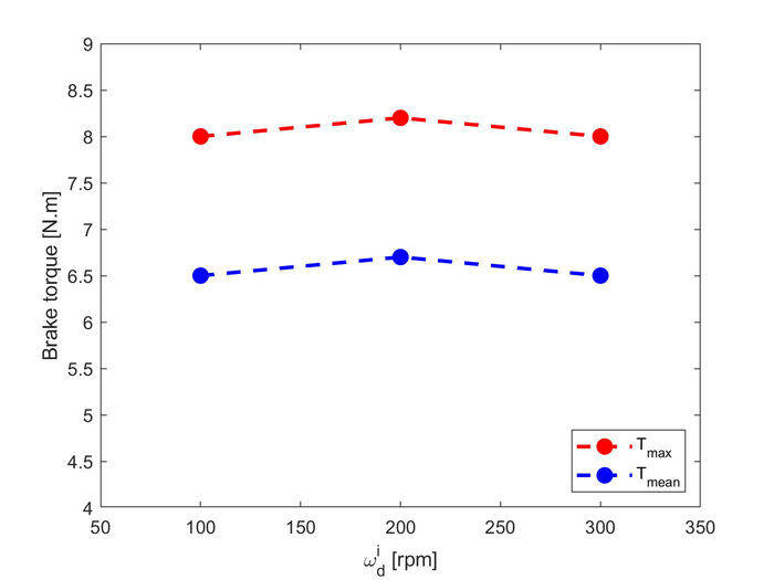
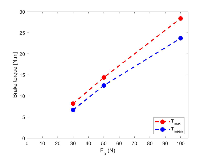
A A A Volume : 44 Part : 2 Noise generated by a drum brake at various operating conditionsAkash, Yella 1Indian Institute of Technology Tirupati Tirupati, Andhra Pradesh India-517619Aditya, Chaudhary 2Indian Institute of Technology Tirupati Tirupati, Andhra Pradesh India-517619Yuva Venkat Ajay, Bharinikala 3Indian Institute of Technology Tirupati Tirupati, Andhra Pradesh India-517619Sriram, Sundar 4Indian Institute of Technology Tirupati Tirupati, Andhra Pradesh India-517619ABSTRACT Drum brakes are frequently found on the rear side of heavy vehicles and budget two-wheelers. The noise radiated from these brakes during typical operation plays a critical role in the passenger ergonomics. The acoustic behavior of an automotive drum brake during braking depends significantly on vehicle speed and actuation force as they change frequently. This work attempts to experimentally estimate the e ff ect of these two braking conditions on the noise generated by a two-wheeler drum brake. A sub-scaled experimental setup (with instrumentation) of a drum brake has been developed for this purpose. The radiated sound pressure signals are captured as a result of varying these operating conditions. The acoustic e ff ect of each condition is quantified using the sound pressure data. It is envisioned that the experimental analyses presented in this work will be helpful in better understanding the dependence of acoustic characteristics on the braking conditions, further leading to improvements in the design of brakes.1 me18d506@iittp.ac.in2 me20m001@iittp.ac.in3 me19b008@iittp.ac.in4 sriram@iittp.ac.ina slaty. inter.noise 21-24 AUGUST SCOTTISH EVENT CAMPUS O ¥, ? GLASGOW 1. INTRODUCTIONDrum brakes are commonly found as safety components on the rear wheels of automotives due to their e ff ectiveness and simplicity in design. Friction and impact induced vibration during their operation generate significant noise. It is important to minimize the generated noise while maintaining the performance. The performance of a drum brake is largely indicated by the brake torque generated. In real-time, automotive brakes are subject to operation under various conditions of contact friction, actuation force, speed of the automotive during braking, and wear of the brake lining, to name a few. From a rider’s ergonomic perspective, it is essential to understand the e ff ect of these conditions on the noise level and performance of the drum brake.Many attempts have been made to study the wear, thermal, noise and dynamic aspects of drum brakes. For instance, Huang et al. [1] developed a numerical modeling approach to investigate the onset of squeal in a drum brake system. Ioannidis et al. [2] presented a non-linear contact analysis of a leading-trailing shoe drum brake using the finite element method. Hagino et al. [3] studied the emission of airborne brake wear particles due to non-asbestos organic friction material for two passenger cars and a middle-class truck. Day et al. [4] included the frictional heat generated during braking in the full analysis of a commercial vehicle drum brake, avoiding artificial heat partitioning for the dynamic simulation of heat transfer at the friction interface. Lee et al. [5] examined the vibro-acoustic noise radiated from an automotive brake drum by combining the finite element analysis with an analytical acoustic solution. More recently, Ramesh et al. [6] quantified the drum brake vibroacoustic noise over the audible frequency range using an integrated framework of non-linear vibration analytical model and a numerical acoustic model. Further, Yella et al. [7] compared the noise generated in two configurations of a drum brake using a non-linear vibro-acoustic model.The main objective of this paper is to study the e ff ect of two braking conditions, namely the actuation force and the brake drum speed, on the noise and brake torque generated in a two-wheeler drum brake. Di ff erent levels of actuation force and drum speed are considered, and the resulting variations in noise and brake torque are experimentally analyzed.2. METHODOLOGY2.1. Drum brake experiment with instrumentation A laboratory experiment was developed using a two-wheeler drum brake on the basis of sub-scaled kinetic energy concept. This controlled brake experiment is analogous to the operation of an in-situ two-wheeler drum brake system. The setup consists of a single two-wheeler drum brake connected to a flywheel through a shaft. The entire setup is supported by five stands, as shown in Figure 1. Four stands have bearings in them to allow rotation of the shaft connecting the flywheel and brake drum. A smaller, fixed axle connects the backing plate of the drum brake to the fifth stand (grounded). Parallel keys designed with a high factor of safety are utilized to lock the rotation of the flywheel, and brake drum, with the shaft.The flywheel comprises four thin circular discs of mild steel bolted together. The connecting shaft was designed to have the necessary torsional sti ff ness and withstand the shear stress caused during braking. The brake drum is indirectly joined to the connecting shaft using an aluminium connector. The brake shoes are activated using a mechanical cam system. This cam is operated through a lever to which known load can be applied. When the cam rotates, the shoes are forced into contact with the brake drum. Two retaining springs pull back the shoes to their original positions when the brake lever is released. A typical braking event is simulated by providing an initial angular velocity to Figure 1: Experimental setup with sensors.the flywheel using an electric motor, and the actuation forces are applied using the brake lever (not shown in the figure).Table 1 gives additional information on the instrumentation used in the setup to measure the acoustic and dynamic quantities during a braking event. Figure 2 shows the data acquisition systems (DAQs) used for recording and processing the measured signals.Table 1: Instrumentation details.Description Make and model 16-channel vibration recorder / analyzer OROS - OR386-channel torsional vibration recorder / analyzer VISPIRON ROTEC - RASdelta8Laser tachometer VISPIRON ROTEC - EILas2Telemetry type torque sensor Manner Sensor Telemetrie - I MannerFree field microphone PCB PIEZOTRONICS - 378B02Three levels each, for the actuation force ( F a ), and the initial drum speed ( ω i d ), were considered for analysis as given in Table 2, and the sound radiating from the drum surface was measured using two microphones alongside brake torque for all the braking events. Measurements were taken for each braking condition separately by keeping the other condition constant (at medium level).2.2. Post-processing of acoustic signals The acoustic pressure signals were collected for all tests using two microphones, positioned radially in X and Y directions with respect to the brake drum, as shown in Figure 3. From each signal, only the initial time frame of 2s having high intensity is used for further analysis. Figure 4 shows a typical acoustic pressure signal as measured by the two microphones at F a = 100 N and ω i d = 300 rpm . This is done to focus on the maximum noise generated near the drum surface in a braking event.Then, the root mean square of each cropped signal was calculated and taking a reference pressure Figure 2: DAQ systems used for collecting data.Table 2: Levels of braking conditions.Level Actuation force [N]Initial drum speed [rpm] Low 30 100Medium 50 200High 100 300Figure 3: Brake drum with microphones 1 and 2, positioned radially in X and Y directions, respectively.of 20 µ Pa, the sound pressure level (SPL) was obtained for the signal using Equation 1.S PL [ dB re 20 µ Pa ] = 20 log P rmsP re f (1) Figure 4: Noise signals from the microphones during a braking event.Here, P rms is the RMS of the cropped acoustic pressure signal. SPL was obtained for all the test runs involving di ff erent braking conditions. This is followed by a comparative analysis of the changes in SPL and the brake torque ( T ) due to variations in the braking conditions. The maximum brake torque ( T max ) and mean brake torque ( T mean ) were analysed.3. EFFECT OF ACTUATION FORCEKeeping the ω i d constant at 200 rpm, various levels of F a (30 N, 50 N, and 100 N) were applied to simulate di ff erent braking events. Acoustic pressure and brake torque were measured for each test. Figure 5 and Figure 6 show the changes in SPL and brake torque ( T max and T mean ), respectively, due to incremental actuation forces.It is observed that both SPL and brake torque ( T max and T mean ) increased with the actuation force. Since the actuation force is directly responsible for the normal and friction forces at contact, the brake torque also increased. Higher normal and friction forces caused the increase in SPL. The SPL at microphone 1 was higher than that of microphone 2 because of the contact interface between the brake shoe and the brake drum, being closer to microphone 1. However, the SPL of microphone 2 had a higher rate of increase with actuation force.4. EFFECT OF INITIAL DRUM SPEEDω i d was varied for di ff erent runs (100 rpm, 200 rpm, and 300 rpm), and the braking events were performed separately while maintaining the actuation force at 30 N. Figure 7 and Figure 8 show the changes in SPL and brake torque ( T max and T mean ) respectively, due to braking at higher drum speeds.Here it can be seen that SPL increased as the brake was applied at higher drum speeds, but unlike the actuation force scenario, the brake torque ( T max and T mean ) almost remained the same. Since F aAcoustic pressure [Pa] L=J Acoustic pressure [Pa] Part of the signal used for analysis ———— Microphone 1 1 Time [s] 1.5 Microphone 2 0.5 1 Time [s] 1.5 Figure 5: Variation of SPL with F a .90 SPL [dB re 20):Pa] co & @ s 75 = @© ‘Microphone 1 = @ + Microphone 2 10 20 30 40 50 60 70 FIN] 80 90 100Figure 6: Variation of T max and T mean with F a .was the same for all tests, the brake torque remained similar. When a braking event happens at higher drum speeds, the brake shoes have a higher tendency to cause more impacts (oscillations) initially in the vicinity of the brake drum. These impacts can result in increased noise, as observed from the SPL trend.Comparing the two braking conditions, from the noise point of view, it was observed that a 233% total increment in F a resulted in microphone 1’s SPL to increase by 3.7 dB and microphone 2’s SPL to increase by 8.2 dB. Meanwhile, a 200% total increment in ω i d resulted in microphone 1’s SPL to increase by 6.5 dB and microphone 2’s SPL to increase by 5.5 dB. Hence, it can be deduced that ω i d=@ Tho = @ Trean 30 N a: = ,% ,. ss AS ‘ae AN VN % XN gg eS e a2 #2 2 [w'N] enbio) eyerg 20 30 40 50 60 70 80 90 100 10 Figure 7: Variation of SPL with ω i d .95 90 e - - - - w 85 a e------. 8 ° 2 80 aa 3 -e" =) -- ra - G75 = 70 = ©@ ‘Microphone 1 = @ : Microphone 2 65 50 100 150 200 250 300 a [rpm] 350Figure 8: Variation of T max and T mean with ω i d .has a higher e ff ect on the noise generated by the drum brake. From the brake performance point of view, the brake torque ( T max and T mean ) was only responsive to variation in F a . So, as long as the brake pedal force is unaltered, ω i d almost has a negligible e ff ect on the brake performance.Figure 9 and Figure 10 show the spectra from microphone 1 at various levels of F a and ω i d , respectively, in the frequency domain. In all the cases, the acoustic pressure was higher at lower frequencies ( < 3000 Hz). In the case of increasing F a , the spectrum within 3000 Hz corresponding to 100 N load was dominant with higher amplitudes of acoustic pressure. However, beyond 5000 Hz, the same spectrum was less dominant, and the 30 N spectrum had higher amplitudes of acousticBrake torque [N.m] 8.5 ee 8 e-= --e 75 7 ee ee 6.5 e-" --e@ 6 5.5 5 45 © Tax = @ Tican 4 50 100 150 200 250 300 350 a [rpm] pressure. This transition behavior was not observed in the case of increasing ω i d , where the spectrum corresponding to 300 rpm was mostly dominant throughout with higher amplitudes of acoustic pressure. Noise signals from microphone 2 also had similar trends in frequency domain.Figure 9: Comparison of acoustic spectra from di ff erent F a .Acoustic pressure [Pa] 107 5. 3 s Low (30 N) Medium (50 N) High (100 N) 0 1000 2000 3000 4000 5000 6000 7000 8000 9000 10000 Frequency [Hz]Figure 10: Comparison of acoustic spectra from di ff erent ω i d .5. CONCLUSIONThe e ff ect of variations in the actuation force and the initial drum speed on the noise and brake performance during braking was studied. For this purpose, a sub-scaled lab experiment was developedLow (100 rpm) Medium (200 rpm) High (300 rpm) Acoustic pressure [Pa] 5 0 1000 2000 3000 4000 5000 6000 7000 8000 9000 10000 Frequency [Hz] and instrumented with two microphones and a torque sensor. Three levels of each braking condition were considered, and multiple experiments were performed on each braking condition independently. Noise signals were post-processed to get the SPL values, and a comparative analysis was performed. It was observed that SPL increased with both actuation force and initial drum speed, showing a higher increment in the case of initial drum speed. Although, the brake torque increased only when the actuation force was higher. It can also be said that a higher noise level doesn’t necessarily indicate the generation of higher brake torque, as evident from the presented study on the e ff ect of initial drum speed. It is anticipated that this work will provide a better understanding of the correlation between noise and brake performance, and this could be useful to a brake designer while designing quieter drum brakes.ACKNOWLEDGEMENTThis research was funded by Start-up Research Grant from Science and Engineering Research Board (SERB, Govt. of India) under project number: SRG / 2019 / 001172.REFERENCES[1] J. Huang, C. M. Krousgrill, and A. K. Bajaj, “Modeling of automotive drum brakes for squeal and parameter sensitivity analysis,” Journal of Sound and Vibration , vol. 289, no. 1-2, pp. 245–263. https: // doi.org / 10.1016 / j.jsv.2005.02.007, 2006. [2] P. Ioannidis, P. C. Brooks, and D. C. Barton, “Drum brake contact analysis and its influence on squeal noise prediction,” SAE Technical Paper 2003-01-3348, 2003. https: // doi.org / 10.4271 / 2003- 01-3348 , 2003. [3] H. Hagino, M. Oyama, and S. Sasaki, “Airborne brake wear particle emission due to braking and accelerating,” Wear , vol. 334, pp. 44–48, 2015. [4] A. Day, P. Harding, and T. Newcomb, “Combined thermal and mechanical analysis of drum brakes,” Proceedings of the Institution of Mechanical Engineers, Part D: Transport Engineering , vol. 198, no. 4, pp. 287–294, 1984. [5] H. Lee and R. Singh, “Vibro-acoustics of a break rotor with focus on squeal noise,” in INTER- NOISE and NOISE-CON Congress and Conference Proceedings , vol. 2002, pp. 301–306, Institute of Noise Control Engineering, 2002. [6] A. Ramesh and S. Sundar, “Estimation and study of drum brake noise using a comprehensive nonlinear vibroacoustic model,” in INTER-NOISE and NOISE-CON Congress and Conference Proceedings , vol. 261, pp. 5531–5540, Institute of Noise Control Engineering, 2020. [7] A. Yella and S. Sundar, “Comparison of noise generated from simplex and duplex configurations of drum brake using non-linear vibro-acoustic models,” in INTER-NOISE and NOISE-CON Congress and Conference Proceedings , vol. 263, pp. 1415–1425, Institute of Noise Control Engineering, 2021. Previous Paper 675 of 808 Next