Welcome to the new IOA website! Please reset your password to access your account.

On homogenized ribbed-panel model for SEA analysis Abderrazak Mejdi 1 ESI North America 12555 High Bluff Drive, Suite 160 San Diego CA 92130

Luca Alimonti 2 ESI North America 12555 High Bluff Drive, Suite 160 San Diego CA 92130

Bryce Gardner 3 ESI North America 12555 High Bluff Drive, Suite 160 San Diego CA 92130

ABSTRACT This paper presents an investigation into a recent model of homogenized rib-stiffened panels. An equivalent panel model is developed from the skin and the stiffeners of the panel. In this case a space- harmonic-based approach is used and first-order shear deformation theory is employed to account for the wavefield’s in-plane/out-of-plane coupling effect in the skin. The panel’s stiffeners interact with the skin through internal forces and moments at the connections. A periodic FE mesh is then used to compute the wave dynamics and the results are used to develop the required terms to solve for vibro-acoustic results in Statistical Energy Analysis (SEA). This process is used to predict the vibro-acoustic response of an aircraft structure. The SEA results are compared with detailed FE models of the rib-stiffened aircraft structure.

1. INTRODUCTION

Rib-stiffened panels are extensively used in aerospace constructions. In the past decade several strategies have been developed to analyze their vibro-acoustic behavior. In general, conventional methods such as the Finite Element/Boundary Element Method (FEM-BEM) are used for vibro- acoustic analysis of these structures. Although accurate, these methods are computationally expen- sive, and their computational load increases to challenging levels with increasing frequency or size of the modelled system due to the large number of degrees of freedom required to model the structural deformation. There are two techniques that can be employed as an alternative to FEM-BEM tech-

1 Abderrazak.mejdi@esi-group.com 2 Luca.alimonti@esi-group.com 3 Bryce.gardner@esi-group.com

worm 2022

niques: the Rayleigh-Ritz modal-based approach [1,2] for finite panels and the space-harmonic ap- proach for periodic infinite panels [3-5]. The modal approach assumes the structure to be rectangular and simply supported. Its transverse displacement can then be described with a modal expansion series which may become inefficient as the size of the series increase with increased structure size or decreased thickness. An efficient model where the modal approach is employed but the key vibro- acoustics properties of the ribbed panel are predicted in a Statistical Energy Analysis (SEA) context is presented in reference [6]. It has been shown that the wavenumber domain is dividable into four zones. The corresponding equivalent mass and stiffness can be approximated at each wavenumber domain. This technique has been extended in the work presented in reference [2] to handle ribbed plates with composite materials. On the other hand, the space-harmonic approach assumes that the displacement field of the panel consists of space-harmonics series when the partition is periodic and infinite. These series are set to consist of enough terms to ensure the convergence. Unfortunately, that number depends upon the nature of the structure and is, in general, relatively high [3,4]. Therefore, the size of the systems of equations associated with these models is also high. Moreover, most of the published studies on rib-stiffened panels invoke the classical thin-panel theory to describe the dis- placement field of the skin. The former is based on the Kirchhoff-Love kinematic hypothesis which neglects the transverse shear strain. Moreover, the in-plane displacement of the panel and its interac- tion with the stiffeners is often ignored. This may be acceptable for symmetric, thin stiffened panels but when the panel is asymmetric and the stiffeners are eccentric about the panel’s middle-plane, it is not well known to what extent the coupling of its in-plane motion with its bending out-of-plane motion and with the in-plane displacements of the stiffeners is negligible. To overcome this limita- tion, first-order shear deformation theory has been used [5].

In this paper, a wave-based approach is employed to develop an equivalent homogeneous model for periodic rib-stiffened panels. Based on the work presented in [5], the shear deformation theory is used to describe the displacement field of the skin and its interaction with the stiffeners is represented by their reactions at the connections. The distinct behavior of the panel in terms of wavenumbers is described based on the periodicity characteristic of the structure [2,6]. The equivalent properties of the homogenized unit cell are determined using the wave dispersion of the structure. A general peri- odic-based finite element (FE) approach is employed for modeling wave propagation in SEA subsys- tems as presented in Ref. [8,10]. The equivalent properties of the homogenized structure are used to define an FE model of a periodic unit cell. The solution of the proposed strategy is successfully com- pared to detailed FE representations of an aircraft fuselage. It is found that the homogenized model provides a relevant representation of the behavior of rib-stiffened panels with either isotropic or lam- inate composite skin. 2. THEORY

In the following, a homogenized rib-stiffened panel model is described. This is used in a general periodic FE method for modeling wave propagation in ribbed panels. This approach is then applied for a generalized SEA wave-based approach framework as described in [8,10] 2.2. Rib-stiffened panel model

Consider a rib-stiffened panel with laminate composite skin. The plate is orthogonally reinforced with stiffeners along the 𝑥 - and 𝑦 -direction of the skin’s local coordinate system (see Figure 1). The panel is assumed to be infinite. The stiffeners are modeled as beams and are periodically distributed on the panel’s surface. The 𝑥 -wise and 𝑦 -wise spacing between the stiffeners are 𝑆 𝑥 and 𝑆 𝑦 , respec- tively. They are also assumed to be physically unconnected to each other, to be parallel and to be

worm 2022

connected to the panel along their full length. The dynamic equilibrium relations of the stiffened panel are found by integrating the stress continuity relation through the thickness of the skin. At their line junction, the panel and each stiffener interact through in-plane force 𝑁 𝑖 , 𝑇 𝑖 and out-of-plane force 𝑆 𝑖 {i=1,2} and flexural and torsional moments 𝑀 𝑓 , 𝑀 𝑡 {i=1,2}. The dynamic equilibrium equation can be written as [5]:

𝜕 2 𝑈

𝜕 2 𝜑 𝑥

(1)

𝜕𝑥 + 𝜕𝑁 𝑥𝑦

𝜕𝑁 𝑥

𝜕𝑦 −𝑚 𝑠

𝜕𝑡 2 −𝐼 𝑧2

𝜕𝑡 2

𝑎 −෍𝑁 1,𝑝 ሺ𝑦ሻ𝛿ሺ𝑥−𝑝𝑆 𝑥 ሻ

−෍𝑇 2,𝑞 ሺ𝑥ሻ𝛿ሺ𝑦−𝑞𝑆 𝑦 ሻ

= 𝑃 𝑒𝑥𝑐

𝑝

𝑞

𝜕 2 𝜑 𝑦

(2)

𝜕 2 𝑉

𝜕𝑁 𝑦

𝜕𝑦 + 𝜕𝑁 𝑥𝑦

𝜕𝑥 −𝑚 𝑠

𝜕𝑡 2 −𝐼 𝑧2

𝜕𝑡 2

𝑡 −෍𝑇 1,𝑝 ሺ𝑦ሻ𝛿ሺ𝑥−𝑝𝑆 𝑥 ሻ

−෍𝑁 2,𝑞 ሺ𝑥ሻ𝛿ሺ𝑦−𝑞𝑆 𝑦 ሻ

= 𝑃 𝑒𝑥𝑐

𝑝

𝑞

𝜕 2 𝑊

(3)

𝜕𝑄 𝑦

𝜕𝑦 + 𝜕𝑄 𝑦

𝜕𝑥 −𝑚 𝑠

𝜕𝑡 2

𝑓 −෍𝑆 1,𝑝 ሺ𝑦ሻ𝛿ሺ𝑥−𝑝𝑆 𝑥 ሻ

−෍𝑆 1,𝑞 ሺ𝑥ሻ𝛿ሺ𝑦−𝑞𝑆 𝑦 ሻ

= 𝑃 𝑒𝑥𝑐

𝑝

𝑞

𝜕 2 𝜑 𝑥

(4)

𝜕𝑥 + 𝜕𝑀 𝑥𝑦

𝜕𝑀 𝑥

𝜕𝑦 −𝑄 𝑥 −𝐼 𝑧

𝜕𝑡 2

𝑓 ሺ𝑦ሻ𝛿ሺ𝑥−𝑝𝑆 𝑥 ሻ−෍𝑀 2,𝑞

𝑡 ሺ𝑥ሻ𝛿ሺ𝑦−𝑝𝑆 𝑦 ሻ 𝑞 𝑝

= −෍𝑀 1,𝑝

𝜕 2 𝜑 𝑦

(5)

𝜕𝑀 𝑦

𝜕𝑦 + 𝜕𝑀 𝑥𝑦

𝜕𝑥 −𝑄 𝑦 −𝐼 𝑧

𝜕𝑡 2

𝑓 ሺ𝑥ሻ𝛿ሺ𝑦−𝑝𝑆 𝑦 ሻ 𝑞

𝑡 ሺ𝑦ሻ𝛿ሺ𝑥−𝑝𝑆 𝑥 ሻ 𝑝

= −෍𝑀 2,𝑞

−෍𝑀 1,𝑝

where subscript 1 refers to forces and moments applied by stiffeners along the 𝑦 -axis while subscript 2 refers to forces and moments applied by stiffeners along the 𝑥 -axis. 𝑁𝑥, 𝑁𝑦, 𝑁𝑥𝑦, 𝑀𝑥, 𝑀𝑦 and 𝑀𝑥𝑦 are the panel in-plane forces and bending moments, 𝑄𝑥 , 𝑄𝑦 , are the panel shearing forces and 𝑚𝑠, 𝐼𝑧 and 𝐼𝑧2 are the total mass-per-unit area and the rotational inertia terms. For any point on the skin panel, the constitutive matrix relating the forces to the displacement field is given by [11]:

ۏ ێ ێ ێ ێ ێ ێ ێ ۍ 𝜕𝑈𝜕𝑥 Τ 𝜕𝑉𝜕𝑦 Τ 𝜕𝑈𝜕𝑦 Τ + 𝜕𝑉𝜕𝑥 Τ 𝜕𝜑 𝑥 𝜕𝑥 Τ 𝜕𝜑 𝑦 𝜕𝑦 Τ 𝜕𝜑 𝑥 𝜕𝑥 Τ + 𝜕𝜑 𝑦 𝜕𝑦 Τ 𝜕𝑊𝜕𝑥 Τ + 𝜕𝜑 𝑥 𝜕𝑥 Τ 𝜕𝑊𝜕𝑦 Τ + 𝜕𝜑 𝑦 𝜕𝑦 Τے

ۏ ێ ێ ێ ێ ێ ێ ێ ۍ 𝑁 𝑥

(6)

ۏ ێ ێ ێ ێ ێ ێ ۍ 𝐴 11 𝐴 12 𝐴 16 𝐵 11 𝐵 12 𝐵 16 0 0 𝐴 12 𝐴 22 𝐴 26 𝐵 12 𝐵 22 𝐵 26 0 0 𝐴 16 𝐴 16 𝐴 66 𝐵 16 𝐵 26 𝐵 66 0 0 𝐵 11 𝐵 12 𝐵 16 𝐷 11 𝐷 12 𝐷 16 0 0 𝐵 12 𝐵 22 𝐵 26 𝐷 12 𝐷 22 𝐷 26 0 0 𝐵 16 𝐵 26 𝐵 66 𝐷 16 𝐷 26 𝐷 66 0 0 0 0 0 0 0 0 𝐹 44 𝐹 45 0 0 0 0 0 0 𝐹 45 𝐹 55 ے

ۑ ۑ ۑ ۑ ۑ ۑ ۑ ې

ۑ ۑ ۑ ۑ ۑ ۑ ۑ ې

ۑ ۑ ۑ ۑ ۑ ۑ ې

𝑁 𝑦 𝑁 𝑥𝑦 𝑀 𝑥 𝑀 𝑦 𝑀 𝑥𝑦 𝑄 𝑥 𝑄 𝑦 ے

=

where the constants 𝐴 𝑖𝑗 , 𝐵 𝑖𝑗 and 𝐷 𝑖𝑗 denote the extensional, bending-extensional and bending stiff- ness. These constants are functions of the mechanical and geometrical properties of the laminate lay-

worm 2022

ers. The shear stiffness 𝐹 𝑖𝑗 is computed by considering the shear-correction coefficients. The equa- tions of motion of the panel can be obtained by introducing Equation (6) into Equations (1)-(5) which can be solved by assuming space-harmonics series general solution:

ሼ𝑒ሽ= σ ൛𝑒 𝑝𝑞 ൟexp൫𝑗𝑘 𝑥,𝑝 𝑥+ 𝑗𝑘 𝑦,𝑞 𝑦൯ 𝑝𝑞 , (7) where ൛𝑒 𝑝𝑞 ൟ= ൛𝑢 𝑝𝑞 , 𝑣 𝑝𝑞 , 𝑤 𝑝𝑞 , 𝜑 𝑥𝑝𝑞 , 𝜑 𝑦𝑝𝑞 ൟ

𝑇 and where k x , p and k y , q are given by:

2𝑝𝑥

2𝑞𝑦

𝑆 𝑦 = 𝑘 𝑝𝑞 sin൫𝛾 𝑝𝑞 ൯ , (8) in which

𝑘 𝑥,𝑝 = 𝑘 𝑥 +

𝑆 𝑥 = 𝑘 𝑝𝑞 cos൫𝛾 𝑝𝑞 ൯; 𝑘 𝑦,𝑞 = 𝑘 𝑦 +

𝑘 𝑝𝑞 = ට𝑘 𝑥,𝑝 2 + 𝑘 𝑦,𝑞 2 ; 𝛾 𝑝𝑞 = atan ቆ 𝑘 𝑦,𝑞

ቇ (9) where p = {0,±1,±2,...,± p max } and q = {0,±1,±2,...,± q max } as the space-harmonic pair. Using the periodicity relation and Poisson’s sum formula, the stiffener forces and moments can also be expanded as a sum of space-harmonics [5]. The formulas are presented here only for T 1, p but can easily be transposed for other forces and moments using the periodicity relation and Poisson’s sum formula:

𝑘 𝑥,𝑝

(10)

= 1

෍𝑁 1,𝑝 ሺ𝑦ሻ𝛿ሺ𝑥−𝑝𝑆 𝑥 ሻ

෍𝑁 1,0𝑞 exp൫−𝑗𝑘 𝑦,𝑞 𝑦൯exp൫−𝑗𝑘 𝑥,𝑝 𝑥൯

𝑆 𝑥

𝑝

𝑝𝑞

Using the orthogonality property of the space-harmonic series, a set of decoupled equations is found for each space-harmonic pq :

𝑎 −𝑁 1,0𝑞 𝑆 𝑥 Τ −𝑇 2,𝑝0 𝑆 𝑦 Τ

(11)

ۖ ۖ ۓ 𝑃 0

ۖ ۓ 𝑢 𝑝𝑞

ۏ ێ ێ ێ ێ ۍ 𝐾 11,𝑝𝑞 𝐾 12,𝑝𝑞 𝐾 13,𝑝𝑞 𝐾 14,𝑝𝑞 𝐾 15,𝑝𝑞 𝐾 21,𝑝𝑞 𝐾 22,𝑝𝑞 𝐾 23,𝑝𝑞 𝐾 24,𝑝𝑞 𝐾 25,𝑝𝑞 𝐾 31,𝑝𝑞 𝐾 32,𝑝𝑞 𝐾 33,𝑝𝑞 𝐾 34,𝑝𝑞 𝐾 35,𝑝𝑞 𝐾 41,𝑝𝑞 𝐾 42,𝑝𝑞 𝐾 43,𝑝𝑞 𝐾 44,𝑝𝑞 𝐾 45,𝑝𝑞 𝐾 51,𝑝𝑞 𝐾 52,𝑝𝑞 𝐾 53,𝑝𝑞 𝐾 54,𝑝𝑞 𝐾 55,𝑝𝑞 ے

ۖ ۖ ۗ

ۑ ۑ ۑ ۑ ې

ۖ ۗ

𝑡 −𝑁 2,𝑝0 𝑆 𝑦 Τ −𝑇 1,0𝑞 𝑆 𝑥 Τ 2𝑃 0 −𝑆 1,0𝑞 𝑆 𝑥 Τ −𝑆 2,𝑝0 𝑆 𝑦 Τ

𝑃 0

𝑣 𝑝𝑞 𝑤 𝑝𝑞 𝜑 𝑥,𝑝𝑞 𝜑 𝑦,𝑝𝑞 ۙ

=

ە ۖ ۔

ۖ ۘ

ە ۖ ۖ ۔

𝑓 𝑆 𝑥 ൗ ۙ ۖ ۖ ۘ

𝑓 𝑆 𝑦 ൗ −𝑀 2,𝑝0

𝑡 𝑆 𝑥 Τ

−𝑀 1,0𝑞

𝑡 𝑆 𝑦 ൗ −𝑀 2,0𝑝

−𝑀 1,𝑝0

or simply:

[𝐊 𝑝𝑞 ]ൻ𝑒 𝑝𝑞 ൿ=ۦ𝐏 0 ۧ − 1

ൻ𝐐 1,0𝑞 ൿ− 1

ൻ𝐐 2,𝑝0 ൿ (12)

𝑆 𝑥

𝑆 𝑦

where 𝐏 0 is the external forces vector, 𝐐 1,0𝑞 = [𝑁 1,0𝑞 , 𝑇 1,0𝑞 , 𝑆 1,0𝑞 , 𝑀 1,0𝑞

𝑓 , 𝑀 1,0𝑞

𝑡 ] 𝑇 and 𝐐 2,𝑝0 =

𝑓 , 𝑀 2,𝑝0

𝑡 ] 𝑇 that represent the tractions which act at the stiffener / skin interface along y =0 and x =0.

[𝑁 2,𝑝0 , 𝑇 2,𝑝0 , 𝑆 2,𝑝0 , 𝑀 2,𝑝0

The dynamic equation governing the beam’s vibration may be written in the form [5]:

" + 𝜌𝐴 𝜔 2 𝑈 𝐵𝑖 = 𝐹 𝑥,𝐵𝑖 , (13)

−𝐸𝐴𝑈 𝐵𝑖

worm 2022

" −𝜓 𝑧,𝐵𝑖

" ൯+ 𝜌𝐴𝜔 2 ൫𝑉 𝐵𝑖 −𝑦 𝑝1 𝜓 𝑥,𝐵𝑖 ൯= 𝐹 𝑦,𝐵𝑖 , (14)

−𝐺𝐴൫𝑉 𝐵𝑖

" + 𝜓 𝑦,𝐵𝑖

" ൯+ 𝜌𝐴𝜔 2 ൫𝑊 𝐵𝑖 + 𝑧 𝑝𝑖 𝜓 𝑥,𝐵𝑖 ൯= 𝐹 𝑧,𝐵𝑖 , (15)

−𝐺𝐴൫𝑊 𝐵𝑖

′′ −𝜌𝐴𝜔 2 ൫𝑧 𝑝 𝑖 𝑊 𝐵𝑖 −𝑦 𝑝𝑖 𝑉 𝐵𝑖 ൯+ 𝜌𝐼 𝑠 𝜔 2 𝜓 𝑥,𝐵𝑖 = 𝑀 𝑥,𝐵𝑖 , (16)

−𝐸𝐼 𝜔,𝑥 𝛻 4 𝜓 𝑥,𝐵𝑖 −𝐺𝐽 𝑥 𝜓 𝑥,𝐵𝑖

′ + 𝜓 𝑦,𝐵𝑖 ൯+ 𝜌 1 𝐼 𝑦𝑖 𝜔 2 𝜓 𝑦,𝐵𝑖 = 𝑀 𝑦,𝐵𝑖 , (17)

" + 𝐺𝐴൫𝑊 𝐵𝑖

−𝐸𝐼 𝑦 𝜓 𝑦,𝐵𝑖

′ −𝜓 𝑧,𝐵𝑖 ൯+ 𝜌 1 𝐼 𝑧𝑖 𝜔 2 𝜓 𝑧,𝐵𝑖 = 𝑀 𝑧,𝐵𝑖 , (18)

" + 𝐺𝐴൫𝑉 𝐵𝑖

−𝐸𝐼 𝑧 𝜓 𝑧,𝐵𝑖

In Equations (13) to (18), ρ i is the beam density (for i = 1,2), U Bi , V Bi , and W Bi are the beam’s in- plane and transversal displacements in the x- , y- and z- directions, ψ x,Bi , ψ y,Bi and ψ z,Bi are the torsional displacements, I y , i and I z , i are the rotational inertia in the x- and y -directions, and y p and z p are the stiffener’s shear center distance from the section centroid in the y- and z -directions, respectively. Finally, ( EA ), ( GA ), ( EI ), ( GJ ) and ( EI ) are the equivalent traction, shear, bending, torsional and warping rigidities, respectively.

The displacement of the beams along x and y will be assumed to have a general solution of the form ۦ𝑒 𝐵1 ۧ = σ ൻ𝑒 𝐵1,𝑝 ൿexp൫−𝑗𝑘 𝑥,𝑝 𝑥൯ 𝑝 and ۦ𝑒 𝐵2 ۧ = σ ൻ𝑒 𝐵2,𝑞 ൿexp൫−𝑗𝑘 𝑦,𝑞 𝑦൯ 𝑞 . By introducing the general solution into Equations (13)-(18) and using the compatibility condition [10] between the forces ۦ𝐹 𝐵1 ۧ = [𝐹 𝑥,𝐵1 , 𝐹 𝑦,𝐵1 , 𝐹 𝑧,𝐵1 , 𝑀 𝑥,𝐵1 , 𝑀 𝑦,𝐵1 , 𝑀 𝑧,𝐵1 ] 𝑇 applied by the skin on the beam and the trac- tions ൻ𝐐 2,𝑝0 ൿ at the stiffener / skin connection as well as the compatibility between ۦ𝐹 𝐵2 ۧ and ൻ𝐐 1,0𝑞 ൿ , we retrieve the relation between the traction and the beam displacement at x =0 and y =0:

𝑇 ൣ𝐊 𝐵1,𝑝 ൧ൻ𝑒 𝐵1,𝑝0 ൿ ; ൻ𝐐 1,0𝑞 ൿ=ൣ𝐒 𝑞 ൧

𝑇 ൣ𝐊 𝐵2,𝑞 ൧ൻ𝑒 𝐵2,0𝑞 ൿ (19)

ൻ𝐐 2,𝑝0 ൿ=ൣ𝐒 𝑝 ൧

where subscript T stands for the matrix transpose. 𝑆 𝑝 and 𝑆 𝑞 are the transformation matrices given by [12]:

ۏ ێ ێ ێ ێ ۍ 1 0 0 0 0 0 1 0 0 0 0 0 1 0 0 𝑗𝑘 𝑥,𝑝 𝐼 𝜔,𝑥 𝑧 𝑐 𝑦 𝑐 1 0 𝑧 𝑐 0 0 0 1 𝑦 𝑐 0 0 0 0ے

ۏ ێ ێ ێ ێ ۍ 1 0 0 0 0 0 1 0 0 0 0 0 1 0 0 𝑗𝑘 𝑦,𝑞 𝐼 𝜔,𝑦 𝑧 𝑐 𝑥 𝑐 1 0 𝑧 𝑐 0 0 0 1 𝑥 𝑐 0 0 0 0ے

(20)

ۑ ۑ ۑ ۑ ې

ۑ ۑ ۑ ۑ ې

𝑆 𝑝 =

; 𝑆 𝑞 =

where 𝐼 𝜔,𝑥 is the beam warping and 𝑥 𝑐 , 𝑦 𝑐 , 𝑧 𝑐 are the stiffeners eccentricity about the mid-plane. The continuity condition at the beam/plate line junction interface along x =0 and y =0 can be written as:

𝑢 𝑝𝑞

𝑢 𝑝𝑞 𝑣 𝑝𝑞 𝑤 𝑝𝑞 𝜑 𝑥,𝑝𝑞 𝜑 𝑦,𝑝𝑞 ے

(21)

ۏ ێ ێ ێ ۍ

ۑ ۑ ۑ ې

ۏ ێ ێ ێ ۍ

ۑ ۑ ۑ ې

𝑣 𝑝𝑞 𝑤 𝑝𝑞 𝜑 𝑥,𝑝𝑞 𝜑 𝑦,𝑝𝑞 ے

𝑞 ; ൻ𝑒 𝐵2,0𝑞 ൿ= ൣ𝐒 𝑞 ൧σ

𝑝

ൻ𝑒 𝐵1,𝑝0 ൿ= ൣ𝐒 𝑝 ൧σ

Inserting Equation (19)-(21) into Equation (12), the dynamic equation can be written in terms of the skin’s displacement:

worm 2022

(22)

[𝐊 𝑝𝑞 ]ൻ𝑒 𝑝𝑞 ൿ=ۦ𝐏 0 ۧ − 1

− 1

𝑇 ൣ𝐊 𝐵1,𝑝 ൧ൣ𝐒 𝑝 ൧෍ൻ𝑒 𝑝𝑙 ൿ

𝑇 ൣ𝐊 𝐵2,𝑞 ൧ൣ𝐒 𝑞 ൧෍ൻ𝑒 𝑝𝑘 ൿ

ൣ𝐒 𝑝 ൧

ൣ𝐒 𝑞 ൧

𝑆 𝑦

𝑆 𝑥

𝑙

𝑘

Reorganizing, we can write:

ൣ𝐊2 𝑝 ൧ൻ𝑒 𝑝𝑞 ൿ= ൻ ̃ 𝐅ൿ (23)

ൣ𝐊 𝑝𝑞 ൧ൻ𝑒 𝑝𝑞 ൿ+ 1

ൣ𝐊1 𝑞 ൧ൻ𝑒 𝑝𝑞 ൿ+ 1

𝑆 𝑦

𝑆 𝑥

where 𝐊1 𝑞 = ൣ𝐒 𝑝 ൧

𝑇 ൣ𝐊 𝐵1,𝑝 ൧ൣ𝐒 𝑝 ൧ , 𝐊2 𝑞 = ൣ𝐒 𝑞 ൧

𝑇 ൣ𝐊 𝐵2,𝑞 ൧ൣ𝐒 𝑞 ൧ and the RHS ൻ̃𝐅ൿ represent the terms of loading. The free wave dispersion equation of the panel can be written in the following form:

[𝐀]ൻ𝑒 𝑝𝑞 ൿ= 0 (24)

Given the distinct behavior of the panel described in reference [2,6], four wavenumber domains can be distinguished: (1) 𝑘 𝑥

𝑠𝑘𝑖𝑛 < 𝜋/𝑆𝑦 and 𝑘 𝑦

𝑠𝑘𝑖𝑛 < 𝜋/𝑆𝑥 : ribs set B1 and B2 are both smeared into the properties:

[𝐀] = [𝐊 𝑝𝑞 ] + 1

ൣ𝐊1 𝑞 ൧+ 1

ൣ𝐊2 𝑝 ൧ (25)

𝑆 𝑦

𝑆 𝑥

(2) 𝑘 𝑥

𝑠𝑘𝑖𝑛 > 𝜋/𝑆𝑦 and 𝑘 𝑦

𝑠𝑘𝑖𝑛 < 𝜋/𝑆𝑥 : only rib set B1 is smeared into the properties:

[𝐀] = [𝐊 𝑝𝑞 ] + 1

ൣ𝐊1 𝑞 ൧ (26)

𝑆 𝑦

(3) 𝑘 𝑥

𝑠𝑘𝑖𝑛 < 𝜋/𝑆𝑦 and 𝑘 𝑦

𝑠𝑘𝑖𝑛 > 𝜋/𝑆𝑥 : only rib set B2 is smeared into the properties:

[𝐀] = [𝐊 𝑝𝑞 ] + 1

ൣ𝐊2 𝑝 ൧ (27)

𝑆 𝑥

(4) 𝑘 𝑥

𝑠𝑘𝑖𝑛 < 𝜋/𝑆𝑦 and 𝑘 𝑦

𝑠𝑘𝑖𝑛 < 𝜋/𝑆𝑥 : neither rib set participates in the properties of the section:

[𝐀] = [𝐊 𝑝𝑞 ] (28)

The dispersion Equations (25)-(28), can also be written as a function of the heading angle 𝛾 pq :

2 ൣ𝐀 3 ൫𝛾 pq ൯൧+ 𝑖𝑘 𝑝𝑞 ൣ𝐀 2 ൫𝛾 pq ൯൧+ ൣ𝐀 1 ൫𝛾 pq ൯൧+ 𝜔 2 ൣ𝐌 pq ൧ൟൻ𝑒 𝑝𝑞 ൿ= 0 (29)

൛𝑘 𝑝𝑞

where 𝐀 𝑖 {i=0,1,2} are matrices written in terms of a homogenized plate stiffness. The size of these matrices is related to the type of construction [3,4].

Solving Equation (29) for the wavenumber, allow to determine the equivalent mechanical proper- ties [13].

worm 2022

worm 2022

2.2. SEA analysis

The equivalent properties predicted using the homogenized model described previously are used as inputs to an FE model of the periodic unit cell. The latter is represented with a simplified two- dimensional FE model to build the frequency-dependent stiffness and mass matrices 𝐊ሺ𝜔ሻ and 𝐌ሺ𝜔ሻ of the unit cell FE model. These matrices are used to build the dynamic equilibrium under harmonic motion of the unit cell. To find the dispersion properties, the periodicity of the waveguide is assumed which leads, for a fixed frequency and heading angle, to a dispersion equation in the form of an eigenvalue:

[𝐃ሺ𝑘, 𝜃, ωሻ]𝐪 𝟎 = 0 (30)

For a given 𝜔 and 𝜃 , Equation (30) constitutes an eigenvalue problem that can be solved to find wavenumbers and wave-shapes representing waves that propagate within the structure. Curvature effects are also accounted for in the numerical model of the unit cell. Such a model of the periodic structure is then employed to compute SEA coefficients, as shown in Ref. [9]. Once the SEA coeffi- cients are computed, one can write the power balance equation for a wavefield 𝑗 as.

𝑒𝑥𝑡 , (31)

𝜋𝜔[ሺℳ 𝑗 + ℳ 𝑑 𝑗 + σ ℎ 𝑘,𝑗 ሻ𝐶 𝑗 𝑘≠𝑗 −σ ℎ 𝑗,𝑘 𝐶 𝑘 𝑘≠𝑗 ] = Π 𝑖𝑛 𝑗

where ℳ 𝑗 and ℳ 𝑑 𝑗 are the dissipation coefficients associated with structural damping and dissipa- tion in the junctions, ℎ 𝑗𝑘 are the coupling coefficients and 𝐶 𝑗 is the diffuse field amplitude [8]. 3. NUMERICAL RESULTS

The accuracy of the presented approach is analyzed through numerical validation involving a rep- resentative industrial aircraft sidewall structure. It consists of a panel reinforced with frames and stringers. Figure 1-a and 1-b show the whole panel and the FE unit cell. Results provided by the proposed SEA methodology are compared against a full FE solution. Different case studies including structural coupling between panels and effect of material properties are presented. Note that the effect of eccentricity of the stiffener will be neglected in the following analysis.

Stringer B1

Local coordinate

Stringer

𝑺 𝒚

Frame

system

x y z

𝑺 𝒙

Skin

Frame B2

(b)

(a)

worm 2022

Figure 1: FE model of the ribbed aircraft sidewall (a) and FE model of the unit cell with frame and

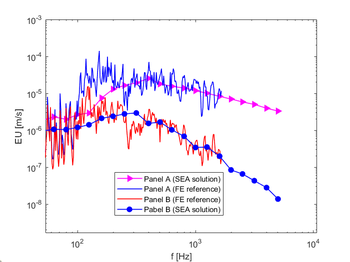
stringer (b). 3.2. Validation Cases 3.2.1 Case 1: ribbed panels with uniform isotropic skin In this first case study, two ribbed panels with uniform skin are connected through a line junction. The skin thicknesses of Plate A and Plate B (see Figure 2-a) are different. The panels’ frames and stringers are evenly spaced. Plate A is excited with a mechanical force and the structural responses are collected at different locations on the skins. The FE results are post-processed in two different ways: i) A set of uncorrelated point forces are applied on the region of the skin delimited by the stiffeners of Panel A (i.e., sub-panels) in the normal direction (Figure 2-a) and a set of virtual sensors to recover response are located on the sub-panels of Panel A and Panel B. Note that this same process was adopted in the reference paper [14]. ii) A set of uncorrelated point forces are distributed all over the skin including the stiffener regions of Panel A in the normal direction and a set of virtual sensors is randomly distributed over the whole skins of Panel A and Panel B. In both SEA and FE models, the change of thickness of the skin occurs at a stringer placed at the connection. Figure 2-b-c shows that the FE solution response is higher than the SEA solution if the force and sensors are distributed over all the sub-panels only.

Stringer at the thickness transition

Sub-panels region

Region of sub-panels

and stiffeners

Plate B

Plate A

Thickness plate B

(a) However, the SEA solution matches the FE solution well when the result is averaged over sensors distributed over the whole skin. This is expected as the homogenized ribbed panel model assumes that the stiffeners are smeared over the whole skin and the response is spatially inde- pendent. Thus, a fair comparison of the presented approach would be against an average of sensor data over the whole skin which will be considered in the following examples.

Thickness plate A

worm 2022

Power (Wiz) ill, Hy

(c) Figure 2: Comparison of predicted power input (b) and mean quadratic velocity (c) versus finite ele-

(b)

ment prediction for the configuration of Case 1(a). 3.2.2 Case 2: ribbed panels with composite skin

In this second validation example, the same geometrical properties of the panels used in the pre- vious example are considered. However, the skins of Panel A and Panel B are replaced with two composite skins. They are each made of 3 layers of thick orthotropic ply. The material orientations of the two skins in Panel A and Panel B are rotated by 90 degrees relative to each other. A set of uncorrelated point forces are distributed over the skin of Panel A. The FE solution is recovered by averaging the response over sensors distributed randomly over the whole skins of Panel A and Panel B. The predicted SEA results are compared to the full FE solution in Figure 3. As in the Figure 2 results, excellent agreement is obtained between the SEA solution and the FE reference.

| Pant Fe avange oer hak) Pal (FE araegeover be sober) Pane A(SEA soa) Pana (FE oreo cvr wets) Pat APE srrege over be ssa)

worm 2022

Figure 3: Comparison of predicted mean quadratic velocity versus finite element prediction for the

configuration of Case 2 3.2. Case 3: curved line junction

In this case study, two curved uniform ribbed Panel A and Panel B are considered which are con- nected at a frame (Figure 4-a).

Panel A

Panel B

Thickness skin A

Thickness skin B

(a) The properties of the two Panels A and B are similar to the first example of this paper. In both the SEA and FE models, the change of thickness of the skin occurs at a frame placed at the connection. The FE solution is recovered by averaging the response over sensor distributed randomly over the whole skins of panel A and B. The predicted SEA results are compared to full FE solution in Figure 3, Excellent agreement is again obtained between the presented SEA solution and the FE reference:

Figure 4: Comparison of predicted mean quadratic velocity (c) versus finite element prediction for

the configuration of Case 3

4. CONCLUSIONS

A wave-based approach is employed to develop an equivalent homogeneous model for a periodic rib-stiffened panel. Shear deformation theory is used to describe the displacement field of the skin whereas its interaction with the stiffeners is represented by their reactions at the connections. Based on the distinct behavior of periodically stiffened panels, a set of conditions are rigorously defined to fully describe the dynamic behavior of these structures over a broad frequency range. The homoge- nized model is employed in an SEA framework to compute the vibro-acoustic response of a periodic ribbed panel typically used in aircraft sidewall construction. The validity of the current approach was investigated in comparison to a FE reference model. The presented strategy was validated for differ- ent cases including a structural straight- and curved-line junction. Both uniform isotropic and lami- nate composite constructions were also considered. Responses to mechanical loads were evaluated. The proposed SEA model showed excellent agreement with reference FE solutions. The presented solution has the advantage of using a simplified FE model instead of a complex FE model to represent a ribbed panel in the SEA framework presented in reference [10].

This offers the overall advantage of reducing the number of nodes and DOFs compared to large and detailed FE models of ribbed panel unit cells which makes the presented strategy computationally efficient. Moreover, the validity of the current approach to handle complex stiffened panels with laminate composite skin was also proven. 5. ACKNOWLEDGEMENTS

We gratefully acknowledge Airbus for their support. 6. REFERENCES 1. B. Liu, L. Feng, A. Nilsson, Sound transmission through curved aircraft panels with stringer and

ring frame attachments, Journal of Sound and Vibration . 300 (3-5), 949-973, (2008). 2. A. Mejdi, N. Atalla. Vibro-acoustic analysis of laminated composite panels stiffened by complex

laminated composite stiffeners . International Journal of Mechanical Sciences , vol. 58, 2012. 3. J. Legault, N. Atalla. Numerical and experimental investigation of the effect of structural links on

the sound transmission of a lightweight double panel structure. Journal of Sound and Vibration , vol. 324, 2009, pp. 712-732. 4. J. Legault, A. Mejdi, N. Atalla. Vibro-acoustic response of orthogonally stiffened panels under

deterministic and random loadings: the effects of finite dimensions. Journal of Sound and Vibra- tion , vol. 330 (24), 2011. 5. A. Mejdi, J. Legault, N. Atalla. Transmission loss of ribbed laminate composite panels: shear

deformation and in-plane interaction effects. Journal of Acoustical Society of America, vol. 131, 2012. 6. P.G. Bremner. Vibro-acoustics of ribbed structures – a compact modal formulation for SEA mod-

els. Proceedings NOISE-CON94, Ft. Lauderdale, Florida (1994). 7. R. D. Mindlin, Influence of rotatory inertia and shear on flexural motions of isotropic, elastic

panels, Journal of Applied Mechanics . 18, 31–38 (1951). 8. L. Alimonti, N. Atalla, J. Cordioli. The diffuse field reciprocity relationship as a framework for a

general power flow model. Proceedings NOISE-CON 2019, San Diego, USA. 9. L. Alimonti, A. Mejdi, A. Parrinello. SEA model for structural acoustic coupling by means of

periodic finite element models of the structural subsystems. Proceedings INTERNOISE 2021, Washington, D.C., USA, pages 4919-5918, pp. 5301-5309(9).

worm 2022

10. A. Mejdi, L. Alimonti, B. Gardner. Vibro-acoustic modelling of aircraft structures using Finite

Element- informed Statistical Energy Analysis. Proceedings INTERNOISE 2021, Washington, D.C., USA, p 2949-3943, pp. 3479-3487(9). 11. S. Ghinet, N. Atalla, H. Osman, The transmission loss of curved laminates and sandwich compo-

site panels, Journal of Acoustical Society of America . 118 (2), 774-490 , (2005). 12. R. S. Langley , K. H. Heron, Elastic wave transmission through panel/beam junctions; Journal

of Sound and Vibration 143 (2), 241-253, (1990). 13. I. Bosmans, P. Mees, J. Vermeir, Structure-borne sound transmission between thin orthotropic

plates: analytical solution, Journal of Sound and Vibration (1996) 191(1), 75–90 14. A. Mejdi, L. Alimonti, B. Gardner Validation studies of a homogenized ribbed-panel model in an

SEA context, Proceedings NOISE-CON 2022, Lexington, KY.

worm 2022