Welcome to the new IOA website! Please reset your password to access your account.

Low frequency sound insulation of double membrane-type acoustic metamaterials with negative pressure cavity Tuo Xing 1 , Xianhui Li, Junjuan Zhao, Xiaoling Gai, Fang Wang, Xiwen Guan Beijing Key Lab of Environmental Noise and Vibration, Institute of urban safety and environmental science, Beijing academy of science and technology, No. 55, Taoranting Road, Xicheng, Beijing, 100054, China

ABSTRACT The double membrane-type acoustic metamaterial with negative pressure cavity (double MAM-NPC) is designed to achieve low frequency sound insulation. The double MAM and the sidewalls enclose the cavity. The theory of transfer matrix is used to discuss the transmission loss (TL) of double MAM-NPC. Under the action of negative pressure in the back cavity, the MAM undergoes geometric nonlinear deformation. Furthermore, the structure of inserting mi- croperforated panel into the cavity of MAM-NPC (double MAM-NPC-MPP) is designed to im- prove the low frequency sound insulation.

1. INTRODUCTION

In recent years, acoustic metamaterials have attracted significant attention from researchers in physics and acoustical engineering owing to their unusual properties. Membrane-type acoustic met- amaterial (MAM) has been widely studied because of its simple, lightweight structures; economy; easy preparation; and good sound insulation effects in the low-frequency range. Yang et al.[1] pro- posed the MAM concept and noted that a MAM is composed of an elastic membrane, additional masses, and a supporting structure to fix the elastic membrane. It was found that in the 200–300 Hz frequency band, almost all of the energy of the sound waves acting on such acoustic metamaterials is reflected, and simultaneously, the effective mass of the whole structure is negative. In a separate study, Yang et al. [2] demonstrated that by using multiple masses per unit cell and stacking multiple panels with different effective frequency ranges, broadband attenuation greater than 40 dB can be achieved. Naify et al. [3–4], thin membrane acoustic metamaterials were prepared, and their acoustic responses were analyzed. In recent years, active design has been introduced into MAM structures. Chen et al. [5] designed a non-contact MAM with tunable acoustic properties using a magnetorheo- logical elastic membrane. Xiao et al. [6] proposed a method to achieve MAM tenability by changing the applied external voltage. Langfeldt et al. [7] designed a MAM with tunable acoustic transmission characteristics by increasing the air pressure in the cavity. Two MAMs are installed on the front and back of the frame to form a closed cavity. Then pressurize the closed cavity, causing the MAMs to deform nonlinearly to achieve the adjustment effect. Zhao et al. [8] proposed a compact MAM with a magnet that can be continuously tuned over a wide frequency range. We use the way of negative pressure cavity to carry out sound absorption design [9].

The double membrane-type acoustic metamaterial with negative pressure cavity (double MAM- NPC) is designed to achieve low frequency sound insulation and tunable frequency. The double

1 xingtuo1991@163.com

worm 2022

MAM and the sidewalls enclose the cavity. Regular soft membrane (rubber, latex) in the literature was replaced with more durable PET membrane. Under the action of negative pressure in the back cavity, the MAM undergoes geometric nonlinear deformation. Furthermore, the structure of inserting microperforated panel into the cavity of MAM-NPC (MAM-NPC-MPP) is designed to improve the low frequency sound insulation. Compared with conventional MAM, the minimum sound insulation of MAM-NPC-MPP is significantly improved. The theory of transfer matrix is used to discuss the transmission loss (TL) of MAM-NPC. 2. THEORY

The design structure is shown in Fig. 1, including double MAM, double MAM-NPC and double MAM-NPC-MPP. The acoustic response of MAM is mutually determined by the mass-weighted membrane and the back cavity. When the plane wave is normal incident, the surface average Green’s function is usually used to describe the behavior of the mass-weighted membrane [10-12].

  

2

S W r G

  

2 2 2 , i m

W dS i     

(1)

i m i i i i

S m  i  i  where , , and are area, surface density of the mass-weighted membrane, natural frequency

and dissipation coefficient. The acquisition of the surface Green’s function of MAM under negative

pressure is extremely complicated. Therefore, the finite element analysis is selected to obtain the

eigenmodes of MAM under negative pressure. The impedance of the MAM is expressed as a modal

superposition form,

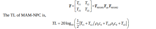
  (2) The transfer matrix of MAM is,

1 MAM . m Z i G 

1 0 1 Z       T (3)

MAM MAM

The transfer matrix of the cavity is,

        air

kl i c kl i kl c kl         T (4)

cos sin sin cos

a a

a a

k a l  c where is the wavenumber, is the cavity thickness, is the density and is sound speed of the cavity.

The transfer matrix of double MAM-NPC is,

The MPP is inserted into the cavity of the MAM-NPC to improve the low frequency sound insu- lation of the MAM-NPC-MPP structure. The acoustic impedance of MPP is,

  0 0 MPP 1 1 c Z R j M      (7)

worm 2022

  

2 2 1 32 8 r

x x d k t    (8)

32

r t R k c d

1 2 0 0

worm 2022

 d t x where , , and are perforation rate, hole diameter, panel thickness and MPP constant. The transfer matrix of MPP is,

1 0 1 Z       T (10)

MPP MAM

The transfer matrix of MAM-NPC-MPP is

MAM1 air MPP air MAM2 21 22 = = T T T T       T T T T T T (11)

11 12

The structure parameters are as follows, the size of the PET membrane is 50mm*50mm. The ten- sion of the membrane is 22N/m. The Young’s modulus, Poisson’s ratio, density and thickness of the

membrane

9 1.2 10  membrane are Pa, 0.45, 1329kg/m 3 and 0.14mm, respectively. The boundaries of the mem- brane are fixed constraints. The difference between the double membrane with the same parameters and the double membrane with different parameters is mainly the side length of the mass. The masses of the double membrane with the same parameters are all square with a side length of 4mm. The masses of the double membrane with the different parameters are square with side lengths of 4mm and 8mm, respectively. The Young’s modulus, Poisson’s ratio, density and thickness of the mass are

11 2 10  Pa, 0.29, 7870kg/m 3 and 1mm, respectively. The thickness of the back cavity is 50mm. Set

0 100Pa p 

negative pressure . MPP is inserted in the middle of the cavity. The hold dimeter, per- foration rate and panel thickness of MPP are 0.8mm, 0.1% and 2mm.

(a) (b) (c) Fig. 1 Schematic diagram of the structure: (a) double MAM, (b) double MAM-NPC, (c) double

MAM-NPC-MPP. 3. RESULT

The TL of double MAM with the same parameters, double MAM with different parameters and double MAM-NPC are shown in Fig. 2. The TL of the same parameter of double MAM has only one obvious peak at low frequency. Double MAM with different parameter has two peaks of TL at low frequency. The double MAM-NPC structure can adjust the frequency corresponding to the peak of TL. The TL of double MAM, double MAM-MPP and double MAM-NPC-MPP are shown in Fig. 3. After inserting MPP into the cavity, the TL of the overall structure is significantly improved. The negative pressure effect is transmitted through the holes of the MPP. The double MPP-NPC-MPP still has the ability to adjust the frequency corresponding to the peak transmission loss.

“MPP

Fig. 2 TL of double MAM with the same parameters, double MAM with different parameters and

double MAM-NPC.

Fig. 3 TL of double MAM, double MAM-NPC and double MAM-NPC-MPP. 4. CONCLUSIONS

The membrane-type acoustic metamaterial with negative pressure cavity (MAM-NPC) is de- signed to achieve low frequency sound insulation and tunable frequency. The method of transfer matrix is used to calculate the TL of MAM-NPC. Under the action of negative pressure, the corre- sponding frequency of the sound insulation peak of the TL moves to the high frequency. After inter- polating MPP in the cavity, the TL of the overall structure is significantly improved.

worm 2022

5. ACKNOWLEDGEMENTS

This work was supported by the 11000022T000000492097, BJAST Budding Talent Program BGS202109, BJAST-RD-BMILP202109-15, Beike Scholar Project No. BS201901, Beike Young Scholar Project No, YS202101 and YS202003. 6. REFERENCES

1. Yang Z. Y., Mei J., Yang M., Chan N. H., Sheng P. Membrane-type acoustic metamaterial with negative

dynamic mass. Phys. Rev. Lett. , 101 , 20, (2008). 2. Yang Z., Dai H. M., Chan N. H., Ma G. C., Sheng P. Acoustic metamaterial panels for sound attenuation

in the 50-1000Hz regime. Appl. Phys. Lett. , 96 (4): 041906, (2010). 3. Naify C. J., Chang C. M., McKnight G., Nutt S. Transmission loss and dynamic response of membrane-

type locally resonant acoustic metamaterials. J. Appl. Phys. , 108 (11): 114905, (2010). 4. Naify C. J., Chang C. M., McKnihght G., Scheulen F., Nutt S. Membrane-type metamaterials: Transmis-

sion loss of multi-celled arrays. J. Appl. Phys. , 109 (10): 104902, (2011) 5. Chen Y., Huang G., Zhou X., Hu G., Sun C. T. Analytical coupled vibroacoustic modeling of membrane-

type acoustic metamaterials: Membrane model. J. Acoust. Soc. Am. , 136 (3): 969-979, (2014). 6. Xiao S., Ma G., Li Y., Yang Z., Sheng P. Active control of membrane-type acoustic metamaterial by

electric field. Appl. Phys. Lett. , 106 (9): 091904, (2015). 7. Langfeldt F., Riecken J., Gleine W., Von Estorff O. A membrane-type acoustic metamaterial with adjust-

able acoustic properties. J. Sound Vib. , 373 :1-18, (2016). 8. Zhao J., Li X., Wang W., Wang Y., Zhu L., Liu Y. Membrane-type acoustic metamaterials with tunable

frequency by a compact magnet. J. Acoust. Soc. Am. , 145 (5): EL400-4, (2019). 9. Xing T., Gai X. L., Zhao J. J., Li X. H., Cai Z. N., Guan X. W., Wang F. Low frequency sound absorption

of adjustable membrane-type acoustic metamaterials. Appl. Acoust. 188 , 108586, (2022). 10. J. Willis, Continuum Micromechanics, edited by P. Suquet, CISM Courses and Lectures Vol. 377 , Springer

Wien, New York, 1997. 11. M. Yang, G. C. Ma, Z. Y. Yang, and P. Sheng, “Coupled membranes with doubly negative mass density

and bulk modulus,” Phys. Rev. Lett. 110 , 134301 (2013). 12. X. Chen, P. Liu, Z. W. Hou, and Y. M. Pei, “Implementation of acoustic demultiplexing with membrane-

type matasurface in low frequency range,” Appl. Phys. Lett. 110 , 161909 (2017).

worm 2022