Welcome to the new IOA website! Please reset your password to access your account.

Broadband noise attenuation in the flow duct using metamaterial-based acoustic liners

Jingwen Guo, Renhao Qu, Wei Yi, Yi Fang and Siyang Zhong 1 , Department of Mechanical and Aerospace Engineering, The Hong Kong University of Science and Technology, Clear Water Bay, Kowloon, Hong Kong SAR, China

ABSTRACT

In this work, a metamaterial-based acoustic liner design, called meta-liner, is proposed for broadband noise reduction in ducts with flows. It is constructed by eight periodically arranged varying-depth units filled with porous materials, forming a linear reflected phase-shifting within 0 to 2 π in a broad target frequency range. Under normal incident waves, sound absorption performance is first examined by numerical simulation, leading to broadband sound absorption. Then, the meta-liner is installed in a flow tube to assess its capability of reducing broadband noise in a duct with aerodynamic flows. The numerical investigations are performed in the finite element method. The e ff ects of flow speeds with the Mach number up to 0.2 and the sound source position (at upstream and downstream sides of meta-liner) are investigated. The results show that a flat transmission loss curve is achieved in the target frequency range in various conditions, suggesting that the designed meta-liner can attenuate sound in a wide frequency range.

1. INTRODUCTION

Traditional resonance-type acoustic dampers, such as Helmholtz resonators, quarter-wavelength resonators, and perforates, are widely used for noise attenuation in ducts such as aero-engine intake / bypass ducts, gas turbine combustors, acoustic mu ffl ers. However, the e ff ective frequency range is often narrow near the resonance frequencies. An approach to reduce the noise in a wide frequency range is based on porous or fibrous absorbing materials, which, however, require a depth comparable to the operation wavelength, thus hindering realistic applications. Developing a compact broadband acoustic liner remains challenging. Like many metamaterials for many other physic processes, acoustic metamaterials (AMs) have been intensively studied to yield properties that are rare in nature. AM has been applied and explored in various directions such as negative mass density and / or negative bulk modulus [ 1 ], reflected wavefront manipulation [ 2 , 3 ], acoustic superlensing [ 4 ], slow sound speed of propagation [ 5 , 6 ] and acoustic cloaking [ 7 , 8 ], etc. Among them, an important and straightforward application of AM to reduce the annoying noise [ 9 , 10 ]. The emergence and development and successes in previous topics of AMs have inspired a number of novel designs for broadband noise attenuation. Some existing work on designing broadband noise reduction AM was based on the parallel arrangement of inhomogeneous resonators based on the coupling resonance e ff ect. Zhang and Hu [ 11 ] designed

1 Also at: HKUST Institute for Advanced Study, The Hong Kong University of Science and Technology, Clear Water Bay, Kowloon, Hong Kong SAR, China. Email: zhongsy@ust.hk

a slaty. inter.noise 21-24 AUGUST SCOTTISH EVENT CAMPUS O ¥, ? GLASGOW

a multiple-channel labyrinthine AM. Yang et al. [ 12 ] designed an optimal sound absorber consisting of 16 Fabry–Perot (FP) channels with a good sound absorption performance above 400 Hz. The thickness of the structure is about 1 / 10th of the largest wavelength within the frequency band. A drawback of many of the existing broadband AMs is the inevitable complexity of the structure and the large thickness. Another routine of AM design is based on the periodic arrangement of metaporous material. This type of AM can manipulate the wavefront, the analysis of which is usually based on the generalized Snell’s law (GSL) [ 13 ], and therefore achieve a good noise reduction performance. By varying the properties of the units, i.e., the supercell, the normal wave reflection can be converted to a surface wave. In this case, the acoustic energy can be trapped on the surface and is not able to be radiated out. Based on this approach, Fang et al. [ 14 , 15 ] designed sound-absorbing metaporous materials based on stair-stepping porous structures filled with porous materials. However, the e ff ective range of the designed material to reduce sound is still narrow, calling for e ff orts for AM designs for actual broadband noise attenuation. Moreover, many AM design does not consider the influence of flows. In many practical applications, e.g., the aero-engines, the sound generation and propagation take place in the moving medium. The flows, which are often uniform in the space, can alter the wave number distributions and thus a ff ecting the sound absorption performance. In engine applications, the material installed on the surface of the intake and bypass nozzles is called an acoustic liner, which is so far the widely used and e ff ective technique in practice. Most of the current liner design is based on acoustic resonance and therefore su ff ers from the issue of only being capable in a narrow frequency range. In this work, an acoustic liner design based on metamaterials, called the meta-liner, is designed for sound attenuation in ducts. It is based on wavefront manipulation, and the airflow e ff ect on the sound reduction performance is considered. The basic configuration of the meta-liner and its normal absorption performance is presented in Section 2 . Section 3 presents the noise attenuation capability of the designed meta-liner at the grazing flow with di ff erent flow speeds. Section 4 is a summary.

2. META-LINER DESIGN AND ITS ABSORPTION PERFORMANCE

Inspired by the previous study [ 2 , 16 ], we propose a meta-liner design constructed by periodic supercells, and each supercell consists of eight dedicated inhomogeneous units filled with porous materials, as shown in Fig. 1 (a). The units are separated by rigid plates. The porous materials can be modelled as a homogeneous fluid medium with the e ff ective density ρ e and the e ff ective bulk modulus K e calculated by using the Johnso-Champoux-Allard (JCA) model

K e = γ P 0 /φ

, (1)

γ − γ − 1

! 1

1 + j ρ 0 ω B 2 Λ ′ 2

1 + 8 η j Λ ′ 2 B 2 ωρ 0

2

16 η

! 1

 1 + σφ j ωρ 0 α ∞

2   , (2)

1 + 4 j α 2 ∞ ηρ 0 ω σ 2 Λ 2 φ 2

ρ e = α ∞ ρ 0

φ

where j = √

− 1, ω is the angular frequency, P 0 , γ , B 2 and η are the ambient pressure, the ratio of specific heats, Prandtl number, and dynamic viscosity of air, respectively. Other parameters influencing the acoustic properties are the porosity φ , the tortuosity α ∞ , the flow resistivity σ , the characteristic viscous length Λ , and the characteristic thermal length Λ ′ . The depths of the units are

(a) (b)

U nit1Unit2 Unit8 Unit7 …

ℎ 1

ℎ 8

Rigid partition

𝑑

S Cc S BR Reflection coefficient S iS) S a S00 1 000 1 300 2000 3300 3000 Frequency(Hz)

Unit1 Unit8

(c) (d)

Phase/pi o o in T ° iv T “S00 7000 \ 1500 2000 Frequency(Hz) n 2500 3000

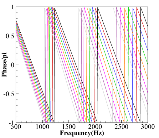
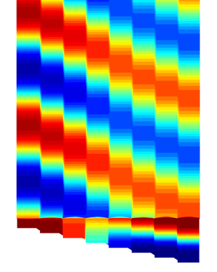
Figure 1: (a) The cross-sectional view of eight engineered inhomogeneous units in a supercell of the designed meta-liner, in which h i is the depth of the i -th unit. (b) Scattering pressure field strips of these eight units under a normally incident plane wave at 3000 Hz. (c) and (d) The reflection phases and the reflection coe ffi cients of these eight units.

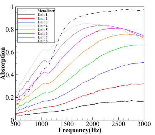
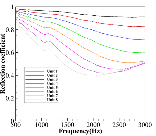
designed to possess the discrete phase shifts of 0, π/ 4, π/ 2, 3 π/ 4, π , 5 π/ 4, 3 π/ 2, and 7 π/ 4, making the proposed unit cell provide an entire 2 π phase shift. When the operating frequency is set as 3000 Hz, the depths of these eight unit cells are 10, 15, 20, 25, 30, 35, 40, and 45 mm. The length of one period is d = 80 mm and the width of the rigid partition between adjacent units is 1 mm. To evaluate the reflection behaviors of these units, the simulated scattering pressure fields of them under a normally impinging plane wave at 3000 Hz are presented in Fig. 1 (b). The numerical results are calculated by solving the Helmholtz equation using the finite element method, in which the porous material (a commercial polyurethane (PU) foam with a density of 15kg / m 3 in this study) is represented by an equivalent fluid with the experimentally measured characteristic acoustic properties. It can be clearly observed that a linear reflected phase varying covering an entire 2 π phase shift with an equal phase shift interval of π/ 4 is attained by these units. To assess the broadband characteristics of the phase-shifting feature, the reflection phases and the reflection coe ffi cients of these eight units at di ff erent frequencies are given in Figs. 1 (c) and (d). From Fig. 1 (d), the reflection coe ffi cients of these units are smaller than the unit due to the thermo-elastic damping and viscosity loss when sound waves propagate within the pores of the materials. It can be observed from Fig. 1 (c) that the phase-shifting still exists in a broadband frequency range. Although the entire 2 π phase shift cannot be maintained, more than π phase shift can be achieved by these eight units approximately in the range from 1500 to 3000 Hz, which is very beneficial for sound absorption through the surface wave conversion according to the di ff raction theory [ 17 ]. The simulated sound absorption coe ffi cients of the meta-liner are presented in Fig. 2 (a). For comparison, the sound absorption properties of eight individual porous elements are also evaluated through simulations, as shown in Fig. 2 (a). Compared with the eight individual elements, the proposed meta-liner possesses the advantages of sound absorption performance (absorption coe ffi cient > 0 . 9)

within a broad frequency range of 1500 to 3000 Hz. To illustrate the underlying mechanism of the enhanced absorption performance by the meta-liner, the simulated scattering pressure fields under a normal incident wave at 3000 Hz, 2000 Hz and 1000 Hz are presented in Figs. 2 (b), (c) and (d). It can be observed that there exist both specular reflection and surface wave along the surface of the meta- liner. From Fig. 1 , though the phase shift in one period only covers about 1 . 2 π phase shift at 2000 Hz, smaller than 2 π , the sound absorption performance can still be enhanced remarkably. It provides a possibility to loosen the restriction of covering the phase shift of in designing the phase responses of this kind of meta-liner. Typically, a π phase shift is needed for surface wave conversion [ 17 ]. From Figs. 2 (b) and (c), at 3000 Hz and 2000 Hz, the surface wave is much stronger than the specular reflection wave, i.e., most of the incident acoustic energy is trapped by the surface, leading to e ff ective sound attenuation. From Figs. 2 (d), the surface wave is much weaker than the specular reflection wave at 1000 Hz due to the small phase shift, less than 0 . 5 π . Hence, the strong sound absorption of the proposed meta-liner can be ascribed to two mechanisms: one is the internal dissipation of the porous materials, and the other is the conversion from the incident wave to a trapped surface wave. The meta-liner shows potential for sound absorption within a wide range of frequencies so that it can be a promising candidate for noise attenuation in a flow duct.

0.6 0.59 0.4F

(a) (b)

(c) (d)

0 baggy oe fina ial Maeda 0.2 x(m)

Figure 2: (a) Normal-incidence sound absorption coe ffi cients of the meta-liner and eight individual elements in a wide range of frequencies. (b), (c) and (d) The scattering pressure fields by the meta- liner under a normal incidence at 3000 Hz, 2000 Hz and 1000 Hz. The gray arrows indicate the propagation directions of the incident wave.

0.8 0.6 0.4 0.2 0.2 04 0.6 08 4

3. NOISE ATTENUATION PERFORMANCE IN A FLOW DUCT

In this section, the designed meta-liner is installed in a flow duct to assess its duct noise attenuation capability. As shown in Fig. 3 , a partially lined duct, with the cross-section dimensions of 50 × 50mm 2 ,

S Cc pion a Absor| S BR S00 7000 1500 2000 2300 3000 Frequency(Hz)

is considered. The duct is split into three sections, a first rigid section, a lined section and a second

Mean flow Sound source

50 mm

𝑦

Meta-liner

𝑧

Rigid section Rigid section 𝑥

500 mm

Figure 3: Schematic view of applying the designed meta-liner in a flow duct.

rigid section. The mean flow comes from left to right with a bulk Mach number (Ma). The designed meta-liner is installed in the middle of the lower wall with a length of 500 mm. An acoustic source can be set upstream or downstream of the liner section. To simulate acoustic wave propagation in the flow duct, numerical simulations are performed by solving the linearized Navier-Stokes equations. In the simulation, the perfect match layers (PML) are set at the upstream and downstream ends of the duct to minimize spurious acoustic reflections. The units of the meta-liner are modelled by their surface impedances, calculated by Z i = − iZ e cot( k e · h i ) , (3)

where Z e is characteristic impedance and k e is the characteristic wavenumber of the porous materials. The performance of the meta-liner in a flow tube can be quantitatively evaluated using transmission loss (TL), which is defined by the sound power at the upstream and downstream of the liner section

TL = 10 log W i

W o , (4)

where W i is the incoming sound power and W o is the outgoing sound power. The TL spectra of the meta-liner at di ff erent flow speeds up to Ma = 0 . 2 and flow directions ( + x and − x ) are presented in Fig. 4 . As expected, a continuous wide-band high TL ( > 20 dB) is achieved by the meta-liner under

(a) (b)

Le. \ \ an 1000 1500 2000 =2500 = 3000 Frequency(Hz)

Figure 4: TL spectra of the meta-liner at di ff erent flow speeds, Mach 0, Mach 0.1 and Mach 0.2. (a) Upstream sound source. (b) Downstream sound source.

di ff erent conditions, just corresponding to the high absorption frequency range presented in Fig. 2 (a). From Fig. 4 (a), for the left-side incident wave, the TL decrease with the increase of flow speed. By contrast, the varying trend is the opposite for the right-side incident wave from Fig. 4 (b). The di ff erence may result from the di ff erent refraction e ff ects of the phase-gradient meta-liner at di ff erent flow conditions for the upstream and downstream incident waves.

1 \ \ 1 1000 1500 2000 =2500 = 3000 Frequency(Hz)

eee =o

To illustrate the noise attenuation characteristics of the meta-liner clearly, the acoustic pressure fields at 1000, 1500, 2000, 2500 and 3000 Hz for Ma = 0, Ma = 0.1 and Ma = 0.2 are presented in Fig. 5 , Fig. 6 and Fig. 7 , respectively. At di ff erent flow speeds, it can be observed that the acoustic

cll, | POP

lela A

(a) (b)

Ma=0 Ma=0

SEeeer, Py

1000 Hz

1000 Hz

1500 Hz

1500 Hz

LLL LLL Aes

2000 Hz

2000 Hz

2500 Hz

2500 Hz

(b)

_&' ae

3000 Hz

3000 Hz

Figure 5: The acoustic pressure fields at 1000, 1500, 2000, 2500 and 3000 Hz for Ma = 0, in which the red arrow denotes the direction of the incident wave and the black arrow indicates the flow diction. (a) Upstream sound source. (b) Downstream sound source.

AS ae

Asean

, wi Qvaneeee

(a) (b)

Ma=0.1 Ma=0.1

1000 Hz

1000 Hz

1500 Hz

1500 Hz

2000 Hz

2000 Hz

2500 Hz

2500 Hz

3000 Hz

3000 Hz

_E ee

Figure 6: The acoustic pressure fields at 1000, 1500, 2000, 2500 and 3000 Hz for Ma = 0.1, in which the red arrow denotes the direction of the incident wave and the black arrow indicates the flow diction. (a) Upstream sound source. (b) Downstream sound source.

L@SEE

‘SSE ligaen

pressure at the other side of the sound source in the duct is quite weak for the frequencies larger than 1500 Hz, demonstrating the meta-liner exhibits a satisfying noise attenuation performance in a broadband frequency range for both upstream and downstream incident waves. However, for the upstream and downstream sound sources, the pressure patterns in the flow duct are not symmetric, indicating the complex reflections in the flow duct. Currently, experiments are being conducted to access the performance of the designed meta-liner using a grazing incidence flow tube [ 18 ]. The flow tube has a cross-section dimension of 50 × 50mm 2 , being consistent with the numerical simulation setup in this section. The working range of the flow tube is about 3400 Hz. An array of microphones is installed on the opposite wall of the meta-liner to measure the sound distribution along the tube. The non-uniform mean flow distribution due to the turbulent boundary layer with the tube will be tested. The measurement results will be compared with the numerical simulation.

MME EE

Liiiiiss#s

EESEREPS SY

(a) (b)

Ma=0.2 Ma=0.2

1000 Hz

1000 Hz

1500 Hz

1500 Hz

2000 Hz

2000 Hz

2500 Hz

2500 Hz

3000 Hz

3000 Hz

LURE

Figure 7: The acoustic pressure fields at 1000, 1500, 2000, 2500 and 3000 Hz for Ma = 0.2, in which the red arrow denotes the direction of the incident wave and the black arrow indicates the flow diction. (a) Upstream sound source. (b) Downstream sound source.

" \WHEREEGG

4. CONCLUSIONS

In this study, we design a meta-liner for broadband noise attenuation, composed of eight periodically arranged varying-depth units filled with porous materials. It is numerically demonstrated that the designed meta-liner can realize a surface wave conversion in a broadband frequency range [1500 , 3000] Hz, leading to an enhanced sound absorption performance. Then, the noise attenuation performance of the meta-liner in a flow duct is numerically assessed by lining it on one of the sidewalls of a grazing flow duct. The e ff ects of the flow speed and the direction of the incident wave are investigated. Numerical simulations show that the meta-liner can achieve a broadband transmission loss at various conditions. This study investigates the noise attenuation capability of a meta-liner under a grazing flow condition. Experiments based on a grazing incidence flow tube are being conducted, and the results will be compared against the numerical simulations.

~ LS VCRERESEG!

ACKNOWLEDGEMENTS

rn eee Eee eee

Part of this work is supported by Hong Kong Research Grants Council (No. 16202519). Jingwen Guo wishes to thank the support of Hong Kong Innovation and Technology Commission (No. ITS / 354 / 18FP). Renhao Qu and Renhao Qu are supported by the PhD studentships from the Hong Kong University of Science and Technology.

REFERENCES

[1] Zhiyu Yang, Jun Mei, Min Yang, NH Chan, and Ping Sheng. Membrane-type acoustic metamaterial with negative dynamic mass. Physical review letters , 101(20):204301, 2008. [2] Jingwen Guo, Xin Zhang, Yi Fang, and Ryu Fattah. Reflected wave manipulation by inhomogeneous impedance via varying-depth acoustic liners. Journal of Applied Physics , 123(17):174902, 2018. [3] Jingwen Guo, Xin Zhang, and Yi Fang. Topology optimization design and experimental validation of an acoustic metasurface for reflected wavefront modulation. Journal of Sound and Vibration , 520:116631, 2022. [4] Jong Jin Park, Choon Mahn Park, KJB Lee, and Sam H Lee. Acoustic superlens using membrane-based metamaterials. Applied Physics Letters , 106(5):051901, 2015.

ii ft i fF

(tii i se

Liisi) Aj

[5] J-P Groby, R Pommier, and Y Aurégan. Use of slow sound to design perfect and broadband passive sound absorbing materials. The Journal of the Acoustical Society of America , 139(4):1660–1671, 2016. [6] Noé Jiménez, Vicent Romero-García, Vincent Pagneux, and Jean-Philippe Groby. Quasiperfect absorption by subwavelength acoustic panels in transmission using accumulation of resonances due to slow sound. Physical Review B , 95(1):014205, 2017. [7] Lucian Zigoneanu, Bogdan-Ioan Popa, and Steven A Cummer. Three-dimensional broadband omnidirectional acoustic ground cloak. Nature materials , 13(4):352–355, 2014. [8] Jingwen Guo and Jie Zhou. An ultrathin acoustic carpet cloak based on resonators with extended necks. Journal of Physics D: Applied Physics , 2020. [9] Jun Mei, Guancong Ma, Min Yang, Zhiyu Yang, Weijia Wen, and Ping Sheng. Dark acoustic metamaterials as super absorbers for low-frequency sound. Nature communications , 3(1):1–7, 2012. [10] Jingwen Guo, Xin Zhang, Yi Fang, and Ziyan Jiang. A compact low-frequency sound-absorbing metasurface constructed by resonator with embedded spiral neck. Applied Physics Letters , 117(22):221902, 2020. [11] Chi Zhang and Xinhua Hu. Three-dimensional single-port labyrinthine acoustic metamaterial: Perfect absorption with large bandwidth and tunability. Physical Review Applied , 6(6):064025, 2016. [12] Min Yang, Shuyu Chen, Caixing Fu, and Ping Sheng. Optimal sound-absorbing structures. Materials Horizons , 4(4):673–680, 2017. [13] Nanfang Yu, Patrice Genevet, Mikhail A Kats, Francesco Aieta, Jean-Philippe Tetienne, Federico Capasso, and Zeno Gaburro. Light propagation with phase discontinuities: generalized laws of reflection and refraction. science , 334(6054):333–337, 2011. [14] Yi Fang, Xin Zhang, and Jie Zhou. Acoustic porous metasurface for excellent sound absorption based on wave manipulation. Journal of Sound and Vibration , 434:273–283, 2018. [15] Yi Fang, Xin Zhang, Jie Zhou, Jingwen Guo, and Xun Huang. Acoustic metaporous layer with composite structures for perfect and quasi-omnidirectional sound absorption. Composite Structures , 223:110948, 2019. [16] Yi Fang, Qian Liu, Jingwen Guo, Ziyan Jiang, Han Wu, Siyang Zhong, and Xin Zhang. Aeroacoustic characteristics of metasurfaces with stair-stepping honeycomb structures covered by perforated panels. In INTER-NOISE and NOISE-CON Congress and Conference Proceedings , volume 261, pages 2467–2475. Institute of Noise Control Engineering, 2020. [17] Stéphane Larouche and David R Smith. Reconciliation of generalized refraction with di ff raction theory. Optics letters , 37(12):2391–2393, 2012. [18] Wei Yi, Jingwen Guo, Yi Fang, Renhao Qu, Siyang Zhong, and Xin Zhang. A flow and acoustic facility for characterization of liner and meta-acoustic surfaces under grazing flow condition. In INTER-NOISE and NOISE-CON Congress and Conference Proceedings , volume 263, pages 3187–3193. Institute of Noise Control Engineering, 2021.