acoust. Soc. Am , 111 , 1996 – 2012 (2002) 10. Bashir, I., Taherzadeh, S., Attenborough, K., ‘Surface waves over periodically-spaced strips’, J.Acoust. Soc. Am, 134 (6) (2013) 11. Taherzadeh, S., Li, K.M., Attenborough, K., A Hybrid BIE/FFP Scheme for Predicting BarrierEfficiency Outdoors, J. Acoust. Soc. Am, 110 (2), 918 (2001) 12. Bashir, I,. ‘Acoustical Exploitation of Rough, Mixed Impedance and Porous SurfacesOutdoors,’ PhD Thesis, The Open University (2014), Previous Paper 187 of 808 Next