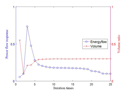
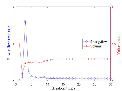
A A A Dynamic Layout Optimization of Stiffeners in Plate Structures Based on Power Flow Response Xiaoyan Teng 1 Harbin Engineering University Laboratory 2035, Building 61, Harbin Engineering University, Heilongjiang Province, China Huan Yu 2 Harbin Engineering University Laboratory 2035, Building 61, Harbin Engineering University, Heilongjiang Province, China Xudong Jiang 3 Harbin University of Science and Technology, Heilongjiang Province, China ABSTRACT By minimizing power flow response, a method of moving asymptotes was adopted to optimize the power flow model by adding and deleting corresponding elements and changing the material setting position in the configuration. To improve the dynamic performance of the whole structure under the premise of slightly increasing the mass of the whole structure, the Rayleigh damping model under the combined action of the environment and the characteristics of the material is established, and the SIMP (Solid Isotropic Material With Penalization) model of the coupling structure is used to calculate the power flow response of the plate-reinforced coupling structure, so that the vibration response of the structure is more accurate.By solving the sensitivity of power flow response, it is concluded that the essence of stiffened layout optimization is to optimize the position of coupling beam on the substrate. Through numerical example analysis, the optimal configuration and power flow response results under different boundary conditions, different shapes and different loading frequencies are compared, which is of great significance for the optimization design of stiffened plate structure layout. 1. POWER FLOW MODEL OF STRUCTURE 1.1. Structure Energy Flow Transfer Analysis The transmission of vibration in the structure is actually the transmission of energy in the physical definition, and the transmission of vibration is generally defined by power flow. Power flow is defined as the energy flowing over an area perpendicular to the vibration direction for a certain period of time. The excitation of the vibration system can be expressed as f t = F cos ωt , F is the amplitude of the loading force, and ω is the loading frequency. For the excitation structure, the corresponding velocity response is v t = V cos ωt + θ , V is the velocity amplitude, θ is the 1 tengxiaoyan@hrbeu.edu.cn 2 1048858@qq.com 3 xudongjiang@sina.com 21-24 AUGUST SCOTTISH EVENT CAMPUS ? O? ? GLASGOW phase difference between the excitation and the velocity response. The excitation and velocity responses are expressed as follows : � ෨ �= � ෩ � ��� , (1) ��= � ෩ � ��� , (2) where ·ǁ is the complex variable, and i is the imaginary unit. Considering the actual part, there is : ��= ��� ෨ � = 1 2 �෨�+ �෨� ∗ , (3) ��= ���� = 1 2 ��+ �� ∗ , (4) Here, ��· represents the selection of the real part for, and () ∗ represents the conjugate transpose under complex calculation. Accordingly, the structural power flow at t time is calculated as follows : ��= ��� �= ��� ෨ ����� = 1 4 �෨� + �෨� ∗ ��+ �� ∗ , (5) One loading period, namely, the average power flow in interval 2�/� , is expressed as follows : �= � ��� ෨ � ���� න ��= 1 2�/� 2 �෩∗�෩cos � , (6) 2� 0 The formula for calculating instantaneous complex power flow in mathematical definition is as follows : �� = � ෨ ���= � ෩ � ෩ � 2��� , (7) �= � The complex power flow in a loading cycle is calculated as follows : 2�/� � ෨ ��� න ��= 0 , (8) 2� 0 According to the comparison of formula (6) and formula (8), it can be found that the average value of complex power flow in a cycle is 0, so the power flow analysis of the structure is mainly based on physical power flow. In the above analysis and discussion on topology optimization theory, it can be found that its essence is to improve the specific performance of a certain aspect of the structure by changing the configuration of the material distribution, expand the structural design space, and also have a strict mathematical and physical basis, and the realization of the moving asymptote method ensures the existence of the solution. 1.2. Rayleigh Damping Model In general, the system will lose the transmitted energy when it generates vibration, which is described by damping in dynamics. In fact, when the structure vibrates, there are many factors affecting the damping, so the mechanism of energy dissipation is very complex. But generally, the damping factors are : First, the material itself has viscous characteristics, so that the stress is not only related to the strain but also related to the strain rate, which can be called material damping ; the second is the energy loss caused by external factors such as base and air resistance in structural vibration, which can be called environmental damping. In fact, the energy consumption in vibration is mostly caused by the damping of the material itself and the external environment. 21-24 AUGUST SCOTTISH EVENT CAMPUS ? O? ? GLASGOW �= ��+ ��ሶ , (9) The material damping constitutive model in this paper is Kelvin model, which is expressed as : Here, � is the stress vector, � is the strain vector, �ሶ is the stress change rate vector, D is the elastic coefficient matrix, and � is the viscosity coefficient matrix. Then replace the formula (9) with the left side of the virtual work equation (10) : �� � ∙�ҧ න �� , (10) �� � � න ��= �� � � න ��+ � � � � The structural displacement u is expressed by the interpolation function as : �= �∙� , which is substituted into : �� � � න ��= �� � �∙�+ � � ∙� , (11) � � � �� න �� , (12) �= � � � = � � � �� �� , (13) � represents the given volume force vector, �ҧ represents the given surface force vector, � represents the node displacement vector, � ሶ represents the node velocity vector, � represents the interpolation shape function, � represents the strain matrix, � represents the analysis design space, � � represents the boundary condition of the force, � represents the structural stiffness matrix, � � represents the material damping matrix. If the relationship between the structural viscosity coefficient matrix � and the elastic coefficient matrix is �= �� , there are : � � = �� , (14) The damping effect caused by external conditions is generally related to the velocity of vibration of the structural system, and has a very complex mechanism. In order to facilitate the analysis and simplify the calculation, it is assumed that the environmental damping can be replaced by the volume force � � , and � � is related to the velocity response of the structure. The expression is as follows : � � =−��∙� , (15) Replacing the formula (15) with the first item on the right side of the formula (10), the equivalent nodal force under the condition of environmental damping generating utility can be calculated as follows : � � =−� � � ሶ , (16) � � = � � ��� න �� , (17) � Here, � � is the environmental damping matrix. If the coefficient �� in Formulas (15) is a constant and is proportional to the material density � , that is, ��= �� , there is : � � = ��, (18) 21-24 AUGUST SCOTTISH EVENT CAMPUS ? O? ? GLASGOW �= � � �� න �� , (19) � M is the mass matrix of the structure. By superposition of formula (14) and formula (18), the Rayleigh damping of material damping and environmental damping can be obtained as follows : �= ��+ �� , (20) � is the Rayleigh damping matrix, � and � are the corresponding Rayleigh damping coefficients. It can also be seen from the above derivation that Rayleigh damping consists of two parts, in which the structural stiffness correlation term is �� , which represents the loss of the material ' s own properties to the dynamic response of the structure under dynamic load, and �� is related to the structural strain and the change rate of strain. The mass-related part represents the blocking effect of external conditions on the vibration response of the structure after loading. Rayleigh damping comprehensively considers the influence of the material itself and the external environment on the structural vibration response, and only two material parameters are needed for calculation. 1.3. Rayleigh Damping Model The plate-reinforced coupling structure has a wide range of applications because of its small structural mass and excellent mechanical properties. Studying the influence of stiffener layout on power flow response can improve its dynamic performance without significantly increasing the overall structural mass. As shown in Figure 1, the excitation load of the center of a stiffened structure with four clamped edges is � 0 ෪� ��� . According to its dynamic equation, it can be obtained : �� �= � 0 ෪� ��� , (21) �� � ሷ + � ������ �� � ሶ + � ������ � ������ 3mm_ | Reinforeing rib Tq_3mm SESE AEs BABA BABA DXABABZG <2LLLALLEAGZ 0.2m Here, � 0 ෪ represents the complex amplitude vector of the loading force ; � represents the loading frequency ; � ������ �� represents the mass matrix of the coupled structure ; � ������ �� represents the stiffness matrix of the coupled structure ; � ������ �� represents the Rayleigh damping matrix of the coupled structure ; � , � ሶ and � ሷ represent the displacement, velocity and acceleration responses of the coupled structure, respectively. Figure 1: Reinforcement Structure of Four Side Fixed Support Plate Structure. 21-24 AUGUST SCOTTISH EVENT CAMPUS ? O? ? GLASGOW Let the solution of the dynamic equation (21) be � ሶ = � ෩ � ��� , and after substitution, we can obtain : �� � ෩ � ��� + 1 �� � ෩ � ��� + � ������ �� � ෩ � ��� = � 0 ෪� ��� , (22) ��� ������ �� � ������ Here � ෩ represents the complex amplitude of response speed, and after the same term is removed, we can obtain : �� ෩ = � 0 ෪ , (23) �� + 1 �= ��� ������ �� + � ������ �� � ������ �� , (24) According to the analysis in Section 1.1, the time-averaged power flow of the load on the coupled structure can be obtained as follows : �= 1 2 ��� 0 ෪ � �෩ , (25) Here ��∙ refers to the selection of real part calculation, ∙ � refers to the conjugate transposition calculation. The purpose of optimizing the power flow model is to change the material setting position in the configuration by adding and deleting the corresponding units, so that the overall design goal can be achieved and the power flow response can be minimized. The design problem adopts the coupled structure SIMP model, and the power flow optimization problem is as follows : ��������: ∏= 1 2 ��� 0 ෪ � �෩ ���������: �= �� ෩ −� 0 ෪= 0 (26) � ��� � � � � −�� 0 ≤0 , 0 ≤� � ≤1 �= 1,2, . . . , � ��� , �=1 Here, ∏ is the objective function, namely the power flow response of the structure, � ��� represents the total number of units after the structure is divided into cells, � � represents the design variables of the unit, � represents the volume ratio of the allowable space to the overall space, � 0 represents the total volume of the design space, and � � represents the volume of the cell. 1.4. Sensitivity Solution of Power Flow Response For the topology optimization of power flow, the unit needs to be deleted according to the sensitivity of the objective function. According to the derivation of the objective function in Formulas (26) to the design variable � � , we can obtain : 2 �� �� 0 ෪ � � ෩ + � 0 ෪ � ��෩ �∏ �� � = 1 �� � �� � , (27) Here, �� 0 ෪ � /�� � is the sensitivity of the loading vector with respect to the design variable. For a given loading excitation force, its sensitivity does not change with the change of the structure, namely, �� 0 ෪ � /�� � = 0 . So the formula (27) is converted to : 21-24 AUGUST SCOTTISH EVENT CAMPUS ? O? ? GLASGOW 2 ��� 0 ෪ � ��෩ �∏ �� � = 1 �� � , (28) Here, a coefficient −Lagrange multiplier � is added, and the constraint equation R in Formulas (26) is added to ∏ and modified to obtain : ∏= 1 2 ��� 0 ෪ � �෩+ �� , (29) Because R = 0, the objective function with constraint conditions is equal to the original objective function, so the modified objective function is derived with respect to design variables : 2 ��� 0 ෪ � ��෩ �∏ � � � = 1 + � �� � � � �� � , (30) = ���෩−� 0 ෪ � ෩ + � ��෩ �� �� � = �� The derivative of constraint condition R to design variables is : �� � �� � � � � , (31) 2 � 0 ෪+ �� ��෩ �∏ �� � = 1 + � �� Substituting the above equation back to Formulas (30), we can obtain : � ෩ , (32) �� � �� � Here, since the constraint condition R is 0, � can carry out any value. In order to remove the unknown term �� ෩ /�� � in the above equation, the coefficient term � 0 ෪+ ��= 0 is selected, and the calculation formula of � is as follows : �=−� 0 ෪/� , and the sensitivity of Z in Formula (32) can directly calculate its derivative with respect to Formula (24). Substituting the final sensitivity of Z and � back to Formula (32), the sensitivity of the objective function can be obtained. In the optimization process, the substrate structure is set to be full of design space, so the essence of reinforcement layout optimization is to optimize the position of coupling reinforcement ( i. e., coupling beam ) on the substrate. Therefore, the unit sensitivity of power flow response ∏ with respect to � � is finally as follows : 2 ��− � � ෩ �∏ � = 1 ∙ �� � � � ෪ , (32) �� � � � �� � According to the sensitivity of the unit to determine the specific circumstances of the unit to participate in the response so as to add and delete the unit to optimize the structure layout. 2. NUMERICAL EXAMPLES 2.1. Layout of Reinforcement Ribs for Four - side Fixed Support Structure Firstly, the square structure is taken as an example to calculate the power flow response and the optimal topology of the structure under the central sinusoidal excitation load. As shown in Figure 1, the plate-reinforcement coupling structure is fixed around the support, the reinforcement and the substrate use the same material, the central load sinusoidal excitation, the 21-24 AUGUST SCOTTISH EVENT CAMPUS ? O? ? GLASGOW amplitude is 100N, the frequency is 500rad / s, other basic parameters are shown in Table 1. Numerical example based on MATLAB programming for solving and configuration display. Table 1: Calculation parameters of numerical example model. geometric dimension of geometric dimensions of stiffeners elastic modulus poisson element partition density (kg/m 3 ) ratio model parameter substrate n E (GPa) t W L (cm) h b (mm) 20 × 20 × 0.3 8 × 8 210 0.3 3×3 7800 damping coefficient quality penalty stiffness penalty volume ratio damping coefficient factor factor of stiffeners optimization power flow response £8 8 & & &§ &§ & q q parameters 0.3 0.01 0.01 3 3 Figure 3(a) shows the optimization process, the abscissa is the number of iterations, the ordinate is the objective function change process. The initial setting is that the stiffeners are fully covered. It can be seen that the volume fraction decreases greatly after the first iteration, and then with the continuous optimization iteration of the structural unit, the objective function, namely, the power flow response of the structure changes with the change of the topological configuration of the structure, and begins to decrease after reaching the peak after the third iteration. Due to the superiority of the moving asymptote method, the objective function converges stably and does not oscillate with the iteration process. It is not difficult to see the results of the selection of several iterative points of the topological configuration of the structure. For the thin plate stiffened structure with four edges clamped, the response of the power flow is mainly concentrated in the center of the structure, but the surrounding boundary also has a certain range of response, and the stiffened layout is mainly around the strong response part. With the iterative process, the intermediate gray unit is added and deleted according to the unit sensitivity, and finally a stable topology is formed. Figure 3(b) shows the volume ratio of stiffener layout and the objective function bi-coordinate curve. Compared with the objective function, it can be seen that with the increase of the number of stiffeners, the objective function is also decreasing accordingly. When the volume percentage reaches 30 %, the objective function curve is basically unchanged. ‘ones SWINJOA, asuodsa1 mou) 1990, (a) Iterative process (b) Volume fraction and objective function Figure 3: Iterative Process for Power Flow Response Optimization of 8 × 8 Element Plate - Reinforcement Coupled Reinforcement Structure. 21-24 AUGUST SCOTTISH EVENT CAMPUS ? O? ? GLASGOW Then, under the premise of keeping the geometric size of the structure unchanged, the stiffener structure of the plate structure is re-discreted, that is, the elements are re-divided and changed to 20 × 20 elements. The unit size is reduced from 2.5 cm × 2.5 cm to 1.0 cm × 1.0 cm, and the material parameters, loading conditions and boundary conditions are not changed. The optimization results are shown in Figure 4. 0.2 weer ener - o-4- - o o oO o N 2 © 2 9 5 88 sg o o o o o o o o 0.15 0.05 (a) Final topology (b) Volume fraction and objective function Figure 4: Power flow response optimization results of 20 × 20 element plate stiffened structure. 2.2. Layout of stiffeners under different boundary conditions Firstly, the layout optimization of stiffened plate structures under different boundary conditions is compared. For ease of calculation and comparison, the load amplitude frequency is constant, other parameters such as Table 1. The opposite side clamped stiffened plate structure is shown in Figure 5. Power low response -eEnergytow] |, Volume “ ’o s 0 2 M 6 BOO ‘teration times ‘Volume ratio Figure 5: Reinforcement structure of opposite clamped strut structure. The opposite side clamped structure is a very common structure in practical engineering application, which is used to bear the load. The optimization results and curves are shown in Figure 6. 21-24 AUGUST SCOTTISH EVENT CAMPUS ? O? ? GLASGOW 21-24 AUGUST SCOTTISH EVENT CAMPUS ? O? ? GLASGOW (a) Final topology (b) Volume fraction and objective function Figure 6: Optimization results of power flow response of 8 × 8 element to stiffener structure of edge-fixed plate structure. The optimization results show that for the edge-fixed structure, the main response after central loading is still generated in the central part compared with that of the quadrilateral-fixed structure. However, unlike the quadrilateral-fixed condition, the power flow response of the free edge without constraint ( upper and lower sides ) structure is relatively small compared with that of the constraint edge ( left and right sides ), and the reinforcement is mainly distributed in the constraint edge, which also indicates that the transmission of vibration waves is gradually transferred from the central loading part to the two clamped edges. Therefore, to suppress the vibration degree, it is necessary to selectively adopt strengthening measures according to the transmission direction of vibration. At the same time, because the power flow response of the free side is relatively small, the stiffeners can be more arranged in the strong part of the response to better suppress vibration under the premise of meeting the reference constraints. 0.2 0.15 0.1 0.05 Next, the boundary conditions are set as four corners clamped as shown in Fig. 7. The element division, loading conditions and material parameters are still unchanged, and then the layout of stiffeners is optimized. Figure 7: Reinforcement structure of four corner point clamped plate structure. The optimization results are shown in Figure 8 : 3mm AEA BSI ES NPSIPSIOS PEA EEE EO 2mm y 21-24 AUGUST SCOTTISH EVENT CAMPUS ? O? ? GLASGOW (a) Final topology (b) Volume fraction and objective function Figure 8: Power flow response optimization of 8 × 8 element quadrangle fixed support plate reinforcement structure. The optimization results of the fixed support at the four corners also show that the transfer trend of vibration in the structure is transferred from the loading area to the fixed point ( or edge ). However, it can be seen from the comparison of the four-side fixed support and the opposite fixed support that there is basically no parallel beam in the relative transfer direction. In the two- dimensional structure, the vibration transmission forms include the out-of-plane bending wave, the in-plane tensile wave and the shear wave. The optimization results of the corner-fixed stiffeners are not arranged in the direction parallel to the power flow transmission direction, which indicates that in the vibration transmission form of the plate structure with the corner-fixed stiffeners, the proportion of the in-plane tensile wave is much smaller than that of the bending wave and the shear wave, so the main goal of the layout of the stiffeners is to reduce the influence of the bending wave and the shear wave. Ne aUINJOA, 06 . asuiodsar Moy sa) Ey 18 Iteration times 10 Figure 9: Schematic diagram of stiffened rectangular plate structure. The optimization results of different boundary conditions are shown in Fig. 10. Reinforcing rib yee 3mm 3mm ESLPECAMEEES SOE EELS CSESEsEs Es Es Es EES ESESES SZ2ZABBAG 2mm 21-24 AUGUST SCOTTISH EVENT CAMPUS ? O? ? GLASGOW 0.15 0.1 0.05 0.05 0.1 0.15 0.2 0.25 0.3 (a) Final topology of quadrilaterally clamped (b) The volume fraction of four edges of 6 × 6 × 12 elements 12 element and the objective function 06 ‘ones aUINJOA, 06 astiodsar Moy 190d Eee 62 Iteration times 10 —_—_/% 0.15 0. 0.05 0.1 0.15 0.2 0.25 0.3 0.05 (d) Volume fraction and objective function of 6 × 12 elements opposite clamped edges (c) Final topology of 6 × 12 opposite (left and right) clamped elements ‘ones awUNJOA, Iteration times astuodsar MOL 0MOd, 7 7 < | 0 0 0.05 0.1 0.1 y TA 44 KK 0.2 0.25 0.3 (f) Solid support volume fraction and objective function at quadrangle of 6 × 12 (e) Final topology of 6 × 12 quadrangle fixed support unit element ones aUINJOA, 06 asuodsar Moy 1aMOa Iteration times Figure 10: Power flow response optimization results of 6 × 12 element plate stiffened structure. Through the optimization results of rectangular substrate, it can be found that under the boundary conditions with four edges clamped, because the transverse size and longitudinal size of the substrate structure are not equal, the vibration wave is first transmitted to the near upper and lower boundaries, so the stiffeners are mainly distributed at the center and the upper boundary, and at the left and right boundaries far away, due to the existence of volume constraints, and the vibration has been suppressed by the stiffeners at the center, so there is no stiffener at the left and right boundary clamped as there is at the clamped boundary of the square substrate structure. 3. CONCLUSIONS This paper starts with the analysis of structural energy flow transmission, gives the basic model of power flow theory, and improves the Rayleigh damping model. Then according to the basic theory model of power flow, the power flow response model of stiffened plate structure is established, and the sensitivity of the objective function is solved by using this objective function. Then, the optimization process of the structural topology optimization design process is given based on the moving asymptote method ; finally, a general example is used to verify whether the mathematical model can obtain the optimal solution. Then, the numerical results of the optimal configuration and power flow response of structures with different boundary conditions, shapes and loading frequencies are compared to analyze the influence of different conditions on the structural response. 4. ACKNOWLEDGEMENTS This research is supported by the National Natural Science Foundation, of China (Grant No.51505096), and National Natural Science Foundation of Heilongjiang Province of China (Grant No.LH2020E064). This paper is funded by the International Exchange Program of Harbin Engineering University for Innovation-oriented Talents Cultivation. 5. REFERENCES 1. Rozvany GIN, Zhou M,Birker T. Generalized shape optimization without homogenization[J]. Struct Optim , 1992, 4:250-254. 2. Bendsøe M P, Sigmund O. Material interpolation schemes in topology optimization [J]. Archive of Applied Mechanics , 1999, 69(9) , 635-654. 3. D. Tcherniak. Topology optimization of resonating structures using SIMP method[J]. I nt. J. Numer. Meth. Engng. , 2002, 54:1605-1622. 4. Jianbin Du, Niels Olhoff. Minimization of sound radiation from vibrating bi-material structures using topology optimization[J]. Struct Multidisc Optim , 2007, 33: 305-321. 5. Kharmanda G, Olhoff N. Reliability based topology optimization[J]. Struct Multidisc Optim , 2004, 26:295-307. 6. Xie Y M, Steven G P. A simple evolutionary procedure for structural optimization [J]. Computers & Structures , 1993, 49(5) :885-896. 21-24 AUGUST SCOTTISH EVENT CAMPUS ? O? ? GLASGOW Previous Paper 631 of 769 Next