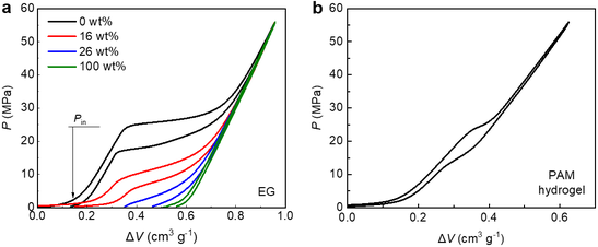
A A A Volume : 44 Part : 2 Nanofluidic Attenuation of Metal-Organic Frameworks Heting Xiao University of Birmingham School of Engineering, University of Birmingham, Edgbaston, Birmingham, B15 2TT, UK Central South University School of Traffic & Transportation Engineering, Central South University, Changsha, Hunan, 410075, P.R. China Hebin Jiang University of Birmingham School of Engineering, University of Birmingham, Edgbaston, Birmingham, B15 2TT, UK Haixia Yin University of Birmingham School of Engineering, University of Birmingham, Edgbaston, Birmingham, B15 2TT, UK Yueting Sun 1 University of Birmingham School of Engineering, University of Birmingham, Edgbaston, Birmingham, B15 2TT, UKABSTRACTPorous materials with energy absorption characteristics have been used for attenuation against haz- ardous vibrations and noises. The intrusion of liquid water and aqueous solutions into hydrophobic nanoporous materials such as metal-organic frameworks (MOFs) present an attractive pathway to engineering new attenuation technologies. In this process, hydrostatic pressure forces water to in- trude hydrophobic nanopores, thereby converting mechanical work into interfacial energy through nanoscale interfacial interactions. Once the external pressure is removed, water molecules can flow out of the nanopores spontaneously, making the system reversible. We envision that this mechanism has the potential of innovating attenuation technologies, so in this work we provide a preliminary study in this direction. We investigate a material system consisting of water and a commonly used MOF, zeolitic imidazolate framework-8 (ZIF-8) and demonstrate its reversibility and stability under cyclic pressurization, considering its performance at various peak pressures and frequencies, its tunability in terms of intrusion pressure, and its potential in hydrogel forms. These features are im- portant for potential attenuation technologies based on this novel mechanism.1 y.sun.9@bham.ac.ukworm 2022 1. INTRODUCTIONAcoustic attenuation using porous materials has been studied for decades [1-5].They have low density, large surface area, and good energy absorption properties [6]. Different from resonance sound absorption materials which dissipate energy through structure resonance [7-10], porous mate- rials can work within a broader range of frequencies [8, 11] as the fluid inside porous structures involves a variety of energy absorption process such as structure vibration, solid-fluid friction, vis- cous fluid flow, heat exchange, etc [12, 13]. Traditional soundproof porous materials include organic or inorganic fibers and foams: organic fibers such as cotton and wood are effective at medium and high frequencies (>500 Hz) but have concerns around fireproofing or corrosion resistance [14]; inor- ganic fibers such as rockwool and glass wool are mothproof, anti-corrosion, and noncombustible but are fragile [15]; polymer foams are light-weight and heat-insulated but unsatisfactory in anti-aging and fireproofing performances [16]; ceramic foams are resistant to high temperature but is heavy and brittle [17]; metal fibers and foams are with good mechanical property and chemical stability but their pore size and shape are not easy to control in manufacturing [18]. There have been encouraging de- velopment of sound-absorbing metamaterials in the past two decades [19-24] and some of them can work well at low frequencies (<500 Hz) but far from mass production [25]. More research is needed to develop new acoustic attenuation materials and mechanisms.MOFs are a class of hybrid nanoporous materials composed of metal ions and organic linkers, well-known for their ultra-high surface areas (1,000–10,000 m 2 g −1 ) as well as highly tunable frame- work architectures and chemical compositions. MOFs have been used in the fields of gas separation or absorption [26, 27], catalysis [28], drug delivery [29], energy absorption [30], but recently also emerging as a candidate for attenuation applications. Miller et al [31]. demonstrated that HKUST-1, FeBTC, and MIL-53(Al) are absorptive acoustic metamaterials for low-frequency attenuations. The acoustic absorption of fabrics can be improved by MIL-53(Fe) coating [32] which proves to be a better choice than polymers [33], metal particles [34], or microcapsules [35]. Similarly, the absorption of cotton textiles can also be improved by coating with ZIFs ( e.g.. , ZIF-8, ZIF-67, ZIF-71) [36]. These results demonstrated the great potential of MOFs and their composites in acoustic attenuation.In this work, we look at a new attenuation mechanism of MOFs, which is based on the pressurized liquid intrusion of hydrophobic MOF nanopores. This intrusion process has been shown to have good energy absorbing abilities [30, 37, 38]. Since the pore size of MOFs is at the nanoscale, comparable to the size of water molecules, during this water intrusion process, the bulk waters must split into water molecules to be able to enter and flow inside the MOF nanopores, therefore a substantial amount of energy can be absorbed. We envision that this process can enable acoustic attenuation in underwater environment, which has been a challenge for both traditional porous materials and acous- tic meta-materials [6, 25]. In an underwater environment shown in Scheme 1, the liquid intrusion and energy absorption process can be triggered by a combination of hydrostatic pressure and acoustic pressure, i.e. , the local pressure deviation from the ambient [13]. Water is abundant but not a good material for accoustic attenuation, its attenuation coefficient is close to zero [39]. However the nanoporous intrusion process may enable water to attenuate acoustic waves and address technical challenges for underwater and medical applications [40]. To this end, we carried out preliminary experiments on a MOF material called ZIF-8. We investigated its cyclic water intrusion process under different peak pressures and frequencies and its performances in ethylene glycol (EG) solution and PAM hydrogel. Compared with water, hydrogel has a higher attenuation coefficient but a very similar impedance with water which is higher than that of elastomers [41, 42]. In a water enviournment, impendance match means less acoustic reflection and therefore suitable for underwater and biomedical applications where water is abundant. Note that due to the high water content and biocompatibility, hydrogel has already been widely used in areas like tissue engineering [43], biosensors [44], drug delivery [45], and photoacoustic imaging [46]. Scheme 1. Acoustic attenuation by water intrusion.2. EXPERIMENTAL AND RESULTSZIF-8 (Basolite Z1200) and N,N,N’,N’-tetramethylethylenediamine (TEMED, 99%) were pur- chased from Sigma Aldrich. Acrylamide (AM, 99+%), Ammonium persulfate (APS, ≥98.0%), N, N- methylene-bis-acrylamide (MBAA, 99%), and ethylene glycol (EG, 99%) were purchased from Fisher Scientific. 25 mg ZIF-8 powder and 0.1 ml deionized (DI) water were combined and sealed in a stainless-steel cylindrical chamber with two pistons. The diameter of the sample is 6 mm, and the initial sample length was 3 mm ( ca. 0.1 ml). If ethylene glycol was used, its aqueous solution was prepared before being mixed with ZIF-8. MOF@PAM hydrogel was prepared by the method modi- fied from a previous study[47]: firstly, 810 mg AM, 40 mg APS, and 90 mg MBAA were added into 10 ml DI water in a capped vial under magnetic stirring for 10 min to obtain the gel solution, then 500 mg ZIF-8 powder was added in the gel solution and kept stirring until a homogeneous suspension was obtained, and finally, the suspension was transferred into a glass petri dish and 20 µl TEMED was added, then the ZIF-8@PAM hydrogel would form in 5 minutes. Compression tests were carried out on Instron 5848 at different conditions. Once the applied compression force F reached the peak value 1.58 kN, the piston will draw back at the same speed as loading process. The F and displace- ment d were recorded and used to plot the pressure versus volume change ( P -Δ V ) curves. The pressure P = F / A with the cross-section area of the piston A =28.26 mm 2 and the volume change Δ V =( A × d )/ m with the mass of ZIF-8 powder m =25 mg.Figure 1a shows the P- Δ V curves of the ZIF-8 water system at 0.01 Hz (0.5 mm/min) for 20 cycles. This test was followed by another 20 cycles after a 7-day relaxation. The system undergoes a linear compression before water intrusion, corresponding to the elastic compression of water and ZIF-8 particles. When the pressure reaches 25 MPa, water molecules are forced into the ZIF-8 nanopores and therefore a plateau is gained on the P- Δ V curves. When the pore cavities are fully occupied by water molecules at the end of the plateau, another linear compression stage can be observed which is the compression on water and water-filled ZIF-8 particles. The unloading process has an extrusion plateau but at a lower pressure (~16 MPa) during which the intruded water molecules escape from ZIF-8 nanopores. The system almost recovers to its initial state at the end of each cycle despite some minor changes due to the small amount of residual water molecules inside ZIF-8 cages. This however can be recovered through relaxation, as shown in Figure 1a and the inset of Figure 1b. These perfor- mances are consistent with our previous work [38] and confirms the reversibility of the material. The performance after 7 days is very similar to the fresh material, indicating a good stability as well.In Figure 1b the same system is tested with different peak pressures at 0.01 Hz, the results show that the energy absorption increases with the peak pressure of the excitation if the pore volume is not filled up by the water under such peak pressures (Figure 1d). Therefore, it is important to design the intrusion pressure according to the anticipated pressure applied onto the system to meet the energy absorption target. Figure 1c shows the results under a peak pressure of 26.9 MPa at different frequen- cies or compression rates (0.5-30 mm/min). The five consecutive cycles have similar performances but Figure 1d shows that the highest energy absorption is obtained at the lowest frequency 0.01 Hz, which can be ascribed to the lower intrusion pressure at that frequency. This is consistent with the finding in our previous work that the intrusion pressure of ZIF-8 increases with higher strain rates [30]. Therefore, frequency is also an important design factor for this material system to work for acoustic attenuation. Note that the high-rate intrusion of ZIF-8 at 10 -3 s -1 demonstrated in our previous work [30] indicates that this system can work well at frequencies as high as kHz, although acoustic experiments are needed to confirm this further. In fact, in the same work [30] molecular simulations show that the water transport across ZIF-8 cages happens at nanosecond timescale so there is a huge scope to design materials at molecular and crystal levels to gain desired performances at target fre- quency levels.Figure 1: Water intrusion of ZIF-8 under different conditions, offset horizontally for comparison in (a-c), (a)20 cycles at 0.01 Hz followed by another 20 cycles after a 7-day relaxation, (b) Different peak pressures at 0.01 Hz. (c) Different frequencies with peak pressure of 26.9 MPa. (d) Energy absorption density E ab fromthe results in (b) with different peak pressures and the results in (c) at different frequencies f .Acoustic excitation can provide different levels of pressure applied on the material, so it is im- portant to achieve controllable intrusion pressure. Compared with water, alcohols have a higher af- finity with hydrophobic MOFs so they may enter the nanopores spontaneously without external pres- sure [38, 48]. In an alcohol solution, alcohol molecules can bond with water molecules and promote the intrusion process, so the intrusion pressure can be adjusted by tuning the alcohol concentration [49]. Figure 2a demonstrates the effect of ethylene glycol (EG) on ZIF-8 intrusion. The intrusion pressure decreases from 25 MPa to 0 MPa when EG concentration increases, so this is a facial method to obtain the desired intrusion pressure and to work for different excitations. Furthermore, we also fabricated ZIF-8@PAM hydrogels by embedding ZIF-8 particles into the hydrogel network to see if the water in the hydrogel network can still intrude the ZIF-8 nanopores. Figure 2b shows the first successful example of MOF water intrusion inside hydrogel, evidenced by the intrusion plateau and energy absorption. It is worth noting that there can be two mechanisms contributing to the acoustic attenuation of this kind of hybrid hydrogel. In addition to the energy absorbing water intrusion process, the decrease of total water fraction in hydrogel as a result of the intrusion process may also play a role here. Hydrogel is a hydrophilic polymer network absorbed with large amount of water in either free fluid state or bonded with polymer chains. It’s found that a lower total water fraction, when it is above 40%, can enhance the attenuation of the hydrogel under ultrasonic excitations, underpinned‘P(MPa) ‘P(MPa) P (MPa) —55.9 Pal "26.9 MPa— 35.4 MPa| 26.2 MPa— 30.0 MPa| 10 —255 mPa— 28.3 wPa| — 248 MPa— 276 MPa| os 0S 0 80 oz 04 08 08 AV em? g") AV (em? 9") a? 60 Him oot kez = 0.10 He [020 Hz 7 50 a Joo He "| Goss nz 40 © | Peak pressure ya a 30 02 OF OG 08 AV (em? g") (Hz) by the different energy dissipation mechanisms of free water and bonded water in the hydrogel [41, 50, 51].This is exciting, and taking into account the impedance match with water, we believe this kind of MOF hydrogels hold a great potential in future attenutaing technologies and need future investigations.Figure 2: ZIF-8 intrusion in other systems, including (a) EG solutions of various concentrations, (b)PAM hydrogel.3. CONCLUSION AND OUTLOOKThe energy absorption through the liquid intrusion of hydrophobic MOFs provides a novel path- way to acoustic attenuation. As a preliminary demonstration of this new concept, we have shown that ZIF-8 water system works well with good stability and reversibility under cyclic pressurization. The peak pressure and frequency are important design factors for this kind of material system to be used for acoustic attenuation. The intrusion pressure can be tuned by adding alcohols as intrusion promo- tors, and the system should be able to work at frequencies up to kHz or even higher underpinned by the nanosecond timescale of the water transport process. MOF hydrogels consisting of hydrophobic MOF particles and hydrophobic hydrogel network hold a great potential in acoustic attenuation due to the intrusion process and the resultant water fraction change.These preliminary investigations and exciting findings from this work provide a good foundation to call for more investigations into this direction. It should be a combined effort from different disci- plines and communities. For example, acoustic tests should be carried out to examine how the liquid intrude nanopores under different levels of hydrostatic pressure and acoustic pressure. Such acoustic excitation is far more complex than the loading condition of compression or impact tests, because the hydrostatic pressure can be either below or above the intrusion pressure, and the acoustic pressure can have a range of different amplitudes and frequencies. Our research has demonstrated the rapid response of the water intrusion process, however its behaviour at the ultrasound range above MHz still needs to be demonstrated. Moreover, some possible phenomena under high pressure and fre- quency such as cavitation and temperature variation should also be considered. The expectation is that the new knowledge base from these future investigations can be used to guide material design and eventually lead to disruptive attenuation technologies.4. ACKNOWLEDGEMENTSY.S. thanks the UKAN+ (R/165573) and the Royal Society (RGS\R2\202116, IEC\NSFC\211069) for their support. H.J. acknowledges the University of Birmingham and China Scholarship Council, and H.X. acknowledges the Central South University for their scholarships.‘P(MPa) b6o 02 50 40 $ 30 a 20 10 PAM hydrogel tats as 0 02 oa 06 AV(cm’ g') ‘Av¢em? g") 5. REFERENCES1. Sun, Y., Chu, Y., Wu, W. & Xiao, H. Nanocellulose-based lightweight porous materials: Areview. Carbohydr Polym, 255 , 117489 (2021). 2. Kalauni, K. & Pawar, S. J. A review on the taxonomy, factors associated with sound absorptionand theoretical modeling of porous sound absorbing materials. Journal of Porous Materials, 26(6) , 1795-1819 (2019). 3. Cao, L., Fu, Q., Si, Y., Ding, B. & Yu, J. Porous materials for sound absorption. CompositesCommunications, 10 , 25-35 (2018). 4. Sagartzazu, X., Hervella-Nieto, L. & Pagalday, J. M. Review in sound absorbing materials.Archives of Computational Methods in Engineering, 15(3) , 311-342 (2008). 5. Kelly, A. Why engineer porous materials? Philos Trans A Math Phys Eng Sci, 364(1838) , 5-14(2006). 6. Liu, P. S. & Chen, G.-F. Porous Materials: Processing and Applications , Elsevier. (2014). 7. Komkin, A. I., Mironov, M. A. & Bykov, A. I. Sound absorption by a Helmholtz resonator.Acoustical Physics, 63(4) , 385-392 (2017). 8. Cobo, P. & de Espinosa, F. M. Proposal of cheap microperforated panel absorbers manufacturedby infiltration. Applied Acoustics, 74(9) , 1069-1075 (2013). 9. Arenas, J. P. & Ugarte, F. A note on a circular panel sound absorber with an elastic boundarycondition. Applied Acoustics, 114 , 10-17 (2016). 10. Hamdan, N. I., Zainulabidin, M. H., Kasron, M. Z. & Kassim, A. S. M. Effect of perforation sizeon sound absorption characteristics of membrane absorber. International Journal of Integrated Engineering, 10(4) (2018). 11. Wang, X., Li, Y., Chen, T. & Ying, Z. Research on the sound absorption characteristics of porousmetal materials at high sound pressure levels. Advances in Mechanical Engineering, 7(5) , 1687814015575429 (2015). 12. Rahimabady, M., Statharas, E. C., Yao, K., Sharifzadeh Mirshekarloo, M., Chen, S. & Tay, F. E.H. Hybrid local piezoelectric and conductive functions for high performance airborne sound absorption. Applied Physics Letters, 111(24) , 241601 (2017). 13. Lu, T. J., Hess, A. & Ashby, M. F. Sound absorption in metallic foams. Journal of AppliedPhysics, 85(11) , 7528-7539 (1999). 14. Asdrubali, F., Schiavoni, S. & Horoshenkov, K. V. A review of sustainable materials for acousticapplications. Building Acoustics, 19(4) , 283-311 (2012). 15. Sanchis, E. J., Alcaraz, J. S., Borrell, J. M. G. & Fernández, J. A. Experimental investigation andnumerical simulation of the acoustic waves propagation in a standing wave tube: Testing with a sample of rockwool. Experimental Techniques, 37(4) , 74-80 (2013). 16. Lee, S.-T., Park, C. B. & Ramesh, N. S. Polymeric Foams: Science and Technology , CRC press.(2006). 17. Du, Z., Yao, D., Xia, Y., Zuo, K., Yin, J., Liang, H. & Zeng, Y.-P. The sound absorptionproperties of highly porous silicon nitride ceramic foams. Journal of Alloys and Compounds, 820 , 153067 (2020). 18. Omar, M. Y., Xiang, C., Gupta, N., Strbik Iii, O. M. & Cho, K. Syntactic foam core metal matrixsandwich composite: Compressive properties and strain rate effects. Materials Science and Engineering: A, 643 , 156-168 (2015). 19. Lemoult, F., Kaina, N., Fink, M. & Lerosey, G. Wave propagation control at the deepsubwavelength scale in metamaterials. Nature Physics, 9(1) , 55-60 (2012). 20. Haberman, M. R. & Guild, M. D. Acoustic metamaterials. Physics Today, 69(6) , 42-48 (2016). 21. Ge, H., Yang, M., Ma, C., Lu, M.-H., Chen, Y.-F., Fang, N. & Sheng, P. Breaking the barriers:advances in acoustic functional materials. National Science Review, 5(2) , 159-182 (2018). 22. Zangeneh-Nejad, F. & Fleury, R. Active times for acoustic metamaterials. Reviews in Physics, 4(2019). 23. Ma, G. & Sheng, P. Acoustic metamaterials: From local resonances to broad horizons. ScienceAdvances, 2(2) , e1501595 (2016). 24. Kumar, S. & Lee, H. The present and future role of acoustic metamaterials for architectural andurban noise mitigations. Acoustics, 1(3) , 590-607 (2019). 25. Cummer, S. A., Christensen, J. & Alù, A. Controlling sound with acoustic metamaterials. NatureReviews Materials, 1(3) (2016). 26. Lin, R.-B., Xiang, S., Xing, H., Zhou, W. & Chen, B. Exploration of porous metal–organicframeworks for gas separation and purification. Coordination Chemistry Reviews, 378 , 87-103 (2019). 27. Yin, Q. & Liu, T. F. Relationship between MOF structures and gas absorption properties.Advanced Structural Chemistry: Tailor Made, Properties and Applications of Inorganic Materials, 3 , 833-879 (2021). 28. Lee, J., Farha, O. K., Roberts, J., Scheidt, K. A., Nguyen, S. T. & Hupp, J. T. Metal–organicframework materials as catalysts. Chemical Society Reviews, 38(5) , 1450-1459 (2009). 29. Cao, J., Li, X. & Tian, H. Metal-organic framework (MOF)-based drug delivery. CurrentMedicinal Chemistry, 27(35) , 5949-5969 (2020). 30. Sun, Y., Rogge, S. M. J., Lamaire, A., Vandenbrande, S., Wieme, J., Siviour, C. R., VanSpeybroeck, V. & Tan, J. C. High-rate nanofluidic energy absorption in porous zeolitic frameworks. Nat Mater, 20(7) , 1015-1023 (2021). 31. Miller, Q. R. S., Nune, S. K., Schaef, H. T., Jung, K. W., Denslow, K. M., Prowant, M. S., Martin,P. F. & McGrail, B. P. Microporous and flexible framework acoustic metamaterials for sound attenuation and contrast agent applications. ACS Appl Mater Interfaces, 10(51) , 44226-44230 (2018). 32. Chen, J., Li, H., Zhu, H., Gong, J., Zhang, C., Li, Z., Li, Q., Liu, X., Xu, J. & Zhang, J. Fabricationof flexible acoustic metamaterials by growing metal-organic frameworks on fabrics. Cellulose, 29(1) , 355-365 (2021). 33. Tang, X., Kong, D. & Yan, X. Facile dip-coating method to prepare micro-perforated fabricacoustic absorber. Applied Acoustics, 130 , 133-139 (2018). 34. Zhang, C., Gong, J., Zhang, J., Li, H. & Zhang, N. Sound absorption of gradient structure fabricsbased on functional finishing with metal compounds. Textile Research Journal, 89(19-20) , 3979- 3986 (2019). 35. Atiénzar-Navarro, R., Bonet-Aracil, M., Gisbert-Payá, J., del Rey, R. & Picó, R. Soundabsorption of textile fabrics doped with microcapsules. Applied Acoustics, 164 , 107285 (2020). 36. Zhang, K., Yang, Z., Mao, X., Chen, X.-L., Li, H.-H. & Wang, Y.-Y. Multifunctionaltextiles/metal− organic frameworks composites for efficient ultraviolet radiation blocking and noise reduction. ACS Applied Materials & Interfaces, 12(49) , 55316-55323 (2020). 37. Fraux, G., Coudert, F.-X., Boutin, A. & Fuchs, A. H. Forced intrusion of water and aqueoussolutions in microporous materials: from fundamental thermodynamics to energy storage devices. Chemical Society Reviews, 46(23) , 7421-7437 (2017). 38. Sun, Y., Li, Y. & Tan, J. C. Framework flexibility of ZIF-8 under liquid intrusion: discoveringtime-dependent mechanical response and structural relaxation. Phys Chem Chem Phys, 20(15) , 10108-10113 (2018). 39. Tang, X. M., Toksöz, M. N., Tarif, P. & Wilkens, R. H. A method for measuring acoustic waveattenuation in the laboratory. The Journal of the Acoustical Society of America, 83(2) , 453-462 (1988). 40. Zeqiri, B. & Bickley, C. J. A new anechoic material for medical ultrasonic applications.Ultrasound in Medicine & Biology, 26(3) , 481-485 (2000). 41. Chiarelli, P., Lanatà, A. & Carbone, M. Acoustic waves in hydrogels: A bi-phasic model forultrasound tissue-mimicking phantom. Materials Science and Engineering: C, 29(3) , 899-907 (2009). 42. Yuk, H., Lin, S., Ma, C., Takaffoli, M., Fang, N. X. & Zhao, X. Hydraulic hydrogel actuatorsand robots optically and sonically camouflaged in water. Nature Communications, 8(1) , 1-12 (2017). 43. Lee, K. Y. & Mooney, D. J. Hydrogels for tissue engineering. Chemical Reviews, 101(7) , 1869-1880 (2001). 44. Qin, M., Yuan, W., Zhang, X., Cheng, Y., Xu, M., Wei, Y., Chen, W. & Huang, D. Preparationof PAA/PAM/MXene/TA hydrogel with antioxidant, healable ability as strain sensor. Colloids and Surfaces B: Biointerfaces, 214 , 112482 (2022). 45. Hamidi, M., Azadi, A. & Rafiei, P. Hydrogel nanoparticles in drug delivery. Advanced DrugDelivery Reviews, 60(15) , 1638-1649 (2008). 46. Hariri, A., Palma-Chavez, J., Wear, K. A., Pfefer, T. J., Jokerst, J. V. & Vogt, W. C.Polyacrylamide hydrogel phantoms for performance evaluation of multispectral photoacoustic imaging systems. Photoacoustics, 22 , 100245 (2021). 47. Liu, H., Peng, H., Xin, Y. & Zhang, J. Metal–organic frameworks: a universal strategy towardssuper-elastic hydrogels. Polymer Chemistry, 10(18) , 2263-2272 (2019). 48. Li, X.-Y., Li, Y.-Z., Ma, L.-N., Hou, L., He, C.-Z., Wang, Y.-Y. & Zhu, Z. Efficient gas andalcohol uptake and separation driven by two types of channels in a porous MOF: an experimental and theoretical investigation. Journal of Materials Chemistry A, 8(10) , 5227-5233 (2020). 49. Sun, Y., Xu, C. & Li, Y. Intrusion of polyethylene glycol into solid-state nanopores. RSCAdvances, 8(17) , 9070-9073 (2018). 50. Chiarelli, P., Lanatà, A., Carbone, M. & Domenici, C. High frequency poroelastic waves inhydrogels. The Journal of the Acoustical Society of America, 127(3) , 1197-1207 (2010). 51. Prokop, A. F., Vaezy, S., Noble, M. L., Kaczkowski, P. J., Martin, R. W. & Crum, L. A.Polyacrylamide gel as an acoustic coupling medium for focused ultrasound therapy. Ultrasound in Medicine & Biology, 29(9) , 1351-1358 (2003). Previous Paper 778 of 808 Next