Welcome to the new IOA website! Please reset your password to access your account.

Monitoring of combustion oscillation by cascade extended state ob- server Zhaohui Wang 1 Department of Energy and Power Engineering, Tsinghua University 30 Shuangqing Road, Haidian District, Beijing, China Donghai Li 2 Department of Energy and Power Engineering, Tsinghua University 30 Shuangqing Road, Haidian District, Beijing, China Min Zhu 3 Department of Energy and Power Engineering, Tsinghua University 30 Shuangqing Road, Haidian District, Beijing, China

ABSTRACT In modern gas turbines, active control has proved to be a useful tool in the suppression of combustion oscillation. As the basis of early warning and control, signal monitoring will directly affect the per- formance of the whole system. Traditionally, time series analysis and machine learning methods are often applied to monitor system information. However, there are some drawbacks, such as a large amount of calculation, limited accuracy and insufficient generality, which limits the engineering ap- plication. To solve these problems, this paper presents a monitoring method based on extended state observer (ESO), which utilizes the observed derivative information for online monitoring. Due to the difficulty in parameter tuning and sensitivity to noise, conventional high-order ESO is modified to cascade low-order ESO. Meanwhile, a compensation scheme based on Taylor expansion is proposed to tackle the time delay caused by the cascade group. Combined with known system information, the structure of ESO can be further updated, which improves monitoring accuracy. Simulation results show that the proposed method can achieve computation simplicity, high monitoring accuracy, and has great robustness and noise immunity. 1. INTRODUCTION

Due to the increasingly strict requirements on the content of NOx in combustion products, lean premixed combustion technology has gradually become an important research direction, especially in the efficient and clean power generation of heavy gas turbines. However, under lean combustion condition, severe pressure fluctuations are easy to occur in the combustion chamber, which is called combustion oscillation or thermoacoustic instability [1]. This phenomenon will not only produce

1 wangzhaohui19@mails.tsinghua.edu.cn

2 lidongh@tsinghua.edu.cn

3 zhumin@tsinghua.edu.cn

worm 2022

huge noise and reduce combustion efficiency, but also is not conducive to the safe and stable opera- tion of combustion equipment. Therefore, it is necessary to warn the possible oscillation during com- bustion and apply control in advance to ensure normal working conditions.

When combustion oscillation occurs, the nonlinear dynamic characteristics of the system is com- plex with high background noise, which is a big challenge for monitoring. At present, several signal online monitoring methods have been studied. Time series analysis, such as Bayesian network [2], autocorrelation analysis [3], can obtain monitoring results with great precision, but the calculation method is often complex and time-consuming. Consequently, it is in contradiction with the rapidity required by thermoacoustic oscillation monitoring. Machine learning has been applied to process ex- perimental data [4] or flame images [5]. While these methods can acquire high monitoring accuracy, the universality of learning results is not strong. And over fitting is easy to occur because there are few oscillation data to learn.

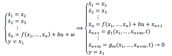
Therefore, the monitoring methods mentioned are often limited and cannot meet the balance re- quirements of calculation rapidity, monitoring length and accuracy. To tackle these limitations, an online monitoring method based on cascade low-order Extended State Observer (ESO) is proposed in this paper, which uses the observed derivatives to calculate the variation trend of signals. Consid- ering the time delay caused by cascade group, a compensation scheme based on Taylor expansion is given. Combined with the transfer function of combustion system, the structure of ESO can be further updated, and the monitoring accuracy is further improved. The simulation results show that the method described in this paper can achieve the expected effect, and has certain robustness and im- munity. 2. MONITORING METHOD

2.1. Formulation

A Single-Input Single Output (SISO) nonlinear system is defined as

{ 𝑥 ሺ𝑛ሻ ሺ𝑡ሻ= 𝑓ቀ𝑡, 𝑥ሺ𝑡ሻ, ̇𝑥ሺ𝑡ሻ, … , 𝑥 ሺ𝑛−1ሻ ሺ𝑡ሻቁ+ 𝑤ሺ𝑡ሻ+ 𝑢ሺ𝑡ሻ

(1)

𝑦ሺ𝑡ሻ= 𝑥ሺ𝑡ሻ

where 𝑡, 𝑤, 𝑓, 𝑢, 𝑦 are the time, external disturbances, nonlinearity and uncertainty of the system, con- trol input and system output, respectively.

According to traditional ESO design theory, the unknown characteristics of the system and exter- nal disturbance are combined into an extended state for observation, which enables ESO to estimate the equivalent total disturbance of the system.

For the n-order system (see Equation 1), the origin system states are defined as

𝑥 1 = 𝑥ሺ𝑡ሻ, 𝑥 2 = ̇𝑥ሺ𝑡ሻ, … , 𝑥 𝑛 =𝑥 ሺ𝑛ሻ ሺ𝑡ሻ (2)

and the total disturbance is regarded as a new state

𝑥 𝑛+1 = 𝑓ቀ𝑡, 𝑥ሺ𝑡ሻ, ̇𝑥ሺ𝑡ሻ, … , 𝑥 ሺ𝑛−1ሻ ሺ𝑡ሻቁ+ 𝑤ሺ𝑡ሻ (3)

Then the nonlinear system (1) can be written as

{ ̇𝒙= 𝐴𝒙+ 𝐵𝑢+ 𝐸ℎ

𝑦= 𝐶𝒙 (4)

where

worm 2022

ۏ ێ ێ ێ ۍ 0 1 0 ⋯ 0 0 0 1 ⋯ 0 ⋮ ⋮ ⋮ ⋱ ⋮ 0 0 0 ⋯ 1 0 0 0 ⋯ 0 ے

ۏ ێ ێ ێ ۍ 0

ۏ ێ ێ ێ ۍ 0

ۑ ۑ ۑ ې

ۑ ۑ ۑ ې

ۑ ۑ ۑ ې

0

0

,

, 𝐵=

, 𝐸=

𝐴=

⋮ 0 1 ے

⋮ 1 0 ے

ሺ𝑛+1ሻ×1

ሺ𝑛+1ሻ×ሺ𝑛+1ሻ

ሺ𝑛+1ሻ×1

d𝑓ቀ𝑡, 𝑥ሺ𝑡ሻ, 𝑥̇ሺ𝑡ሻ, … , 𝑥 ሺ𝑛−1ሻ ሺ𝑡ሻቁ+ 𝑤ሺ𝑡ሻ

𝐶= ሾ1 0 ⋯ 0 0ሿ 1×ሺ𝑛+1ሻ , ℎ=

d𝑡 .

And the corresponding ESO is

{ ̇𝒛= 𝐴𝒛+ 𝐵𝑢+ 𝐿ሺ𝑦−̂𝑦ሻ

worm 2022

̂𝑦= 𝐶𝒛 (5)

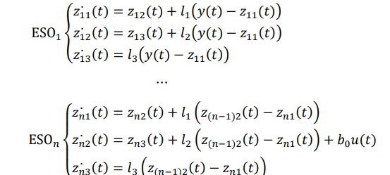
where 𝒛 𝜖 ℝ 𝑛+1 is the estimated state of 𝒙 , and the observer gain matrix 𝐿= ሾ𝑙 1 𝑙 2 ⋯ 𝑙 𝑛+1 ሿ makes all roots of 𝑠 𝑛+1 + 𝑙 1 𝑠 𝑛 + ⋯+ 𝑙 𝑛 𝑠+ 𝑙 𝑛+1 = 0 in the left half complex plane. For actual com- bustion system, ESO can be used to monitor the data obtained by sensors, as shown in Figure 1(a).

(a) Monitoring system (b) Cascade ESO group Figure 1: ESO structure Bandwidth-parameterization [6] is a useful method to make the tuning process much simpler and intuitive. The observer gain matrix 𝐿 is determined by using the standard eigenvalue assignment tech- nique based on the Equation 6.

𝜆 𝑛 ሺ𝑠ሻ= ሺ𝑠+ 𝜔 o ሻ 𝑛+1 = eigሺ𝐴+ 𝐿𝐶ሻ (6)

where 𝜔 o is the bandwidth of the observer, and 𝑛 is the order of the system.

In general, when the bandwidth is properly set, the observer can well estimate the origin system states 𝑥 1 ,…, 𝑥 𝑛 , and the total disturbance state 𝑥 𝑛+1 . Thus, the observed values of the system output y and its derivatives of order 1 to 𝑛 can be obtained.

According to the derivative formula 7, the system output 𝑥 at the future time can be estimated from the linear combination of each order derivative, which is defined as Equation 8.

𝑥 ሺ𝑛ሻ ሺ𝑡ሻ= 𝑥 ሺ𝑛−1ሻ ሺ 𝑡+ ℎ ሻ −𝑥 ሺ𝑛−1ሻ ሺ 𝑡 ሻ

ℎ (7)

𝑘

𝑥ሺ𝑡+ 𝑘ℎሻ ∑ = ℎ 𝑖 𝛼 𝑘𝑖 𝑥 ሺ𝑖ሻ ሺ𝑡ሻ

(8)

𝑖=0

where ℎ is the discrete step, 𝑘 is the order of the derivative and 𝛼 𝑘𝑖 is the linear combination coeffi- cient. The value of 𝛼 𝑘𝑖 is defined as Equation 9, where 𝐶 𝑘

𝑖 is the combinatorial number.

𝑖 (9)

𝛼 𝑘𝑖 = 𝐶 𝑘

2.2. Improvement

According to Equation 8, the length to be monitored determines the order of ESO, which brings two problems. Problem (a) occurs when the ESO order is high and the bandwidth-parameterization method works bad. The ESO will be difficult to tune because the number of parameters is decided by order 𝑁 . Meanwhile, the noise will be amplified and affect the observation, as the observer gains of high order are often large. Problem (b) is that the traditional ESO structure design doesn’t consider the information of system model and disturbance, which brings the limited observation accuracy. To solve the two defects, two improvement measures are adopted in the paper. Solution (a) Cascade ESO group with time delay compensation

Generally, the problems caused by high-order ESO can be settled by cascade low-order ESO. For traditional ESO, ( 𝑁 +2)-order is required for the 𝑁 -order derivative, while a cascade group of 𝑛 3- order ESO can obtain similar effect [7], which is defined as

where 𝑙 1 , 𝑙 2 , 𝑙 3 are observer gains, and 𝑏 0 is an estimator of critical gain.

ESO 1 - ESO 𝑛 share the same set of parameters and can be tuned according to the bandwidth-param- eterization method, which will greatly reduce the number of ESO parameters. In addition, this struc- ture ensures appropriate observer gains to reduce the impact of noise. The schematic diagram of this scheme is shown outside the dotted line box in Figure 1(b), and 𝜏 is the time delay caused by the signal passing through the links.

Taylor expansion is used to compensate the observed signal and each derivative. The part of dotted box in Figure 1(b) is added to compensate 𝑦ሺ𝑡ሻ . For ESO 1 , using Taylor expansion to expand the input signal 𝑦ሺ𝑡−𝜏ሻ at time 𝑡 , we obtain that

𝑦ሺ𝑡−𝜏ሻ= 𝑦ሺ𝑡ሻ+ 𝑦̇ሺ𝑡ሻሺ−𝜏ሻ+ 𝑅ሺ𝑡, 𝜏ሻ (11)

where 𝑅ሺ𝑡, 𝜏ሻ is a higher-order error term.

For ESO 0 , using Taylor expansion to expand the input signal 𝑦ሺ𝑡−2𝜏ሻ at time 𝑡 , which results in 𝑦ሺ𝑡−2𝜏ሻ= 𝑦ሺ𝑡ሻ+ 𝑦̇ሺ𝑡ሻሺ−2𝜏ሻ+ 𝑅ሺ𝑡, 𝜏ሻ (12) Ignoring the higher-order terms, the output with time delay compensation is as follows

𝑦ሺ𝑡ሻ തതതതതത= 2𝑦ሺ𝑡−𝜏ሻ−𝑦ሺ𝑡−2𝜏ሻ (13)

Similarly, the compensation for the k-order derivative is

worm 2022

𝑦 ሺ𝑘ሻ ሺ𝑡ሻ തതതതതതതതത= ሺ𝑘+ 1ሻ𝑦 ሺ 𝑘 ሻ ሺ𝑡−𝑘𝜏ሻ−𝑘𝑦 ሺ 𝑘 ሻ ሺ𝑡−ሺ𝑘+ 1ሻ𝜏ሻ (14)

By substituting the compensated value into Equation 8, the monitoring error caused by time delay can be reduced. Solution (b) Reconstructed ESO

According to Equation 4 and 5, the observation error of ESO is defined as 𝒆= 𝒛−𝒙 , and the time-domain expression of error is

𝒆̇ = ሺ𝐴−𝐿𝐶ሻ𝒆−𝐸ℎ (15)

Because of the definition of matrices 𝐴 , 𝐿 and 𝐶 , ሺ𝐴−𝐿𝐶ሻ is a Hurwitz matrix. When the system reaches near the equilibrium point, the internal uncertainty dependent on the system states usually changes slowly, which means the component term of disturbance d𝑓d𝑡 Τ is almost 0. Conversely, the external disturbance term d𝑤d𝑡 Τ will have a continuous effect on the system. Therefore, when d𝑤d𝑡 Τ = 0 , which means 𝑤 is a constant, Equation 15 becomes 𝒆̇ = ሺ𝐴−𝐿𝐶ሻ𝒆 (16) It can be concluded from Equation 15 that the observation error of ESO can gradually converge to 0 under constant external disturbance.

When d𝑤d𝑡 Τ is a constant, such as 𝑤 is slope disturbance, Equation 15 has an asymptotically sta- ble equilibrium point 𝒆 𝟎 , which is

𝒆 𝟎 = 𝐸ℎ 𝐴−𝐿𝐶 (17)

Under this condition, the observer has a steady-state error in estimation of disturbance and states. The larger the differential of external disturbance to time, the larger the steady-state error. And the larger the bandwidth of observer, the smaller the steady-state error.

When d𝑤d𝑡 Τ is a time-varying disturbance, observer error 𝒆 can only converges to a neighbor- hood, which depends on the size of the upper bound of ȁd𝑤d𝑡 Τ ȁ . To achieve the goal of accurate observation, the ESO can be reconstructed to reduce the upper bound of the derivative of disturbance term. The method is to reconstruct the state of original system (see Equation 4) by making the derivative of the highest order state converge to 0, as shown in Equa- tion 18. The observation error can be reduced after designing ESO based on the reconstructed system.

where is 𝑔 𝑖 a function related to state 𝒙 and time 𝑡 . The above are the solutions to these two problems, which will be further illustrated and demonstrated by simulation examples in section 3. 3. CASE SIMULATION AND ANALYSIS

worm 2022

3.1. Simulation of Flame transfer function

Consider the flame transfer function (FTF) described as a second order oscillation model [8]

𝐹𝑇𝐹= 𝐾 𝑠 2 + 2𝜉𝜔 c 𝑠+ 𝜔 c 2 (19)

where 𝐾 is the amplification coefficient, 𝜉 is the damping coefficient and 𝜔 c is the characteristic an- gular frequency.

The state space of Equation 19 can be written as

𝑥̇ 1 = 𝑥 2 𝑥̇ 2 = −2𝜉𝜔 c 𝑥 2 −𝜔 c

2 𝑥 1 + 𝑤+ 𝐾𝑢 𝑦= 𝑥 1

(20)

To simulate the initiation process of combustion oscillation, the external disturbance is taken as 𝑤= 𝑡sinሺ𝑡ሻ (21) which satisfies

{ 𝑤̇ = sinሺ𝑡ሻ+ 𝑡cosሺ𝑡ሻ

𝑤ሷ= 2cosሺ𝑡ሻ−𝑡sinሺ𝑡ሻ (22)

Define the extending state of system (see Equation 20) 𝑥 3 ≜𝑤 , 𝑥 4 ≜𝑤̇ , 𝑥 5 ≜𝑤ሷ−ሺ1 + 2 𝑡 2 Τ ሻ𝑥 3 + ሺ2 𝑡 Τ ሻ𝑥 4 . The system is reconstructed and the corresponding ESO can be designed, as shown in Equa- tion 23.

ۖ ۖ ۓ 𝑧̇ 1 = 𝑧 2 + 𝑙 1 ሺ𝑦−𝑧 1 ሻ

ۖ ۖ ۓ 𝑥̇ 1 = 𝑥 2

2 𝑧 1 + 𝑧 3 + 𝐾𝑢+ 𝑙 2 ሺ𝑦−𝑧 1 ሻ 𝑧̇ 3 = 𝑧 4 + 𝑙 3 ሺ𝑦−𝑧 1 ሻ

2 𝑥 1 + 𝑥 3 + 𝐾𝑢 𝑥̇ 3 = 𝑥 4

𝑧̇ 2 = −2𝜉𝜔 c 𝑧 2 −𝜔 c

𝑥̇ 2 = −2𝜉𝜔 c 𝑥 2 −𝜔 c

𝐸𝑆𝑂 ሳልሰ

(23)

𝑥̇ 4 = −൬1 + 2

𝑡 2 ൰𝑥 3 + 2

𝑧̇ 4 = −൬1 + 2

𝑡 2 ൰𝑧 3 + 2

𝑡 𝑧 4 + 𝑧 5 + 𝑙 4 ሺ𝑦−𝑧 1 ሻ

𝑡 𝑥 4 + 𝑥 5

ە ۖ ۖ ۔

ە ۖ ۖ ۔

𝑥̇ 5 = ℎ 𝑦= 𝑥 1

𝑧̇ 5 = 𝑙 5 ሺ𝑦−𝑧 1 ሻ 𝑦̂ = 𝑧 1

Since the reconstructed system combines the disturbance information, the highest order system state ℎሺ𝑡ሻ can converge to 0, so is the observer estimation error.

Set ESO bandwidth 𝜔 o = 1 rad/s , amplification coefficient 𝐾= 1 , damping coefficient 𝜉= 0.5 characteristic angular frequency 𝜔 c = 0.5 rad/s . Define the observation error as 𝑒 1 = 𝑦−𝑧 1 , 𝑒 2 = 𝑦̇ −𝑧 2 . The comparison of observation results between the 3-order ESO 1 in Equation 10 and the re- constructed ESO are shown in Figure 2.

(a) 𝑒 1 (b) 𝑒 2 Figure 2: Observer error comparison

worm 2022

It can be seen from the Figure 2 that the designed ESO can make the observation error converge to 0 by using the prior knowledge of disturbance to reconstruct the original system.

Next, by replacing the ESO 0 and ESO 1 in Figure 1(b) with the reconstructed ESO in Equation 23, we can obtain the reconstructed cascade ESO group. Make the order of derivative 𝑘= 3 and the discrete step ℎ= 0.1 s. Taking the same observer bandwidth 𝜔 o = 1 rad/s , the reconstructed cascade ESO group is compared with the traditional high-order ESO and the cascade 3-order ESO group. The original signal 𝑦 is plotted 0.3s in advance to facilitate the comparison of monitoring effects. Figure 3(a) shows the original signal with advance and its monitoring results, and Figure 3(b) shows the monitoring error 𝑒 1 .

(a) Results (b) Errors Figure 3: Monitoring results and error From the time position of the peak signal amplitude in Figure 3(a), we can find that the monitoring advance of cascade 3-order ESO group (black line) and cascade reconstructed ESO (blue line) is approximately consistent with the set parameter 𝑘× ℎ= 0.3 s (red line). In contrast, the monitoring advance of traditional high-order ESO (green line) is larger than 0.3s, which is 0.44s in this case. The result means that its observation and monitoring effect is poor. Figure 3(b) shows that the monitoring errors from large to small are respectively high-order ESO, cascade 3-order ESO group and cascade reconstructed ESO. Consequently, the method of cascade reconstructed ESO group can solve the two problems mentioned in Section 2.2.

worm 2022

3.2. Simulation of robustness and noise immunity

In order to test the robustness and noise immunity of the monitoring method, the parameters of the simulation system are adjusted, while the observer’s structure and parameters keeping unchanged. First, damping coefficient 𝜉 is reduced to 0.05, which represents the system modeling error. Second, add white noise with mean value of 0 and variance of 1 at the system output 𝑦 to represent external noise. Third, saturation link is added to the external disturbance 𝑤 to represent disturbance modeling error, which is written as

𝑤= { 𝑡sinሺ𝑡ሻ , 0 ≤𝑡≤10

10sinሺ𝑡ሻ , 𝑡> 10 (24)

The monitoring results are shown in Figure 4. It can be seen that the ESO group still realizes the monitoring function in the case of certain modeling error and noise, indicating that the monitoring method proposed in this paper has robustness and noise immunity.

(a) Results (b) Errors Figure 4: Simulation of robustness and noise immunity 4. CONCLUSIONS

An online monitoring method for combustion oscillation is proposed to balance requirements of calculation rapidity, monitoring length and accuracy, based on cascade reconstructed ESO. First, the problems existing in the monitoring process of the traditional ESO are analyzed. The cascade low- order ESO combined with the time compensation method based on Taylor expansion is presented to deal with the drawbacks of high-order ESO. Then the limited observation accuracy caused by the structure of ESO is improved by reconstructing ESO with the system and disturbance information. Finally, simulation results show that the proposed monitoring method can work well with good ro- bustness and noise immunity. 5. ACKNOWLEDGEMENTS

worm 2022

This work is funded by the National Science and Technology Major Project (J2019-III-0020- 0064).

6. REFERENCES

1. Lieuwen, T., & Richards, G. (2003). Recent progress in predicting, monitoring and controlling

combustion driven oscillations in gas turbines. turbomachinery international. 2. Sihan, X., Yiwei, F., & Asok, R. (2018). Bayesian nonparametric modeling of categorical data

for information fusion and causal inference. Entropy, 20(6), 396. 3. An, Q., Steinberg, A. M., Jella, S., Bourque, G., & Furi, M. (2019). Early warning signs of immi-

nent thermoacoustic oscillations through critical slowing down. Journal of Engineering for Gas Turbines and Power, 141(5), 054501.1-054501.4. 4. Cammarata, L., Fichera, A., & Pagano, A. (2002). Neural prediction of combustion instability.

Applied Energy, 72(2), 513-528. 5. Gangopadhyay, T., Ramanan, V., Akintayo, A., Boor, P. K., Sarkar, S., & Chakravarthy, S. R., et

al. (2021). 3d convolutional selective autoencoder for instability detection in combustion systems. 6. Gao, Z. (2003). Scaling and bandwidth-parameterization based controller tuning. IEEE. IEEE. 7. Zhenlong Wu;Haisu Wu;Donghai Li;Ting He;Fengsheng Jia;Li Sun;. (2018). A comparison study

of a high order system with different ADRC control strategies. Proceedings of the 37 th Chinese Control Conference. 8. Liu, S., Weng, F., Zhang, X., & Zhu, M. (2016). Experimental investigation of methane premixed

swirling flame dynamics. Journal of Engineering Thermophysics(01),198-201.