Welcome to the new IOA website! Please reset your password to access your account.

MEMs Based Low-Cost Urban Noise Monitoring: Tests and Case Study Paola Weitbrecht 1 , Leonardo Jacomussi 2 , Marcel Borin 3 , Carolina Monteiro 4 , Cecilia Jardim 5 Harmonia Avenida Mofarrej 1200, São Paulo-SP, Brazil

ABSTRACT

Noise pollution has been one of the main causes of citizens' discomfort in the urban centers in Brazil, an issue enhanced by the Covid pandemic that resulted in an increase of noise complaints, especially those related to noise from construction sites. This context triggered the construction industry to pursue solutions to understand the acoustic reality and minimize the impacts through regulations that require long-term noise measurements. Due to the necessity of a comprehensive evaluation in several locations, class 1 Sound Level Meters measurement systems can hardly be considered because of their high costs. This paper discusses the practical implementation of MEMs in a low-cost monitoring system for urban noise, focusing on construction sites. The prototype, based on a Raspberry Pi (a single-board computer model widely used in IoT projects) and a MEMs microphone with I²S interface for high-fidelity digital audio communication, was compared in a controlled environment to a Sound Level Meter of Class 1 through validation tests, such as calibration, frequency response, and dynamic range. Field measurements were also carried out in typical urban noise-generating sound environments.

1. INTRODUCTION

São Paulo is the largest city in Brazil with approximately 12 million inhabitants and a skyline filled with different buildings. The verticalization process suffered a boom in the beginning of the 21 st century and has been intensified since 2016 with the approval of the new city's Master Plan [1]. One of the goals of this five-year development plan was to encourage the construction of residential buildings near to the main transport hubs, thus densifying important areas and democratizing access to public transport [2]. With this new interest, it was possible to observe a new transformation in the city, which became a large construction site and perfect place for real estate speculation. From March 2021 to February 2022 more than 80 thousand new residential units were available for the market [3]. Furthermore, in one year the city municipality has issued more than 5 thousand construction licenses and 1363 demolitions permits [4] [5].

1 paola@harmonia.global 2 leonardojacomussi@harmonia.global 3 marcel.borin@harmonia.global 4 carolina.monteiro@harmonia.global 5 cecilia.jardim@harmonia.global

hela ‘iater.noise | 21-24 AUGUST SCOTTISH EVENT CAMPUS GLASGOW

In this rowdy and complex context, the number of noise complaints increased by 27% in the last year. According to the SP156 portal, which is the communication channel between city municipality and the citizens, there are more than 20 thousand registrations of noise annoyance [6]. PSIU (Programa de Silêncio Urbano - Urban Silence Program) [7] is the entity responsible in the city of São Paulo for controlling noise emission, it inspects among other places construction sites. After great public pressure, the city government approved a new regulation Decreto Nº 60.581 [8], that establishes sound pressure level limits see Table 01. Although the decree is not yet regulated, it is a first step towards noise control policies. Table 1: Sound Pressure Levels Limits According to Decreto Nº 60.581.

L Aeq (7 am – 7 pm) L Aeq (7am – 7pm) Monday to Friday 85 dB 59 dB Saturday L Aeq (7am – 2pm) L Aeq (2pm – 11:59pm) 85 dB 59 dB Sunday and Holidays L 24hrs 59 dB Triggered by the new regulation, the construction industry started to pursue solutions to understand acoustic reality and minimize noise impacts. As construction can last up to 2 years, long-term site noise monitoring is an interesting approach. However, since using NBR IEC 61672-1[9] compliant equipment can be very costly as an alternative the implementation of MEMS 6 microphones in a low- cost sound-monitoring system is addressed in this paper.

1.1 Objective This paper discusses the practical implementation of MEMs in a low-cost monitoring system for urban noise, through validation tests and field measurements, three different MEMs microphone were compared to a Class 1 Sound Level Meter [9].

2. PROTOTYPE

Hardware and software design will be presented in this section.

2.1. Hardware

The Raspberry Pi is a single-board computer (or SBC) that contains the same basic components as a conventional computer, such as a processor, graphics card, RAM memory, etc., with reduced dimensions, proportional to a credit card, but with high power computation. There are numerous manufacturers of single-board computers, but the most current model, and therefore the one adopted in this project, is the Raspberry Pi 4 B, see Figure 1 (a). The MEMS I2S microphone is a sound pressure sensor module with digital output and I2S communication protocol widely used in everyday devices such as laptops, tablets, smartphones, on- board computers in vehicles and so on. After the Raspberry Pi, this is the second most important piece of hardware in the set, being the transducer responsible for the sound measurements of the prototype.

6 Micro-Electro-Mechanical Systems.

(b) MEMS microfones .

(a) Raspberry Pi 4 B.

Figure 1: Tested prototype hardware components.

There are several manufacturers of MEMS I2S microphones, component highlighted in red in Figure 1 (b), but only a few manufacturers supply the module with the printed circuit board and the necessary components already welded. In this test, three different models were chosen: the Adafruit SPH0645LM4H (Adafruit), the MEMSensing Microsystems MSM261S4030H0 (MEMSensing) and the InvenSense Inmp441 (InvenSense), see Figure 1 (b), which are models easily found on the market. In Table 2 some of their main characteristics are highlighted. Table 1: Main electro-acoustic characteristics of the tested microphones.

Adafruit MEMSensing InvenSense

Parameter Nom. value Unit Condition Nom. value Unit Condition Nom. value Unit Condition

Directivity Omni directional - - Omni directional - - Omni directional - -

Sensitivity -26 dBFS 94 dB SPL

@ 1 kHz -26 dBFS 94 dB SPL

@ 1 kHz -26 dBFS 94 dB SPL

@ 1 kHz Frequency

range 20 – 20k Hz - 100 – 10k Hz - 60 – 15k Hz -

94 dB SPL

20 kHz bandwidth, A-weighted

20 Hz to 20

SNR 65 dB(A)

@ 1 kHz, A-weighted

57 dB(A)

61 dB(A)

kHz, A-weighted The connections between Raspberry Pi 4 B and MEMS microphones are made by GPIO 7 . Table 2: Connections between MEMS microphones and Raspberry Pi 4 B GPIO pins.

Raspberry Pi 4 B (GPIO) Adafruit MEMSensing InvenSense Pin 17 (3V3 Power) 3V V VDD Pin 14 (Ground) GND G GND Pin 12 (PCM_CLK) BCLK CK SCK Pin 38 (PCM_DIN) DOUT DA SD Pin 35 (PCM_FS) LRCL WS WS Pin 20 (Ground) SEL LR L/R

7 General Purpose Input/Output.

Figure 2: Example of connections between MEMS microphone Adafruit and Raspberry Pi 4B.

Figure 2 is an example scheme of the connections between the Adafruit microphone and the Raspberry Pi 4 B board. Table 3 shows the compatibility between the names of the connections of each microphone and their respective connections with the minicomputer.

2.2. Software

As previously mentioned, the Raspberry Pi 4 B is a minicomputer with the same hardware characteristics as a conventional computer, but with processing power limitations. Regarding the software, it is not different, as it can run some Linux distributions, in particular the official distributions called Raspberry Pi OS with and without GUI and recommended software.

Within Linux, scripts in Python 3 were implemented, where the acquisition and processing of the signal is done quite fluidly using parallel processing, as shown in the scheme of Figure 3.

Figure 3 : Scheme of the acquisition and processing software used for this project .

Sound © Me. cca correction a slots ie Taegan ae ‘o) ms Je} ‘isms J+ ‘tsk ise a epee rsocave Parallel process

As the outputs of the MEMS I2S microphones are digital, there is no need for external hardware to convert the analog signal. Thus, the data is sampled at a rate of 48 kHz and processed in high resolution.

In a real monitoring application, there would still be steps of sending data and connecting with a server.

3. TEST AND RESULTS

In this section, a range of tests, correction and calibration will be discussed with their respective results. The tests are performed with 3 different MEMS microphones models and compared with a Class 1 Sound Level Meter by Larson Davis model 831

3.1. Test Room

The microphone tests conducted on this paper were carried out in a low background noise room, following the standard ITU 1116 [10] acoustics guidelines for listening rooms. The room presents a background noise around 15 dB(A) and an average reverberation time of 0.2 seconds from 200 Hz to 8 kHz frequency range. The loudspeaker used in the tests was a near-field Genelec 8020C.

3.2. Calibration Method

The Class 1 microphone was calibrated with a sound level meter calibrator following IEC 60942:2017 [11]. Due to the nature and sizes of the MEMS microphones, it was not possible to calibrate them using this conventional method, therefore, a comparison calibration method was conducted using the Class 1 microphone. The MEMS and the Class 1 microphone were positioned close to each other, as shown in Figure 4, so that they received the same sound pressure level. Once the SPL measured by the Class 1 microphone is known, a calibration factor is generated for the low-cost system.

Figure 4: Calibration setup using the comparison method.

3.3 Frequency response correction As shown in Figure 5, the sensitivity curves of MEMS microphones are not perfectly linear over the entire frequency spectrum, which can cause variations in the measured levels according to the nature

t i

of the sound source. One way to mitigate this effect is to correct the spectrum of the measured signals by subtracting the sensitivity curve of the microphones.

To extract the sensitivity curves of the microphones from their respective datasheets, the open source WebPlotDigitizer [12] software was used, where it is possible to obtain data automatically or manually from images.

For each measurement, the magnitude of the narrowband spectrum of the signal is calculated using the Fast Fourier Transform and the phase information of the complex amplitude vector is stored.

With the magnitude and frequency data of the microphone sensitivity curve, an interpolation of the data is made so that it has the same length as the magnitude of the spectrum of the measured signal. Then, the magnitude of the sensitivity curve is subtracted from the magnitude of the measured signal. At the end, with the corrected magnitude of the measured signal, the linear amplitude is calculated, and the phase information is reallocated in a vector of complex amplitude. To recover the linear amplitude vector in the time domain, the Inverse Fast Fourier Transform is performed.

Figure 5: MEMS microphone sensitivity curves and frequency response curves with and without

spectral correction.

To exemplify the changes caused by the spectral correction, measurements of frequency response functions were carried out in the test room, using an exponential sweep as the excitation signal and the results can be seen in Figure 5. Along the spectrum, influences of the room and loudspeaker can be observed, however, subtle but relevant changes are noted in low and high frequencies.

3.4 Dynamic Range The dynamic range sensitivity of the microphones was also tested, so it is possible to know how linearly they behave when signal varies on amplitude. In this test, the Class 1 Sound Level Meter was also measured and considered as reference to the MEMS microphones. Firstly, the global sensitivity was concerned, so a white noise was generated and inputted to the loudspeaker at around 78 dB. Then, the signal amplitude decreased in 5 dB steps every 5 seconds. The results for this test can be seen in Figure 6. It is possible to notice that the microphones can follow the level decay and the results

‘SP (08 et POD Bozsee i i Bese Al sensitivity curves Frequency response function: Adafruit SPHOG4SLMAH ‘sanwoow |Z 2 Same Eo fo 2 2 ¥ > ¥ sn eer Frequency epee nt: mpl so ___eauecy respon inion MS261S402040 apt wa an Se Sateen | o [E Reese wanconsin a ae = Serene I i IE 2 . 7 Bo 2 . ¥ > ¥ rewener rewenere

are close to the expected, except for the last step where the sound pressure level gets closer to the electric noise for the MEMS models.

Figure 6: Global LAeq with 5dB decay in 8 steps.

After that, the global sound pressures were filtered into octave band for every step, then it was possible to achieve the same sound level decays considering different frequency bands. The results are seen in Figure 7 and 8.

Figure 7: L Zeq from 63 Hz to 500 Hz in octave bands with 5 dB decay in 8 steps.

Long at 125 Hz Tiree Tiree Lagat 250 He so Lee at 500 He eng [8 ee 205}

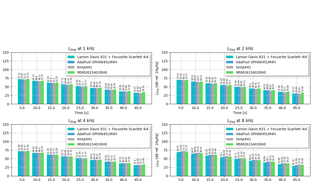
Figure 8: L Zeq from 1 kHz to 8 kHz in octave bands with 5 dB decay in 8 steps.

In the octave band results, the results are also satisfactory, except for the final steps. From 63 Hz to 1 kHz, the MEMSensing model is the least precise microphone, as the signal decreases and gets closer to its electric noise, which causes the last step change to be less than 3 dB for some frequency bands.

In this test, it was not possible to investigate high sound levels due to the loudspeaker distortions for signals over 85 dB. Further investigation should be carried out for analyzing the microphones linearity over this range of sound levels.

3.5 Field Measurements

As a final test for the microphones, real life applications were considered by monitoring construction site noise, as expected in São Paulo’s new regulation. In order to do so, two construction sites were monitored for 24h or more. In the first one, the measurement system used the InvenSense Microphone, installed in the center of the construction area close to the engineering office. The Class 1 Sound Level Meter was also placed next to it, so a comparison could be possible between the systems. This sound monitoring is demonstrated in Figure 9

lLaggat 2 kHE Logg at 2 ke Lagat ke ‘Get 2400)

Figure 9: Measurement at a construction site in São Paulo, using the Sound Level Meter Class 1 and MEMS InvenSense microphone.

The descriptors obtained mostly present an absolute difference of less than 1 dB when compared to the Sound Level Meter Class 1, as shown in Table 4. Except for the peak, maximum and minimum levels, where the limitations of the dynamic range of the MEMS InvenSense microphone were found. Table 3: Compilation of descriptors obtained from measurements at a construction site in São Paulo, using the Sound Level Meter Class 1 and the MEMS InvenSense microphone.

L Aeq L Cpeak L ASmax L ASmin L 10 L 50 L 90 Larson Davis 831 71.02 130.50 102.31 37.83 75.46 58.48 43.81 InvenSense 71.87 125.59 99.72 39.07 76.28 58.00 44.50 |∆Larson- InvenSense| 0.85 4.91 2.59 1.24 0.82 0.48 0.69 The second noise monitoring test was carried out in the facade of a dwelling near to the construction site. In this measurement, Adafruit and MEMSensing MEMS microphones were installed next to the Class 1 Sound Level Meter, to be used as reference. The sound monitoring is shown in Figure 10.

Figure 10: Field measurement on the balcony of an apartment in front of a construction site in the west of São Paulo, using the Sound Level Meter of Class 1 and the Adafruit and MEMSensing MEMS microphones

According to the graph, the Class 1 microphone is the only one capable of measuring SPL below 40 dB(A), due to its lower electrical noise. Despite having presented a L ASmin of 31dB(A), see Table 5, the Adafruit microphone did not maintain good stability at levels below 60 dB(A) throughout the monitoring period. In contrast, the MEMSensing model proved to be more stable at lower levels, despite having a L ASmin of 39 dB(A), which may be adequate for most applications.

In addition to visual inspection of the graph at levels below 60 dB(A), another interesting demonstration of the instability of the Adafruit microphone is the statistical descriptors obtained by it (see Table 5), where it can be noted, especially by the L90 (a descriptor that indicates the SPL in 90% of the time), strongly associated with background noise in long-term monitoring, that Adafruit achieved 51 dB(A), at least 10 dB(A) more than the MEMSensing model under the same conditions.

Table 4: Compilation of descriptors obtained from field measurement on the balcony of an apartment in front of a construction site in the west of São Paulo, using the Sound Level Meter of Class 1 and the Adafruit and MEMSensing MEMS microphones.

L Aeq L Cpeak L ASmax L ASmin L 10 L 50 L 90

Larson Davis 831 60.69 131.23 100.74 28.33 62.48 51.31 37.03

Adafruit 60.83 125.95 96.87 31.25 63.20 56.57 51.76

MEMSensing 60.11 125.33 95.78 39.67 63.35 52.24 41.70

| ∆Larson – Adafruit | 0.14 5.28 3.87 2.92 0.72 5.26 14.73

| ∆Larson – MEMSensing | 0.58 5.90 4.96 11.34 0.87 0.93 4.67

4. CONCLUSIONS

In general, the absolute difference between the L Aeq of the Class 1 Sound Level Meter and the L Aeq obtained with the MEMS microphones in field and laboratory tests is quite satisfactory, mostly below 1 dB. The descriptors L ASmin , L ASmax , L peak and L 90 present greater disparities because they come up against the limitations of the dynamic range of MEMS microphones, which are not specified in the datasheets.

The spectral correction mitigates the effects of non-linear sensitivity of MEMS microphones and, despite the disparity at the ends of the dynamic range, the equivalent levels and other statistical descriptors are not affected due to the nature of the dynamic range of urban noise and construction sites, objects of study for long-term monitoring in Brazil.

Despite being able to obtain L ASmin levels of 31 dB(A), the instability presented by the MEMS microphone Adafruit at levels below 60 dB(A) in long-term monitoring periods classified it as the poorest performance in the field tests among the MEMS considered in this study. The InvenSense model, on the other hand, presented the best performance, obtaining the smallest absolute differences in the descriptors when compared to the Class 1 Sound Level Meter .

Considering the stability presented by the IvenSense microphone, it is a feasible alternative for long- term acoustic measurements, once estimating that urban sound pressure levels will usually be above 40 dB. The use of low-cost monitoring station for construction sites noise evaluation could be beneficial not only for construction companies and authorities, but also for local residents, which are the most affected by the long exposure to high sound pressure levels.

5. REFERENCES

[1] E. M. e G. Minarelli, “Trajetória do estoque residencial formal, Município de São Paulo, 2000/2010.” Accessed: Apr. 27, 2022. [Online]. Available: www.census.gov/programs- surveys/ahs.html. [2] Prefeitura de São Paulo, “Plano Diretor Estratégico do Município de São Paulo,” p. 229, 2014, [Online]. Available: http://gestaourbana.prefeitura.sp.gov.br/arquivos/PDE_lei_final_aprovada/TEXTO/2014-07- 31 - LEI 16050 - PLANO DIRETOR ESTRAT ೦ GICO.pdf. [3] M. Imobili and S. Andr, “PMI – Pesquisa do Mercado Imobiliário - RMSP,” 2012. [4] “Prefeitura de São Paulo aprova a construção de quase 6 milhões de m 2 na cidade — Prefeitura.” https://www.capital.sp.gov.br/noticia/prefeitura-de-sao-paulo-aprova-a- construcao-de-quase-6-milhoes-de-m2-na-cidade (accessed Apr. 28, 2022). [5] “Demolições em alta apagam memória de bairros tradicionais de São Paulo - 06/10/2021 - Cotidiano - Folha.” https://www1.folha.uol.com.br/cotidiano/2021/10/demolicoes-em-alta- apagam-memoria-de-bairros-tradicionais-de-sao-paulo.shtml (accessed Apr. 27, 2022). [6] “Bem vindo - Portal de Dados Abertos da Cidade de São Paulo.” http://dados.prefeitura.sp.gov.br/ (accessed Apr. 29, 2022). [7] “PSIU no combate à poluição sonora | Secretaria Municipal de Subprefeituras | Prefeitura da Cidade de São Paulo.” https://www.prefeitura.sp.gov.br/cidade/secretarias/subprefeituras/zeladoria/psiu/index.php?p =8831/ (accessed Apr. 29, 2022). [8] “Decreto 60581 2021 de São Paulo SP.” https://leismunicipais.com.br/a/sp/s/sao- paulo/decreto/2021/6059/60581/decreto-n-60581-2021-regulamenta-o-controle-de-ruidos-na- execucao-das-obras-de-construcao-civil-no-municipio-de-sao-paulo?q=60581 (accessed May 03, 2022). [9] “ABNT NBR IEC 61672-1 NBRIEC61672-1 Eletroacústica — Sonômetros -.” https://www.normas.com.br/visualizar/abnt-nbr-nm/13243/abnt-nbriec61672-1- eletroacustica-sonometros-parte-1-especificacoes (accessed May 13, 2022). [10] “Methods for the subjective assessment of small impairments in audio systems BS Series Broadcasting service (sound),” Accessed: May 13, 2022. [Online]. Available: http://www.itu.int/ITU-R/go/patents/en. [11] “IEC 60942:2017 | IEC Webstore.” https://webstore.iec.ch/publication/30045 (accessed May 13, 2022). [12] Ankit Rohatgi, “WebPlotDigitizer 4.2 - Extract data from plots, images, and maps,” Arohatgi , 2019. https://automeris.io/WebPlotDigitizer/ (accessed May 10, 2022).