Welcome to the new IOA website! Please reset your password to access your account.

Acoustic classification with the descriptor of the weighted standard- ized level difference D nT,w with use of the weighted apparent sound re- duction index R ’ w Reinhard O. Neubauer 1 IBN Bauphysik GmbH & Co. KG Theresienstraße 28, 85049 Ingolstadt, Germany

ABSTRACT Buildings must ensure sound insulation appropriate to their use. This sound insulation is regulated by building regulations. In many Europe countries this is by use of the weighted apparent sound reduction index R’ w or the weighted standardized level difference D nT,w . This paper shows that a direct assignment of the quantities R’ w and D nT,w is only possible for certain geometric ratios of room volume to separating area (V/S). If a permissible deviation between R’ w and D nT,w is accepted, a classification of sound insulation values (R’ w ) with fixed class limits can be made. This makes it possible to classify the sound insulation with reference to the descriptive parameter D nT,w using the weighted apparent sound reduction index R’ w .

1. INTRODUCTION

The classification of soundproofing represents a certain challenge in terms of ranking airborne sound insulation in classes. Soundproofing as a conceptual quantity has a subjective meaning, namely the perceived protection against disturbing noise immissions [1]. Instead of a physical quantity the pro- tection is described by a perceptual quantity. On the other hand, sound insulation represents a physical quantity and can be seen as the equivalent to an electrical resistance or a thermal insulation resistance, as it is found in the term thermal insulation [2]. Various European countries have established classi- fication systems, partly as parameters of soundproofing (e.g. D nT,w ) and partly as parameters of sound insulation (e.g. R ' w ). In this article it will be shown how a classification of soundproofing, with refer- ence to the descriptive parameter D nT and backed by the parameter of the sound insulation R ', is possible. 2. CHARACTERISTICS OF SOUNDPROOFING AND AIRBORNE SOUND INSULATION

In this context a distinction must be made concerning soundproofing and airborne sound insulation. The biggest difference between soundproofing and airborne sound insulation is that soundproofing is a process of a heard sound while airborne sound insulation is related to the process of blocking air- borne sound by entering a room. Sound Insulation is the ability of building elements or structures to reduce sound transmission. The sound pressure level in the receiving room of both quantities is de- pending on the sound absorption properties of the receiving room. Basically, the sound absorption and reverberation time are mathematically related. Thus, the reverberation time is a measure of the sound absorption of the room.

1 dr.neubauer@ibn.de

a 2022

2.1. Sound insulation measure R ‘, R ‘ w The sound insulation value R is defined by ten times the decadal logarithm of the ratio of the sound power that hits a separating component in the transmission chamber and radiates from the separation component in the receiving room. If all transmission paths involved in the sound transmission are included, apparent sound reduction index R ' results. It is calculated according to Equation 1:

𝐴 𝐴 ቁ [𝑑𝑑𝑑𝑑] , (1)

𝑅𝑅’ = 𝐿𝐿 1 −𝐿𝐿 2 + 10 𝑙𝑙𝑙𝑙𝑙𝑙ቀ

𝑆

with L 1 and L 2 denoting the energy-average sound pressure levels measured in the source and receiv- ing room, in dB. S is the area of the partition between the sending and receiving rooms, in m², and A is the equivalent sound absorption area in the receiving room, in m².

The calculation of the equivalent sound absorption area A in the receiving room is based on the measured reverberation time T using Sabine's equation assuming a diffuse sound field [3]. The for- mula for the equivalent sound absorption area A is given in Equation 2:

𝑇 [𝑚𝑚²] , (2)

𝐴𝐴 =

0,16 𝑉

where V is the volume of the receiving room, in m³, and T is the reverberation time in the receiving room, in s.

The results obtained for the sound insulation value R ' strictly depend on the application of Sabine's formula, i.e., the applicability of the Equation 2. Therefore, two important requirements must be ful- filled when determining the sound insulation value R ': On the one hand, the validity of the statistical reverberation time theory according to the formular of Sabine and, on the other hand, the correct measurement of the reverberation time in the receiving room. Introducing Equation 2 in Equation 1, yield:

𝑉 𝑉 ቁ+ 10 log(𝑇𝑇) + 8 𝑑𝑑𝑑𝑑 [𝑑𝑑𝑑𝑑] , (3)

𝑅𝑅’ = ∆ 𝐿𝐿+ 10 𝑙𝑙𝑙𝑙𝑙𝑙ቀ

𝑆

with ∆ L denoting the level difference of L 1 and L 2 of the energy-average sound pressure levels meas- ured in the source and receiving room, in dB.

The reciprocal value of the ratio ( S / V ) reflects the room height ( h ) for ceilings and either the room width or the room length for partition walls. When examining partition walls, the assignment of the spatial dimension is therefore not determined. The numerical value of 8 dB results from the applica- tion of Sabine's equation from the ratio (24 ln10/ c 0 ), where c 0 represents the speed of sound in air. For the ratio assumed at 0.16, the speed of sound is assumed to be 345.6 m/s [4]. R ' is frequency dependent. To obtain a single number, the weighted apparent sound reduction index R ' w is determined with the help of a reference curve according to ISO 717-1 [5]. ISO 16283-1 [6] describes the fact that the sound reduction index R ' has a weaker connection to the subjective impression of airborne sound insulation compared to the standardized sound level difference D nT .

2.2. Standardized level difference D nT , D nT,w The standardized sound level difference D nT is defined by the sound pressure level difference between the transmitting and receiving rooms using a reference reverberation time T 0 . The sound level differ- ence is measured by spatial and temporal averaging of the respective sound pressure levels depending

a 2022

on the frequency. The frequency dependent reverberation time determined in the receiving room is normalized to the reference reverberation time and thus considers the room acoustic properties of the receiving room. The standardized sound level difference is calculated according to Equation 4:

𝑇 𝑇 0 ቁ [𝑑𝑑𝑑𝑑] , (4)

𝐷𝐷 𝑛𝑛𝑛𝑛 = 𝐿𝐿 1 −𝐿𝐿 2 + 10 𝑙𝑙𝑙𝑙𝑙𝑙ቀ

𝑇

where T 0 is the reference reverberation time, in s.

The standard sound level difference does not depend on the validity of Sabine's equation. This means that only one requirement must be fulfilled when determining the standard sound level differ- ence: the correct reverberation time measurement in the receiving room (measurement accuracy). The reference reverberation time ( T 0 ) was set internationally for living spaces at 0.5 s. If the reference reverberation time is used in Equation 4, the following equation results:

𝐷𝐷 𝑛𝑛𝑛𝑛 = ∆ 𝐿𝐿+ 10 log(𝑇𝑇) + 3 𝑑𝑑𝑑𝑑 [𝑑𝑑𝑑𝑑] , (5)

The standard sound level difference is frequency dependent. In order to obtain a single number of the frequency dependent standard sound level difference, the weighted standardized level difference D nT,w is determined with the help of a reference curve according to ISO 717-1. ISO 16283-1 describes the standard sound level difference D nT and provides a direct connection to the subjective impression of airborne sound insulation.

2.3. The linking of R ’ w and D nT,w In the literature [7] [8] [9] it is shown that with the same evaluated construction the sound insulation value R ' w differ to the perceived sound insulation. On the one hand, this can be attributed to the different frequency curves of the sound insulation or to the inherent properties of the component characteristic "sound insulation". If one considers the equation for the determination of the sound insulation, expressed as R ' w , it is seen that the sound insulation value is determined by the sound pressure level difference ( L 1 – L 2 ) and the correction term: 10 lg( S / A ). The weighted standardized sound level difference D nT,w is also determined by the sound pressure level difference ( L 1 – L 2 ) and a correction element: 10 lg( T / T 0 ). Therefore the sound pressure level difference ( L 1 – L 2 ) between the transmitting and receiving rooms is common for both parameters R ' w and D nT,w . R ' w and D nT,w coincide numerically if the ratio of room volume ( V ) to separation component ( S ) corresponds to the value of 3.125 m. The link between the component-related measure R ' and the reverberation time-related measure D nT is shown in detail in [2]. It becomes obvious that a flat-rate conversion, without reference to the geometric ratios of room volume ( V ) and separation component area ( S ) under consideration of a given scattering, or an accepted difference, is not possible. This is illustrated by equation (1) for airborne sound insulation given below.

𝐷𝐷 𝑛𝑛𝑛𝑛 = 𝑅𝑅 ′ + 10 log ቀ

𝑆 𝑆 ቁ−4.95 𝑑𝑑𝑑𝑑 [𝑑𝑑𝑑𝑑] , (6)

𝑉

A class formation of both sizes is possible separately for each size without any problems. For example Austria [10] has defined sound insulation classes from A to E and assigned a specific D nT,w to each class. ISO-TC 19488 [11] also assigns so-called "class limits" to the standard sound level differences. Certain singular values are always required that meet a certain class. Fixed class bound- aries and class widths are specified. The classes or intervals are always divided in such a way that the boundaries between two classes are directly adjacent to each other. The proof of warranty of a certain

a 2022

class is thus always associated with the same characteristic size. Due to the assignment of the char- acteristic quantities D nT,w and R ' w according to equation (6), a direct link is only possible depending on the ratio of ( V / S ). A general equivalence of values cannot thus be carried out. As shown in [2], the geometric ratio of room volume to separating surface ( V / S ) can basically be resolved in such a way that this results in either a functional dependence on the room width ( w ), the room length ( l ) or the room height ( h ). If a floor area of S G ≥ 8 m² and room heights between 2.40 m and 3.0 m is assumed, the following results for the case distinction: R ' w = D nT,w , i.e. the numerical uniformity of both measures, shown in Figure 1 below.

a 2022

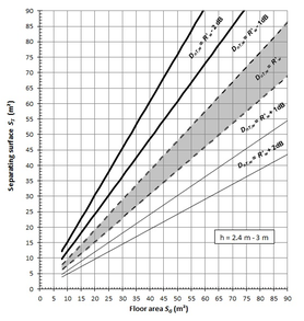
Figure 1: Depicted is the difference: R ' w - D nT,w = 0 depending on the geometric ratios: separating surface S T and floor area S G . The minimum floor area is 8 m². The room height is between 2.40 m and 3.0 m. The diagonal drawn in grey indicates the equality of S T = S G .

Figure 1 shows that mathematically on the basis of equations (6) the equality of R ' w and D nT,w is always given if the floor area ( S G ) is not larger than the parting surface ( S T ). If the separating surface deviates from the floor area, there are differences between R ' w and D nT,w . If a difference ( R ' w - D nT,w ) of ±1 dB and of ±2 dB is allowed, the graphical representation results as shown in Figure 2.

Figure 2: Differences of R ' w - D nT,w as a function of geometric ratio: separating area S T to floor area S G . The minimum floor area is 8 m². The room height is between 2.40 m and 3.0 m. The grey area indicates the equality of D nT,w = R ' w .

Lf. rrr ~ ot Searreeaaeerarazay (ats cnet. tues)

If the separating surface ( S T ) deviates from the floor area ( S G ), the difference increases, and devi- ations of several decibels occur. These deviations result from the geometric conditions and are not "acoustically" conditioned. From Figure 2 it is seen that a floor area, e.g., rooms between 10 m² and 20 m², the difference between D nT,w and R ' w is mathematically not greater than +2 dB. The standard sound level difference only becomes smaller when the separating surface ( S T ) becomes larger than the floor area ( S G ). This can only be the case with partition walls and not with ceilings. 3. MEASUREMENT

In order to determine R ' w and D nT,w , sound insulation measurements were carried out on 71 separation components (ceilings and walls) in accordance with DIN EN ISO 16283-1. The results are shown graphically in Figure 3.

a 2022

Figure 3: Measured values R ' w and D nT,w of 71 separation components (ceilings and walls).

Figure 3 shows the distribution of the measurement results for the data D nT,w and R ' w . The fluctu- ation range of D nT,w is 45 to 78 dB and from R ' w equal to 46 to 74 dB. From Figure 3 it is seen that the values fluctuate significantly. For the presented data set (N = 71), the fluctuation range of the differences ( D nT,w - R ' w ) is equal to -2 dB to +4 dB. If the difference values of the parameters D nT,w and R ′ w from the measurements of the data set are directly related to the corresponding ( V / S ) ratios, the representation shown in Figure 4 results.

Figure 4: Shown is the relationship of the difference ( D nT,w - R ' w ) and the ratio ( V / S ) of the measure- ment data set (N = 71).

é 2 bond eft ti j

4. BOUNDARY CONDITIONS OF COMPUTATIONAL ANALYSIS

For a computational analysis of the characterizing quantities, the following boundary conditions are assumed [12].

- The minimum floor area of a living space is assumed with S G = 8 m² - The minimum room height is h = 2.4 m resulting in a minimum room volume of V = 19.2 m³ - The minimum separation component area is S T = 10 m² and remains constant - This results in a lower limit for the ratio of volume to parting surface of V / S = 1.92 m³/m² - An idealized course of the sound level difference is assumed - The reverberation time is set to T = 0.5 s per one-third octave band frequency and remains constant.

a 2022

With variation of the volume and a constant separating surface, the theoretically expected param- eters are calculated frequency dependent and an evaluation of the frequency dependent quantities is carried out on the basis of the evaluation method according to [5] and the difference ( D nT,w - R ′ w ) is plotted graphically as a function of the ratio ( V / S ). The ideal frequency response of the sound level difference was iteratively subjected to several variations. Figure 5 summarizes the theoretically ex- pected difference values ( D nT,w - R ′ w ) as a function of the ratio ( V / S ) including the tolerance limits.

Figure 5: Theoretical differences ( D nT,w - R ′ w ) for the ratio ( V / S ). (Graphic from [12]). 5. CLASS FORMATION

5.1. Volume classes Within the scope of the investigated data set with an upper limit of the room volume of a maximum of V = 120 m³, four volume classes can be formed (see Figure 4). The higher the volume class, the greater the upper limit of the difference values ( D nT,w - R ′ w ) and the larger the possible spread of the difference values can become. The grey zones shown in Figure 4 represent the mathematically deter- mined, i.e., theoretically possible, difference values.

Figure 4: Volume classes and dispersion of the difference ( D nT,w – R ’ w ). (Data from [12]).

The differences depicted in Figure 4 show that the deviations are greater for growing volumes. The number equality of R ' w and D nT,w is a singularity that applies only to a volume of V = 31.25 m³. Under- and exceedances of this room volume cause an increasing dispersion. The examined meas- urement data set results in a scattering width of -2 dB to +4 dB and from the theoretical consideration, valid for the assumed boundary condition, a scattering width of -3 dB to +6 dB results.

5.2. Separating surface classes Based on a subdivision into volume classes, a subdivision into separating surface classes can also be derived. In Figure 5, the separating surface classes are shown graphically. The grey bars show the theoretically possible difference values.

Figure 5: Separating surface classes and dispersion of the difference ( D nT,w – R ’ w ). (Data from [12]).

a 2022

Figure 5 shows that the deviations are becoming smaller for growing separating surfaces. The number equality of R ' w and D nT,w is a singularity that occurs volume-dependent at a separating surface of S = ( V /3.125). Under- and exceedances of this separating surface cause a decreasing dispersion. The examined measurement data set results in a scattering width of -1 dB to +4 dB and from the theoretical considerations, valid for the assumed boundary conditions, a scattering width of -3 dB to +6 dB results.

6. CONCLUSIONS

The class formation in acoustics can be a clear help to be able to make fast and targeted divisions. The study on the classification of sound insulation has shown that a simple assignment of the sound insulation classes in sound insulation values is difficult. The advantage of a representation in classes is a simpler estimation of the expected differences of the two parameters D nT,w and R ' w . However, the relationships presented in a simplified manner based on the volume classes and separating surface classes are more complex due to the prerequisites and assumptions described. They have more com- prehensive relationships regarding the limits of the respective classes and the expected difference values. A distinction between dividing walls and dividing ceilings is useful in view of the results of the data analysis, but cumbersome for a generally applicable classification. A useful class formation can be obtained based on the relationships between volume ( V ) and separating surface ( S ). A classi- fication can only be reasonably carried out if the deviations, i.e., the differences between the two parameters ( D nT,w and R ' w ), are defined. If no determination is made, deviations of several decibels may occur, so that class formation with predefined class widths is not expedient. If a class width is specified as well as a deviation limit, then class formation is possible depending on the ratios of V / S . However, it must be considered that a certain V / S ratio must always be considered for a fixed class to

comply with the agreed error limit. If, regardless of the geometry ratio, a weighted apparent sound reduction index is assigned to a certain class, expressed as a weighted standard sound level difference, the deviation can be several decibels. A direct comparison of R ' w and D nT,w is only permitted for a fixed V / S ratio and always leads to a difference, except for the singularity V / S = 3.125 (m³/m²). De- pending on the separating surface and the room volume, the spreading width can be -2 dB to +6 dB. This makes it clear that a class formation with the evaluated standard sound level difference D nT,w can only be linked to the weighted apparent sound reduction index R ' w if a given uncertainty (spread- ing width) is defined. This uncertainty depends on the V / S ratio, so that a fixed spread in the applica- tion is limited. Outside these validity limits, the deviations can be several decibels. The classification of the soundproofing value D nT,w with the help of the sound insulation measure R ' w is a function of the geometric ratio of room volume ( V ) to separating surface ( S ). 7. REFERENCES

1. Neubauer, R. O. Die Klassifizierung des Schallschutzes D nT,w mit Hilfe des Schalldämm-Maßes R ’ w . (In German). Bauphysik 43(6) , 400-410 (2021). https://doi.org/10.1002/bapi.202100036 . 2. Neubauer, R. O. Schalldämmung und Schallschutz - Vergleich von bewertetem Bau- Schalldämm-Maß R ‘ w und bewerteter Standard-Schallpegeldifferenz D nT,w . (In German). Bau- physik 43(1) , 18-26 (2021). https://doi.org/10.1002/bapi.202000024. 3. Neubauer, R. O. Einfluss der äquivalenten Schallabsorptionsfläche auf das Schalldämm-Maß. (In German). Bauphysik 43(2) , 79–86 (2021). https://doi.org/10.1002/bapi.202100003. 4. EN 12354-6:2003 (2003) Building acoustics - Estimation of acoustic performance of buildings from the performance of elements - Part 6: Sound absorption in enclosed spaces. European Stand- ard, Brussels. 5. ISO 717-1:2020-12 (2020) Acoustics - Rating of sound insulation in buildings and of building elements - Part 1: Airborne sound insulation. International Organization for Standardization, Ge- neva. 6. ISO 16283-1:2014-02 (2014) Acoustics - Field measurement of sound insulation in buildings and of building elements - Part 1: Airborne sound insulation. International Organization for Standard- ization, Geneva. 7. Rasmussen, B. & Lang, J. - How much protection do the sound insulation standards give and is this enough? Proceedings of EURONOISE 2009. Action on noise in Europe. 8th European Con- ference on Noise Control, 26-28 October 2009, Edinburgh, United Kingdom (2009). 8. Neubauer, R. O.; Kang J. Airborne sound insulation in terms of a loudness model. Applied Acous- tics 85 , 34 – 45 (2014). 9. Rychtáriková, M.; et al. Perceived loudness of neighbour sounds heard through heavy and light- weight walls with equal R w + C 50-5000 . Acta Acustica United Acustica 102(1) , 58-66 (2016). 10. ÖNorm B 8115-5: 2021-04 (2021) Schallschutz und Raumakustik im Hochbau - Teil 5: Klassi- fizierung. (In German). Austrian Standards, Vienna. 11. ISO-TC 19488:2021-04 (2021) Acoustics - Acoustic classification of dwellings. International Or- ganization for Standardization, Geneva. 12. Rauscher, T. E. Subjektive und objektive Bewertung der Qualität der zur Kennzeichnung der Schalldämmung verwendeten Einzahlwerte R ' w und D nT,w . (in German). [Master Thesis]. Univer- sity of Stuttgart, Germany (2020).

a 2022