Welcome to the new IOA website! Please reset your password to access your account.

A Feasibility Study of Riblets for Aeroacoustics Applications

Chioma Muhammad

Tze Pei Chong 1

Brunel University London Kingston Lane, Uxbridge, UB8 3PH, United Kingdom

ABSTRACT One of the most e ff ective strategies to reduce the aerofoil trailing edge self-noise is to manipulate the turbulent noise source directly. This paper is a feasibility study to investigate the riblets, which have so far been quite successful as a drag-reducing device, for its potential to reduce the turbulent pressure sources that are important for aerofoil self-noise radiation. The results show that the riblets used in the current study can reduce the skin friction coe ffi cient, as well as the turbulence intensity in the boundary layer profiles. In addition, the turbulence structures in the convective field can be dissipated more rapidly when crossing the riblets surface. More interestingly, it is found that (1) the riblets produce a slight reduction of the wall fluctuating pressure power spectral density level at the low and high frequency ranges, but experiences an increase at the mid frequency, (2) the riblets can reduce the lateral turbulence coherence length scale across a large frequency range. The product of these two hydrodynamic sources, which has a direct implication to the self-noise radiation, reveals that the riblets have a potential to reduce the trailing edge noise at the low and high frequency regions, respectively.

1. INTRODUCTION

One of the major noise sources for an aerofoil is the trailing edge self-noise. The descriptive wording of self-noise stems from the fact that the far field radiation originates from the hydrodynamic field near the trailing edge. However, it is also important to note that the radiation is dependent on the state of the boundary layer, which is governed by several external factors such as the surface roughness, Reynolds number, pressure gradient and so on. One type of self-noise that is especially relevant to the industrial applications is when the boundary layer has undergone a complete transition to fully turbulent at the trailing edge. In this scenario a cascade of turbulent length scale eddies are scattered into a broad frequency band of acoustic disturbances into the far field. Source targeting can be an e ff ective principle to reduce the radiated turbulent broadband noise level. More specifically, one can aim to manipulate, alter or inhibit the growth mechanisms of the turbulent boundary layer. Mounting finlets near the trailing edge has been shown to significantly alter the turbulent boundary layer structure and reduce the radiated noise level [1]. Attaching a serration at the trailing edge represents another proven method for self-noise reduction. In addition to the

1 t.p.chong@brunel.ac.uk

a slaty. inter.noise 21-24 AUGUST SCOTTISH EVENT CAMPUS O ¥, ? GLASGOW

acoustical destructive interference mechanism [2,3], a serrated trailing edge can also trigger additional streamwise structures to interfere with the turbulent boundary layer, and slow down the propagation rate of the eddies near the oblique edges [4]. Although this represents a di ff erent form of source targeting approach, it can still be very e ff ective in the reduction of self-noise radiation. Acoustical destructive interference can also be enforced in a trailing edge with a structured porous surface. For example, Scholz et al. [5] demonstrated that placing a single row porous array at the rear part of aerofoil can force the turbulent eddies to scatter twice: first at the spanwise porous row, and second at the trailing edge. The phase di ff erence between the scattering locations thus gives rise to a frequency tuning capability. However, the dominant mechanism of noise reduction by porous trailing edge is the source targeting. A turbulent boundary layer passing over a porous surface with a strong wall- normal permeability can lift up the near wall low-speed streaks [6], thereby displacing the turbulence away from the wall surface and reducing the near wall turbulence source strength. Indeed, making the aerofoil trailing edge porous has been shown to produce low level of self-noise radiation [7]. From the first observation of the fast swimming capability of sharks to the discovery of dermal denticles on their skin, the use of riblets to reduce skin friction on engineering surface is one of the most researched topics in the fluid mechanics community. The riblets can be configured in di ff erent forms, such as the v-groove (or sawtooth) [8], trapezoidal-groove [9], and scalloped [10]. Each of the configuration mentioned above has achieved various degree of success in realising the drag reduction potential. However, there seems to be conflicting findings on some of the mechanisms exerted by the riblets to the turbulent boundary layer structures. For example, some have found that the bursting frequency of the low-speed streak remains unchanged under riblets [8, 11], but others observed that the weakened near wall burst is one of the main reasons for the reduced turbulence production [12,13]. When the riblets geometry is optimised, the low-speed streaks in the sublayer can be constrained in the trough between the riblets protuberances, thereby restricting the spanwise meandering of the wall vortices in their turbulence self-generating process. Many studies have also reported a reduction of the boundary layer turbulence intensity level on the riblets surface. These observations suggest that the riblets have a potential to execute the source targeting principle in the self-noise reduction. Unlike the previous candidates (finlet, serration and porous), the riblets can even reduce the drag. This work represents a feasibility study to investigate the potential of a riblets to reduce the turbulent pressure sources that are important for aerofoil self-noise radiation. To the best knowledge of the authors, the change in the turbulence structures by riblets has not been studied much from the perspective of the wall pressure fluctuation field. Furthermore, it still remains relatively scarce in the literature that describes the turbulence spectral characteristics produced by riblets. This paper aims to fill this gap, and tries to shed some lights on riblets for their potential to be a trailing edge self-noise reduction device.

2. EXPERIMENTAL SETUP, MEASUREMENT AND ANALYSIS TECHNIQUES

The experiments were conducted in an open circuit, suction type wind tunnel where the axial fan is driven by a 7.5 kW motor capable of achieving velocity up to 35 ms − 1 inside the 0 . 5 × 0 . 5 m working section. The walls are constructed by Perspex to allow optical access. The mean turbulence intensity of the flow is measured to be about 0.5%.

2.1. Design of flat plate system As shown in Figure 1, a flat plate that contains a recess in the middle section for interchangeable test plates was designed and built in-house. The coordinate system used in this study is also shown in the figure, where x, y and z denote the streamwise, vertical and spanwise directions, respectively. When a fully developed two-dimensional turbulent boundary layer is required, a zig-zag type turbulator will be placed at x = 175 mm, where x = 0 refers to the leading edge of the flat plate. For the plate system, there is the recess between 500 ≤ x ≤ 710 mm to house either a baseline,

Figure 1: Schematic showing the flat plate model used in the current study. The coordinate system is also shown. Drawing is not to scale.

interchangeable test plate (baseline and riblet) array of loudspeaker ports for generation of turbulent spots

Figure 2: (a) Schematic (front view) illustrating the riblets geometry, and (b) photograph (plan view) showing a zoomed-in view ( ∼ 29 . 0 mm × 9 . 2 mm) of the riblets test plate used in the current study.

smooth surface test plate, or riblets surface test plate. Both test plates are 249 mm in the overall length. For the baseline test plate, it has a smooth aluminium finish enabled by a 3-axis CNC machine. The plate consists of arrays of streamwise and spanwise distributed pressure tap holes of 0.4 mm diameter for the measurement of the wall pressure fluctuations. Note that not all of them are used in the measurement. For the remainder of this paper, x = 625 mm is treated as the reference measurement location, and is represented by X ref .

2.2. Design of the riblets plate For the riblets test plate, the manufacturing process is understandably more complex. In the past, we have successfully performed the fly cutting method from a milling machine to produce a sub-scale serrated semi-circular riblets surface that can achieve up to 7% drag reduction [14]. However, the manufacturing process is quite complicated and time consuming. In the current study, we adopted the Stereolithography Apparatus (SLA) 3D printing technique to manufacture the riblets test plate, which has proven to be more straightforward to manufacture, and yet it can still achieve the required geometrical accuracy. The riblets shape is chosen as a simple longitudinal sawtooth (triangular) shape, where some prototypes have been successfully printed. A schematic illustrating the riblets geometrical drawing is shown in Figure 2a, where a photograph taken from the plan view for the riblets test plate can be found in Figure 2b. In this study, only one riblets geometry is investigated. In the figure, this particular riblets geometry can be described by h , s 1 , s 2 and S . The s 1 can be pre-determined as 0.4

@) ) ® ‘ow seston =D tow diccon 31 =0.4mm h=0.36 mm ==008em S=08 mm ‘0.4 mm diameter pinholes for the remote microphone measurements

mm to correspond to the pressure tap hole diameter. The s 2 , which is ideally → 0, is estimated to be 0.08 mm, which is equivalent to the laser beam diameter. S is a function of s 1 and s 2 . The decision on the value of h must be based on the turbulent boundary layer length scale. In the current study, the range of freestream velocity U ∞ over the flat plate surface is set at between 10 and 15 ms − 1 . Since the riblets test plate location has already been pre-fixed (Figure 1), the 1 / 7 th power law can be utilised to predict the skin friction coe ffi cients, as well as the friction velocity u τ . The latter can be used to provide a non-dimensional riblets height hu τ /ν , where ν is the kinematic viscosity. This non- dimensional quantity can then be compared against the y + in the law of the wall, which will provide information about the relative height of the riblets in the context of the turbulent boundary layer. In addition, the spanwise spacing can also be expressed in S u τ /ν , which will provide information about the relative spanwise spacing between the riblets protuberances and the gap of the low speed streaks for a coherent structure ( ∼ 100 z + ). After the riblets test plate has been manufactured, it is then installed onto the flat plate system as per the Figure 1, where boundary layer measurements were conducted to determine the u τ , which will enable the quantification of the hu τ /ν and S u τ /ν at U ∞ = 10 , 12 and 15 ms − 1 . From the measurements, the riblets achieve hu τ /ν = 12 . 2 , 14 . 3 and 17 . 4 at U ∞ = 10 , 12 and 15 ms − 1 , respectively. Therefore, the riblets are expected to fall within the bu ff er layer. For the spanwise spacing, S u τ /ν = 27 . 1 , 31 . 9 and 38 . 7 at U ∞ = 10 , 12 and 15 ms − 1 , respectively. This suggests that the spanwise spacing is still adequately smaller than the mean spanwise spacing between the low-speed streaks of the coherent structures. Therefore, the riblets used in the current study are expected to be e ff ective in the manipulation of the turbulent boundary layer.

2.3. Instrumentation The Knowles FG3229-P07 electret microphones, which are circular (2.57 mm diameter) with a sensing diameter of 0.8 mm, have been used in the wall pressure fluctuation measurements. The microphone is mounted remotely underneath the wall surface with an acrylic holder. It is connected to the wall surface via a 40 mm silicone tube. The same type of silicone tube of about 3 m long is connected to the other end of the acrylic holder, which will come out from the working section of the wind tunnel. The use of a long tube at the other end is to ensure that the acoustic waves travelling inside the remote microphone system does not encounter a sudden termination that will result in the backward reflection. A Visaton FR8 10W full range speaker is used to calibrate each of the remote microphone in-situ . The calibration method is similar to the one adopted by Sagrado [15]. During the experiment, the raw data from each remote microphone is sampled at a rate of 40 kHz for 15 seconds, which amounts to 600,000 samples. The data acquisition system has a 16-bit resolution and each sampling channel has a built-in anti-aliasing filter. The flow velocity fluctuation is measured by a miniature, single hot wire (Dantec 55P11), which consists a 1.25 mm long, 5 µ m diameter tungsten sensing wire. Operated by a constant temperature anemometer, the overheat ratio of the hot wire is set to 1.8, which will facilitate an operating temperature of the hot wire to be approximately 300 o C. The hot wire is attached to a three axis traverse system, in which the step motors are capable of achieving very fine movement of 0.01 mm. Such a high resolution in the traverse is suitable for the boundary layer measurement. The analogue-to-digital (A / D) card used in the hot wire acquisition has an 12-bit resolution. The data sampling rate is set at 20 kHz for 13 seconds for the tripped turbulent boundary layer. A low-pass filter of 10 kHz is utilised in the data acquisition to ensure that the sampled signal is inside the Nyquist frequency and is not contaminated by aliasing. Temperature correction of the sampled hot wire signals is performed during the post-analysis.

Figure 3: Turbulent boundary layer turbulent velocity profiles at U ∞ = (a) 10, (b) 12 and (c) 15 ms − 1

3. RESULTS

The treatment by the riblets surface applies to location that covers 500 ≤ x ≤ 710 mm, where x is the streamwise distance from the leading edge of the flat plate. To ensure that the results at each streamwise location x can be compared, the boundary layer velocity profiles will be normalised by the local freestream velocity. As a reminder, the reference streamwise distances, X ref is x = 625 mm. The first measurement point for the boundary layer profile is at X ref , followed by X ref + ∆ x , where ∆ x = 20 , 40 and 80 mm, i.e. x = 645, 665 and 705 mm, respectively. All these streamwise locations are located within the riblets surface. Figure 3 shows the turbulence intensity u rms / U ∞ boundary layer profiles for both the baseline and riblets cases. They are plotted against the non-dimensionalised height to compare the changes in turbulence intensity relative to the location inside the boundary layer. The turbulence intensity profiles demonstrate significant di ff erences between the baseline and riblets plates across the streamwise distances investigated here. For the baseline plots in Figure 3a, where U ∞ = 10 ms − 1 , the turbulence intensity profiles develop as would be expected for a turbulent boundary layer. The turbulence intensity reaches a peak of u rms / U ∞ ≈ 11% in the near wall region and decays to between 0.4 and 0.6% in the freestream. The location of the maximum u rms / U ∞ is generally located at y /δ ≈ 0 . 05, which is also likely to be the location where the maximum turbulence production occurs. Below this height, the turbulence level is dissipated by the viscosity e ff ect. Another trend is that, as U ∞ increases, the maximum level of u rms / U ∞ also decreases (Figure 3b and 3c). Interestingly, when the baseline turbulent boundary layer profiles are compared against the riblets case, the riblets consistently exhibit a clear reduction in the turbulence intensity level at the near wall region. For example, for U ∞ = 10 ms − 1 at X ref , the riblets produce a reduction in the near wall u rms / U ∞ level by approximately 6.8% compared to the baseline case. At X ref + 80 mm, the reduction in u rms / U ∞ increases to 12.4%. As the freestream velocity increases (Figure 3b and 3c), the near wall turbulence reduction by the riblets becomes more significant. The results provide a clear

(a) 15 1.25 [xar+ Som] 2 S075 os 025 0 003 0.06 009 «0 (003 0.06 009 «0 «(003-005 «0.09 012 er La on “= om 125 1 — baseline 2 Ed @ riblet os. \ i 025 i 003 0.06 0.09 «0080060090 0.08 0.05. 0.09 0.12 0 003 0.06 +009 0 0.03 005 009 0 003 006 009 0.2 Usms/ Un Usms/ Ue Usms/ Un

indication that the current riblets surface can indeed manipulate and inhibit the turbulence production in a boundary layer. In the outer boundary layer region, the level of u rms / U ∞ produced by the riblets is also considerably less than that produced by the baseline, especially at X ref and X ref + 20 mm (not shown here for brevity). This indicates that the turbulent energy transport across the entire boundary layer has been a ff ected by the presence of the riblets. At downstream locations of X ref + 40 mm and X ref + 80 mm, whilst still exhibiting lower u rms / U ∞ level at the near wall, the turbulence level in the outer boundary layer becomes similar (sometimes exceeds) the baseline counterpart. A similar result was noted by Yanjnik and Acharya [16] and Choi [13] who described this increase as a natural redistribution of the turbulent kinetic energy in the outer boundary layer after a certain riblets length has passed. The turbulent velocity profiles produced by the riblets can be summarised by the followings: First, the near wall turbulence is very sensitive to the riblets where the reduction in the turbulence intensity level can be consistently achieved. In addition, the level of turbulence reduction increases as the riblets length increases. Second, the sub-scale nature of the riblets is capable of extending its turbulence reduction influence to the outer layer, especially at the lower x region, i.e. the starting part of the riblets plate. This indicates that when the turbulent boundary layer is relatively small in length scale compared to a certain riblets height h , the disruption to the turbulence production at the near wall region can be e ff ectively transferred to the outer layer. However, when the turbulent boundary layer grows further downstream, the e ff ect of the riblets is mostly confined to the near wall region. The riblets consistently demonstrate lower skin friction coe ffi cients c f than the baseline counterpart across the entire streamwise locations and freestream velocities. The lower c f produced by the riblets also correlate well with the turbulent velocity profiles, which show a reduction in the turbulence intensity level at the near wall region. From the measured data, the average skin friction reductions by the riblets ∆ c f (positive value denotes reduction, and vice versa) are in the region of 3.4% at U ∞ = 10 ms − 1 , 3.1% at U ∞ = 12 ms − 1 , and 2.5% at U ∞ = 15 ms − 1 . Hence, the e ff ectiveness of the drag reduction capabilities of the riblets degrades as the U ∞ increases. As a summary, the turbulence and drag reduction capabilities of the riblets designed and manufactured in-house have been positively demonstrated. Figure 4 presents the wall pressure spectra at x = X ref , X ref + 20 mm, and X ref + 40 mm for U ∞ = 10, 12 and 15 ms − 1 . In each sub-figure three indicative lines pertaining to the frequency decay of f − 1 / 2 , f − 5 / 3 and f − 5 are included. Essentially, the wall pressure spectra show the relative energies of turbulent eddies of di ff erent scales in the boundary layer. The wall pressure spectra at lower frequency dominates the flow, which is indicative of larger size turbulent eddies. Therefore, the high frequency range is indicative of the smaller size turbulent eddies in the flow. To help with the discussion later, a generalisation is made here whereby the frequency region that contains a wall pressure spectra level decaying at f − 1 / 2 will be referred to as the “low frequency”. Likewise, the wall pressure spectra that decay at f − 5 / 3 will occur at the “mid frequency”. Finally, the "high" frequency turbulence decay refers to the rate of f − 5 . Such division of frequency decays for the wall pressure spectra is also observed by Gravante et al. [17] for a 2D turbulent boundary layer, which has a similar flow condition to the current case. As the flow progresses downstream and the boundary layer thickness grows, the mid frequency range slowly nudges towards the lower frequency end. This may indicate that the thickened boundary layer is more dominated by the larger turbulent eddies. From the first glance, the wall pressure spectra produced by both the baseline and riblets can already be found some notable di ff erences. For the low and high frequency ranges, the riblets produce lower wall pressure spectra level than that by the baseline counterpart. When examining the decay rates of the wall pressure spectra, the riblets have a lower energy signature at the low frequency region although the decay rate of f − 1 / 2 does not seem to change much. However, the turbulent energy at high frequency will dissipate faster at a decay rate slightly higher than f − 5 . This raises a prospect that, for the case of acoustic scattering at the trailing edge whose wall pressure spectra and the scattered acoustic spectra are highly correlated, a lower level of wall pressure spectra observed in the riblets

Figure 4: Comparison of the wall pressure power spectra densities produced by the baseline and riblets surfaces at U ∞ = (a) 10, (b) 12 and (c) 15 ms − 1 .Note that, for clarity, 5 dB o ff set is applied to each consecutive wall pressure spectrum of increasing x in the sub-figure.

surface has a potential to cause a lower noise emission at the low and high frequency regions. The results also suggest that the riblets can manipulate more e ff ectively for the large and small-scale turbulent eddies. However, it is important to note that the wall pressure spectra are not the only hydrodynamic source for the far field radiation. Essentially, the lateral turbulence length scale, as a function of the frequency, is another important hydrodynamic source for trailing edge noise. More discussion about this will be provided later.

p ′ x i ( x i , t ) p ′ x j ( x j , t − τ )

R x i x j ( τ ) =

p ′ x i , rms ( x i ) p ′ x j , rms ( x j ) (1)

The streamwise cross-correlation coe ffi cient R x i x j is defined in Equation 1, which can be used to measure the turbulence decay in the temporal domain between two wall fluctuating pressure measurement points. In the equation, p ′ x i and p ′ x j are the wall pressure fluctuations from the remote microphone sensors i and j situated at locations x i and x j , respectively. Likewise, p ′ x i , rms and p ′ x j , rms are the root mean square values of the pressure fluctuations measured by the remote microphone sensors i and j respectively. τ is a time delay in ms between the signals, and the overbar denotes time averaging. In the present experiments, all the streamwise cross-correlation studies were conducted by taking reference to the most upstream microphone sensor at x = X ref . Therefore, ∆ x denotes the streamwise distance from X ref . Figure 5a plots the maximum normalised cross-correlation coe ffi cients, R x i x j (max) , against their corresponding time delay τ (max) for various ∆ x locations at U ∞ = 12 ms − 1 . The auto- correlation peak is omitted as by default it has a maximum value of R x i x j (max) = 1 at τ (max) = 0. Note that, as indicated in the figure, the ∆ x is also normalised by δ ∗ (ref) , which is the displacement thickness of the boundary layer measured at X ref . From Figure 5a, the decay of R x i x j (max) against the τ (max) is linear for both the baseline and riblets,

30 40 50. 10 logio (Sq), dB — Baseline, Kee — Baseline, Xer*20mm Baseline, Xier-40mm Riblt, Nee Frequency, Hz © 10 logio (Sig), dB 40> 50 = & 0) Baseline, Xe — Baseline, Xer*20mm — Baseline, Nee40mm, - Riblet, Ne Riblet, Xee+20mm - Riblet, Ner-40mm 0! 10 logio (Sze), dB 70 10° 10° Frequency, Hz 10 20 30° Baseline, Net Baseline, Yer*20mm | Baseline, Xert4Omm Rblet, Nee Riblet, Nee*20mm Riblet, Ye40mm, 60 80 10 10° aot Frequency, Hz

Figure 5: Comparisons between the baseline and riblets for their (a) streamwise cross-correlation coe ffi cient maxima R x i x j (max) against their corresponding time delay τ (max) at U ∞ = 12 ms − 1 , and (b) turbulent eddies convection velocities at U ∞ = 10 , 12 and 15 ms − 1

but the riblets consistently produce lower level of the R x i x j (max) when compared to those produced by the baseline. The di ff erence between them is in the region of 3 . 2 ∼ 8 . 3%. A reduced level of R x i x j (max) achieved by the riblets may be interpreted as a more e ff ective breakdown of the turbulence structures. This phenomenon is consistent for the other freestream velocities at U ∞ = 10 and 15 ms − 1 , but they are not shown here for brevity. The next step is to investigate whether achieving a more rapid breakdown of the turbulence structures by the riblets can also a ff ect the turbulence convection velocity. From a dataset of ( ∆ x , τ ), an average convection velocity of the dominant turbulent eddies can be determined. It should be noted that the most dominant turbulent eddies in the boundary layer would decay at a slower rate than the small-scale turbulent eddies. Figure 5b presents several linear best fit lines for the datasets of ∆ x against τ (max) . The gradients of the best fit lines represent the convection velocity of the most dominant turbulence structures, which will increase proportionally with the U ∞ . From the figure, the comparison suggests that there is not a huge di ff erence in the convection velocities of the dominant turbulence structures between the baseline and riblets. The measured turbulence convection velocities are between 0 . 8 U ∞ and 0 . 88 U ∞ .

Φ κ i κ j ( f ) 2

γ 2 κ ( f ) =

Φ κ i κ i ( f ) Φ κ j κ j ( f ) , κ = x or z (2)

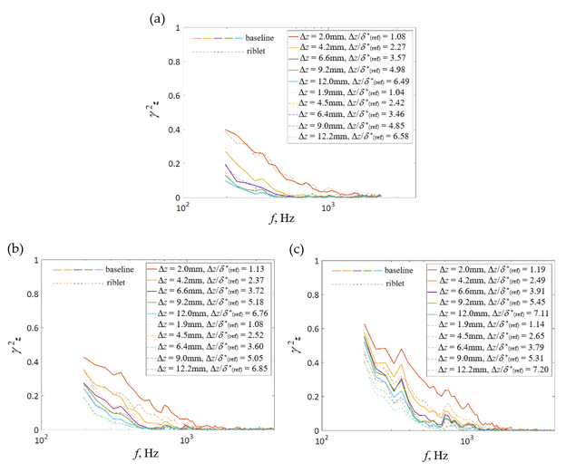
The likeness of the pressure fluctuation signals between two microphone sensors in the frequency domain can be defined by the magnitude squared coherence of two microphone signals, γ 2 κ ( f ), which is described by Equation 2. Φ κ i κ j ( f ) is the cross power spectral density between two wall pressure fluctuating signals at locations κ i and κ j , where κ can be either x or z . The wall pressure signal at κ i is usually designated as the reference microphone sensor located at x = X ref , which is also at the mid-span ( z = 0) of the flat plate. Therefore, Φ κ i κ i ( f ) and Φ κ j κ j ( f ) are the auto power spectral density for the reference ( i ) and j th wall pressure fluctuations, respectively. An important parameter to describe a turbulence structure and its physical size in the frequency domain is the spanwise (lateral) coherence function, γ 2 z , which is described in Equation 2 when κ = z . As will be discussed later, the spanwise coherence function is also related to the lateral length scale of the turbulence, which is one of the key sources for the trailing edge noise radiation. How the spanwise coherence of the turbulence structures reacts to the riblets is of interest in this study. Figure 6 shows the spanwise coherence spectra between the baseline and riblets cases at U ∞ =

1 . : 50 : + . © Ax= 2mm, AVS" ep = 113 x =< Av = 9mm, A/S “ep = 5.07 -_ + x Ax=20mm, AVS" yep = 11.26 | - . = xAv= 30mm, Ax/S ep = 16.89 x + Ae =40mm, AX/S ep = 22.52 7 0.6 © 30° a . | = = 7 > boa | S20 + batae (Oma) . 1 bustine (12) 2 bsetine (15 ms) 02) sk es + baseline . ] > sie (10) ox oc riblet . 7 . . x 0 1 2 3 4 5 3 4 5 T (max), MS T (max), MS.

Figure 6: Comparisons between the baseline and riblets for their spanwise coherence γ 2 z at U ∞ = (a) 10 ms − 1 , (b) 12 ms − 1 and (c) 15 ms − 1

10 , 12 and 15 ms − 1 . The spanwise coherence is described by ∆ z , which now denotes the lateral distance between the reference microphone at X ref and another microphone under question. The overall coherence level reduces as the lateral separation distance ∆ z increases, which denotes the increasingly loss in likeness of the turbulence. At U ∞ = 10 ms − 1 , the spanwise coherence produced by the riblets between 4 . 2 ≤ ∆ z ≤ 12 mm are almost identical to those of the baseline, suggesting that the turbulence structures maintain the same degree of lateral order as the riblets case. This means that the fundamental turbulence re-generation mechanism remains una ff ected, which is supported by the fact that, except at the low frequency, the riblets are incapable of altering the wall fluctuating pressure spectra at the mid and high frequencies as shown in Figure 4a. However, at U ∞ = 12 and 15 ms − 1 , the level of spanwise coherence achieved by the riblets becomes consistently lower than the baseline counterparts, especially for the ∆ z = 2 mm where large reduction has been achieved. This implies that the fundamental turbulence structure may already be altered by the riblets, which is also manifested by the quantifiable changes in the wall fluctuating pressure spectra at the mid frequency shown in Figure 4b and 4c. Hence, it seems that the wall pressure spanwise coherence and power spectral density become more sensitive to the riblets when U ∞ > 12 ms − 1 . A plausible explanation is related to the reduction of boundary layer thickness as U ∞ increases. After examination of the measured turbulent boundary layer properties in conjunction with the current riblets whose height is fixed at h = 0.36 mm, a condition of h /δ ∗ > 0 . 2 must be fulfilled for the riblets so that they are capable of a ff ecting the wall pressure spanwise coherence and power spectral density. Note that this condition applies to the wall pressure fluctuation only and may not be applicable to the velocity fluctuation levels within the turbulent boundary layer as shown in Figure 3.

l z ( f ) = Z ∞

q

γ 2 z ( z , f ) d z (3)

0

os 02 asl Met ge 66mm, 8/8" = 3.87 Ae 92mm, 8/6 = 498 8e= 120mm, 82/59 = 649 os| c= 19mm, ADS no = 1.04 a ‘ac= 4 Smm, Av16"no = 282 K ‘Ae= 6am, ADS" = 3.86 os ‘A2= 9.0mm, Aci6 "no = 485 ‘Ae 122mm, A260 = 638 oz ° 10 0 fie © tuseline =AP= 2mm, AF" = 108 | a= 4.2mm, d0'8"ng = 227 ‘A= 2mm, A/S = LIS ‘45° 4.2mm, 805" eo = 237 ‘Ae = 6 6am, Anq = 3.72 os ‘85= 9.2mm, 805" = 5.18 5= 120mm, 8/5" = 6.76 5 Lomi, 5" 108, as 6mm, 2/5 "y= 3.91 {82 92mm, 2/5" = SAS ‘Ae 120m, A215" = 7-1 A2= 19mm, A/S" 118 Aes Seam, 2/8" = 268 ‘Ae = 64mm, A260 = 3.79 ‘A2= 900mm, 2/8" ™ $31 ‘Ae 122mm, 2/8" = 720

Figure 7: Comparisons between the baseline and riblets for their spanwise coherence length l z ( f ) at U ∞ = (a) 10 ms − 1 , (b) 12 ms − 1 and (c) 15 ms − 1

As described in Equation 3, an integration of the spanwise coherence magnitude across the lateral location can result in the lateral coherence length of the turbulence, l z , as a function of the frequency. As shown in Figure 7a, the l z spectra for both the baseline and riblets at U ∞ = 10 ms − 1 are very similar, as expected from the corresponding spanwise coherence spectra in Figure 6a. When the U ∞ increases to 12 and 15 ms − 1 in Figure 7b and 7c, respectively, both demonstrate a lower l z and reduced size of the turbulence structure when the riblest are introduced. As a summary, reduction of the turbulence spanwise length scale can be realised by the riblets provided that h /δ ∗ > 0 . 2. However, one should also be cautious that h /δ is not too large to avoid the riblets becoming a surface roughness. The relationship between the far field pressure (i.e. noise) and the near field wall pressure fluctuation near the trailing edge of an aerofoil is made explicit in the classical work of Amiet [18], who derived a direct relationship between the power spectral density of the far field trailing edge noise ( S pp ) of an aerofoil for an observer in the centre-line plane of an aerofoil with span 2 d , chord, 2 b , to the wall pressure spectra ( S qq ) by:

S pp ( x , 0 , y , ω ) =  ω by

2 π c o σ 2  2 d | L | 2 l z ( ω ) S qq (0 , ω ) (4)

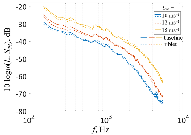
where ω is the angular frequency, σ 2 is a Mach number corrected geometrical function, and | L | is the norm of the acoustical transfer function. From Equation 4, the product of the lateral coherence length ( l z ) and wall pressure spectra ( S qq ) represents the main combined sources of the radiated spectrum ( S pp ). Although no aeroacoustics measurement on aerofoil is performed in this study, it is still possible to evaluate the e ff ect of riblets on the trailing edge noise radiation by examining the 10 log 10 ( l z · S qq ), as a function of frequency. Figure 8 presents the 10 log 10 ( l z · S qq ) at X ref between the baseline and riblets at U ∞ = 10, 12 and 15 ms − 1 . For all the cases examined here, slight reduction of the 10 log 10 ( l z · S qq ) by the riblets occurs at the low frequency range (150 < f < 600 Hz) only. This outcome is expected because both the hydrodynamic sources S qq and l z at the corresponding frequency range are both lower than those produced by the baseline. The result suggests that a slight reduction of the trailing edge noise by

200 1000 2000 1 | — baseline -riblet i,mm oO Qo 200 1000 2000 200 1000 2000 Suz Sf Hz

Figure 8: Partial hydrodynamic sources of 10 log 10 ( l z · S qq ) based on Amiet’s trailing edge noise model. The spectra are measured at the reference location X ref

riblets at low frequency is possible. For the mid and high frequency ranges ( f > 600 Hz), however, the riblets would produce a similar 10 log 10 ( l z · S qq ) spectral level as the baseline due to the counter- balancing e ff ect between the S qq and l z : whilst the l z can be reduced by the riblets, the corresponding S qq actually undergoes an increase in level. At the very high frequency range, the positive e ff ect of the riblets in reducing the hydrodynamic sources is again manifested in the lower level of 10 log 10 ( l z · S qq ) produced.

4. CONCLUSIONS

There are clear evidences that riblets can change the way turbulence develops in a boundary layer, especially at the near wall region. For the turbulent boundary layer, the streamwise turbulence intensity can be reduced by the riblets, whilst the mean velocity increased. The riblets can also reduce the turbulent boundary layer thicknesses. The riblets are shown to reduce the skin friction coe ffi cients of the turbulent boundary layer generated on a flat plate. The level of reduction is the greatest when the freestream velocity is low, while the level of reduction reduces when the freestream velocity increases. This suggests that the riblets have some operational limitations where the e ff ectiveness of skin friction reduction can only be achieved over a finite range of the ratio between the riblets height and the boundary layer displacement thickness. Whilst the convection velocities of the turbulent eddies remain unchanged between the riblets and smooth baseline surfaces, the riblets exhibit a streamwise coherence function decline, which suggest that they can alter the turbulence structure in the convective field (i.e. its longitudinal structure). However, the riblets may not change the fundamental turbulence re-generation mechanism significantly. The wall fluctuating pressure power spectral density ( S qq ) shows that the riblets produce a reduction of the fluctuation level at the low and high frequency regions, but the mid-frequency range will experience an increase. The riblets can reduce the lateral coherence length scale ( l z ) of the turbulence across a large frequency range, including at low frequency. The product in the form of 10 log 10 ( l z . S qq ) could provide a hint of the trailing edge noise radiation subjected to the implementation of riblets on the wall surface. The results show that whilst the riblets can produce a lower value of 10 log 10 ( l z . S qq ) at the low and high frequency regions, they remain largely unchanged at the mid frequency range compared to the baseline due to the counter-balancing e ff ect between the S qq and l z . Based on only a single type of riblets studied here, a conclusion that can be tentatively drawn that riblets have a potential to achieve trailing edge self-noise reduction, especially at the low and high frequency regions.

10 logio(J:. Sqq), dB — baseline} ~~ riblet 10 Sf, Hz

ACKNOWLEDGEMENTS

The authors would like to thank the PhD studentship sponsored by the Thomas Gerald Gray Charitable Trust in the United Kingdom.

REFERENCES

[1] A. Gonzalez, S. A. L. Glegg, N. Hari, M. Ottman, and W. J. Devenport. Fundamental studies of the mechanisms of pressure shielding. In 25 th AIAA / CEAS Aeroacoustics Conference , AIAA 2019-2403 paper, 2019. [2] M. S. Howe. Aerodynamic noise of a serrated trailing edge. J. Fluids Struct. , 5(1):33–45, 1991. [3] B Lyu, M Azarpeyvand, and S Sinayoko. Prediction of noise from serrated trailing edges. J. Fluid. Mech. , 793:556–588, 2016. [4] T. P. Chong and A. Vathylakis. On the aeroacoustic and flow structures developed on a flat plate with a serrated sawtooth trailing edge. J. Sound Vib. , 354:65–90, 2015. [5] M. M. Scholz, T. P. Chong, and E. Smith. New strategy on porous trailing edge for self-noise reductions. In 27 th AIAA / CEAS Aeroacoustics Conference , AIAA 2021-2109 paper, 2021. [6] J. Jimenez, M. Uhlmann, A. Pinelli, and G. Kawahara. Turbulent shear flows over active and passive porous walls. J. Fluid Mech. , 442:89–117, 2001. [7] T. Geyer, E. Sarradj, and C. Fritzsche. Measurement of the noise generation at the trailing edge of porous airfoils. Exp. Fluids , 48:291–308, 2010. [8] S. Walsh. Turbulent boundary layer drag reduction using riblets. In 20th Aerospace Sciences Meeting . American Institute of Aeronautics and Astronautics, 1982. [9] D. W. Bechert, M. Bruse, W. Hage, J. G. T. van der Hoeven, and G. Hoppe. Experiments on drag-reducing surfaces and their optimization with an adjustable geometry. Journal of Fluid Mechanics , 338:59–87, 1997. [10] S. J. Lee and S. H. Lee. Flow field analysis of a turbulent boundary layer over a riblet surface. Experiments in Fluids , 30:153–166, 2001. [11] E. Bacher and C. Smith. A combined visualization-anemometry study of the turbulent drag reducing mechanisms of triangular micro-groove surface modifications. In Shear Flow Control Conference . American Institute of Aeronautics and Astronautics, 1985. [12] J. Gallagher and A. Thomas. Turbulent boundary layer characteristics over streamwise grooves. In 2nd Applied Aerodynamics Conference , 1984. [13] Kwing-So Choi. Near-wall structure of a turbulent boundary layer with riblets. Journal of Fluid Mechanics , 208:417–458, 1989. [14] S. Saravi, K. Cheng, T. Chong, and A. Vathylakis. Design of serrate-semi-circular riblets with application to skin friction reduction on engineering surfaces. International Journal of Flow Control , 6(3):83–92, 2014. [15] A. P. Garcia Sagrado. Boundary layer and trailing edge noise sources . PhD thesis, University of Cambridge, 2008. [16] K. S. Yajnik and M. Acharya. Non-equilibrium e ff ects in a turbulent boundary layer due to the destruction of large eddies. In H. Fiedler, editor, Structure and Mechanisms of Turbulence I , pages 249–260, Berlin, Heidelberg, 1978. Springer Berlin Heidelberg. [17] S.P. Gravante, A. M. Naguib, C. E. Wark, and H. M. Najib. Characterization of the pressure fluctuations under a fully developed turbulent boundary layer. AIAA J. , 36:1808–1816, 1998. [18] R. K. Amiet. Noise due to turbulent flow past a trailing edge. Journal of Sound and Vibration , 47(3):387 – 393, 1976.