Welcome to the new IOA website! Please reset your password to access your account.

The challenging measurement of acoustic effect of road surface on truck tyre noise by standard close proximity method Joël Lelong 1 Univ Gustave Eiffel, CEREMA, Univ Lyon, UMRAE F-69675, Bron, France Fabienne Anfosso Lédée 2 Univ Gustave Eiffel, MAST-LAMES F-44344, Bouguenais, France

ABSTRACT The CPX method is an efficient tool for assessing and comparing road surface acoustic properties. For heavy trucks, the standard method ISO 11819-2 requires that noise measurements are also per- formed with a "pick-up" type of tyre with noise emission characteristics of heavy goods vehicles, and proposes the tyre "H1". However this tyre does not comply with European regulations since Novem- ber 2016. The objective of this experiment is to test the Standard Reference Test Tyre SRTT-C2 for light trucks as a replacement. To this end, our CPX trailer was adapted to the large size of the test tyre. Then, the relevance of the SRTT-C2 to characterize road surfaces acoustically has been demon- strated in previous papers. The current paper presents a complementary study of the representativeness of this tyre, by compar- ing spectral effect on different pavements between CPX measurements with the SRTT-C2 tyre and SPB measurements of real trucks in the traffic. Combined SPB and CPX measurements were per- formed on three road sites, completed by CPB measurements to characterize the transfer function SPB/CPX. The results show that the SRTT-C2 tyre has a different spectral behaviour from that of heavy trucks (regardless of the number of axles) particularly in low frequencies.

1. INTRODUCTION

A procedure for acoustic characterisation of pavements is emerging on a European scale, based on near-field rolling noise (CPX) measurements. It will be used for the characterization of coatings as road products (labelling), but also to specify and verify target acoustical performance values in road maintenance or urban road works contracts. Existing CPX measurement systems in France, used for many years, are based on light instrumented vehicles using commercial tyres. Round robin tests were carried out at the end of 2016, on a dozen of pavement surfaces of the Ifsttar test tracks. The objective was to check the quality of the systems and compare them with reference measurements according to the new standard EN ISO 11819-2 [1] with a CPX trailer fitted with the reference tyre P1 for passenger cars (SRTT-C1) as described in ISO/TS 11819-3 [2]. These tests showed consistency between measurements made with the trailer

1 joel.lelong@univ-eiffel.fr

2 fabienne.anfosso@univ-eiffel.fr

a 2022

and those made with light instrumented vehicles using commercial tyres [3]. It is therefore possible to use instrumented vehicles in traffic flow for the relative measurement of the sound efficiency of a pavement surface for passenger cars. However, this efficiency is lower for heavy-duty vehicles and the standard method recommends that noise measurements are also carried out with a "pick-up" type tyre with HGV noise emission characteristics. Indeed, t he specific geometry and load capacity of the CPX trailer traditionally used, does not make it physically possible to test heavy-duty tyres. The H1 tyre proposed in ISO/TS 11819-3 [2] is the AV4 manufactured by AVON. However, this tyre is no longer compliant with the regulations (not marketed in the European Union since November 2016), it is no longer manufactured and its characteristics are unreliable. An alternative for this tyre could be the SRTT-C2 tyre which would offer the guarantees related to all reference tyres (durability). However, the use of this tyre for noise characterisation purposes has not been investigated to date. The purpose of this study is to test the suitability of using the SRTT-C2 heavy-duty reference tyre for acoustic characterization of pavements. To this end, three actions have been identified:

• The first action concerned the feasibility of the study by checking (and adapting if necessary)

the capability of the CPX trailer to accommodate the SRTT-C2 tyres • The next step was to verify the relevance of using the SRTT-C2 tyre to characterize acoustic properties of road surfaces. For this purpose, CPX tests were carried out with the current reference tyres (SRTT-C1 and Avon AV4) on the one hand and the SRTT-C2 tyre on the other hand on various pavements on the test track of the University Gustave Eiffel • The representativeness of the SRTT-C2 tyre was the subject of the third action undertaken in

this study. This involves checking that this tyre correctly reflects the acoustic behaviour of a heavy-duty tyre. This was done on the basis of Statistical Pass-by measurements ( SPB) ac- cording to ISO 11819-1 [4] on a real HGV traffic flow, compared to CPX noise measurements carried out with SRTT-C2 tyres. The first two points were addressed in an earlier publication [5]. This paper aims to present the results of investigations on the third point of this study.

2. EXPERIMENTAL PROCEDURE

2.1. Objective and initial measurement protocol The use of a second reference tyre to reflect the effect of the pavement for a heavy truck is of interest only if its sound emission is effectively representative of that category of vehicles, in particular in the spectral domain. Therefore the main objective of this study is to check whether the noise emission of the SRTT-C2 tyre is representative of heavy-duty tyres (particularly in terms of spectral profile). In order to compare CPX measurements close to the test tyre with SPB measurements of real HGV traffic on the road side, intermediate pass-by measurements under controlled conditions (CPB) using a vehicle (van type) equipped with SRTT-C2 were planned. The aim of these CPB measurements is to evaluate the difference in sound propagation effect between close proximity of the test tyre and road side. The comparison of the CPB and SPB spectra then meets the objective of the task.

a 2022

2.2. Revised protocol The difficulty of finding a vehicle accepting the SRTT-C2 tyres proved to be insurmountable. Indeed, these tyres have very special dimensions (corresponding rather to a standard found in the North Amer- ican car fleet), in-depth research has shown that vehicles meeting the assembly criteria have not been marketed for many years in Europe and are therefore no longer available in the current fleet. As a result, we had to modify the initial experimental protocol as follows:

• CPB measurements were carried out with a van (Citroën Jumpy) equipped with the original

commercial tyres (Michelin Agilis). • In addition, two CPX measurement campaigns were carried out:

o The campaign originally planned with SRTT-C2, SRTT-C1 and Avon AV4 tyres o A complementary CPX measurement campaign with the Michelin Agilis tyre fitted to the van. The CPB/CPX measurements carried out with the Michelin Agilis tyre aimed at establishing the CPX/SPB transfer function (spectrally). This transfer function was then applied to the CPX /SRTT- C2 measurements to estimate (still spectrally) the CPB/SRTT-C2 measurements that should have been made. This is summarized in Fig. 1:

a 2022

Figure 1: Initial and revised protocol

2.3. Experimental program

Measurement sites: The initial idea was to investigate pavements representative of all the technologies currently devel- oped in France, categorized in three classes R1 to R3 in the French national noise prediction method NMPB08 [6]. Unfortunately, it was not possible to find in the Grand Est region, all the suitable sites meeting the requirements of the CPX/SPB standards. The measurement sites finally selected were:

• RD 1083 (direction Strasbourg Sélestat) Thin Asphalt Concrete (R2) + SMA (R2) • RD 1404 (direction A4 Saverne) Dense AC (R2) • RD 422 (direction A35 Obernai) Dense AC (R2) CPX measurements: They were carried out with the UMRAE trailer (described in [4]), successively equipped with the Michelin Agilis, SRTT-C1, SRTT-C2 and Avon AV4 tyres. The speeds used were chosen according to the type of road infrastructure considered:

• On RD 1404 and RD 422 (Highway 2*1 lanes): 50 km/h to 80 km/h in 10 km/h steps; • On RD 1083 (2*2-lane road): 70-110 km/h in 10 km/h steps. The geographical location of the beginnings and ends of measured sections was identified by the GPS system integrated into the signal acquisition device. SPB measurements: They were conducted at each site. A minimum number of HGVs were measured to ensure statistical analysis (Table 1). The number of axles was systematically identified, in order to classify the vehicles a posteriori. It should be noted that a HGV semi-trailer with three axles on the trailer but one of which being lifted position has been classified as “4 axles” (number of axles with actual wheels in contact with the pavement). CPB measurements: They were carried out with the van Citroën Jumpy vehicle equipped with Michelin/Agilis tyres. The speeds used were the same as those used for the CPX measurements. Note that in the case of the RD 1083 (axis 2*2 lanes), the speeds ranged from 70 to 110 km/h. Table 1 shows the number of trucks measured at the various sites according to their axle numbers.

Table 1: Number of trucks measured at the various sites according to their axle numbers.

2 axles 3 axles 4 axles 5 axles RD 1083 TAC (BBM) + SMA

12 7 11 44

RD 1404 DAC (BBSG)

11 8 26 26

RD 422 DAC (BBSG)

26 12 9 4

a 2022

a 2022

3. RESULTS AND DISCUSSION

3.1. Spectral behaviour

The spectral analysis of the various measurements was carried out as follows:

• CPB and SPB measurements: The analysis was carried out in accordance with ISO 11819-1,

in third octave in the range [50 Hz – 10 kHz]. • CPX measurements: The analysis was carried out in accordance with ISO 11819-2, in third

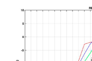
octave in the range [315 Hz – 5 kHz]. Since CPX measurements were also performed with the Avon AV4 tyre, the CPB spectra of the van virtually equipped with Avon AV4 tyres was estimated by applying the CPX/CPB transfer function. Figures 2 to 5 represent the spectral profiles of the SPB measurements for the different categories of HGVs (by number of axles) and the spectral profile estimation of the Jumpy van virtually equipped with SRTT-C2 and Avon AV4 tyres, all at the reference speed of 80 km/h. The spectra plotted on the figures are adjusted so that their maximum is set to 0 dB. Spectrum comparison can only be conducted in the 315 Hz to 5 kHz frequency range, as the SRTT- C2 spectral estimate under CPB derived from CPX measurements in this frequency range.

Scteeegaras

Figure 2. RD1083 (Thin Asphalt Concrete). Comparison of HGVs spectral profiles (sorted by num- ber of axles) and CPB spectral profiles (estimated) of SRTT-C2 and Avon AV4 tyres .

a 2022

“Pritiiiiin Soteeegee es

Figure 3. RD1083 (SMA). Comparison of HGVs spectral profiles (sorted by number of ax-

les) and CPB spectral profiles (estimated) of SRTT-C2 and Avon AV4 tyres .

Figure 4. RD1404 (Dense Asphalt Concrete) Comparison of HGVs spectral profiles (sorted by number of axles) and CPB spectral profiles (estimated) of SRTT-C2 and Avon AV4 tyres.

rrr Sosseseaees

gargstag state

a 2022

diiiiiiie: SoeSEERREES

Figure 5. RD422 (Dense Asphalt Concrete). Comparison of HGVs spectral profiles (sorted by number of axles) and CPB spectral profiles (estimated) of SRTT-C2 and Avon AV4 tyres .

3.2. Discussion The examination of these spectral profiles shows some general trends:

• The noise peak of the SRTT-C2 is located around 1 kHz, whereas the noise peaks displayed

by the HGVs, regardless of the number of axles, are located in lower frequencies, between 630 Hz and 800 Hz. The Avon AV4 tyre has noise peaks closer to the HGVs values. • The SRTT-C2 tyre spectral behaviour is very comparable to HGVs’ for frequencies above

1.25 kHz. This is particularly the case for the results obtained on the RD 183 (Thin Asphalt Concrete and SMA) and on the RD 422, this is a little less true for those obtained on the RD 1404. • The differences observed between the spectral profiles of the HGVs and the SRTT-C2 tyre at

low frequencies (below 630 Hz) may partly be explained by the presence of engine noise in addition to rolling noise. This is quite clear from the results obtained on the RD 1404 and the RD 422 where the peaks typical of engine noise appear at third octave 250 Hz and 315 Hz or below.

4. CONCLUSIONS

The representativeness of the SRTT-C2 tyre was the subject of the third action undertaken in this study. The aim here was to verify that this tyre correctly reflects the acoustic behaviour of a heavy-

duty tyre. This was carried out on the basis of SPB noise measurements of HGVs in a real traffic, compared with CPX noise measurements with the SRTT-C2 tyre. The methodology require an in- termediate measurement of pass-by noise under controlled conditions (CPB type measurements) on a van fitted with the same tyre. The difficulty of finding a van accepting the SRTT-C2 tyres led to an adaptation in the experimental protocol in order to evaluate the transfer function between close proximity and pass-by positions. The results obtained show that the SRTT-C2 tyre has a different spectral behaviour than that of heavy goods vehicles (regardless of their number of axles) especially in low frequencies. The same observation applies to the Avon AV4 tyre presently recommended in the Technical Specification [2]. The conclusions of the two actions described above show that con- sideration must be given in particular to the appropriateness of using the current trailer for the acous- tic qualification of pavements in the case of heavy goods vehicles. An alternative could be to de- velop a CPX method embedded on a heavy test vehicle. 5. ACKNOWLEDGEMENTS

The authors gratefully acknowledge the contribution of the participants to this study (F. Chiappini, L. Brendel – Cerema/DTer/Umrae and A. Le Bellec – Univ. Gustave Eiffel/Umrae). The authors also acknowledge the French Ministry of Ecology for the financial support of this study. 6. REFERENCES

1. EN ISO 11819-2: 2017 Acoustics – Measurement of the influence of road surfaces on traffic noise. Part 2 : the Close Proximity Method (2017) 2. ISO TS 11819-3: 2021 Acoustics - Measurement of the influence of road surfaces on traffic noise. Part 3 : Reference Tyres (2021) 3. J. Lelong, F. Anfosso-Lédée, B. Soldano : A Round Robin Test of CPX devices for the charac- terization of road surface noise properties. Proceedings of INTER-NOISE 2017 , Hong Kong, August 2017 4. EN ISO 11819-1: 1997 Acoustics - Measurement of the influence of road surfaces on traffic noise. Part 1 : Statistical Pass-By method (1997) 5. J. Lelong, F. Anfosso-Lédée: Can CPX method evaluate truck tyre noise ? A first approach using standardized light truck test tyre . Proceedings of INTER-NOISE 2020 , Séoul, August 2020. 6. NMPB08: Road noise prediction, part 1 – Calculating sound emission from road traffic , Sétra, (2009)

a 2022