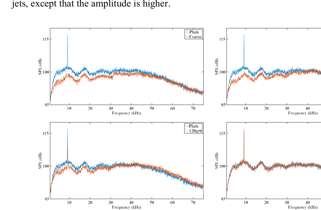
A A A The role of nozzle exit-lip surface roughness on jet noise Jaswanth Kalyan Kumar. Alapati 1 Indian Institute of Technology Madras Department of Mechanical Engineering, Chennai – 600036, India. Srinivasan. K 2 Indian Institute of Technology Madras Department of Mechanical Engineering, Chennai – 600036, India. ABSTRACT This paper attempts to describe the jet noise sensitivity to the surroundings by considering the surface roughness of the nozzle exit lip. A thick lip convergent nozzle is used, and its lip surface roughness is altered by attaching sandpapers of various grades ranging from smooth (320, 120 grit) to rough (coarse, 80 grit). Far-field acoustic measurements for different under-expansion levels are carried out by changing the nozzle pressure ratio from 1.5 to 6.5. The results are compared with that of the smooth lip nozzle. The jet noise (screech tone) varies with the surface roughness of the exit lip due to changes in the receptivity caused by the diffuse reflection of upstream acoustic waves by the lip. The screech tone is eliminated with the rough sheets at higher pressure ratios, while screech amplitude is decreased for smooth sandpapers. 1. INTRODUCTION Jet flows are used in diverse engineering disciplines because of their affluent flow dynamics. How- ever, they are accompanied by an undesirable sound called jet noise, which poses a social hazard. Jet noise has become a study of interest as the standards for acoustic comfort have been scaled up. Jet noise is broadly categorized into turbulent mixing noise, broadband shock-associated noise (BSAN), and screech tone based on their generation mechanism [1]. The latter two together are known as shock-associated noise and exist only for imperfectly expanded supersonic jets. The turbulent mixing noise and BSAN are broadband, whereas screech is an intense tonal noise that can cause damage due to resonance, such as fatigue failure of aircraft components [2]. Screech was first reported by Powell [3] as a dominant tone due to an acoustic feedback loop between instability waves and shock cells in the jet flow. The downstream propagating instability waves in the shear layer interact with the shock cells to create acoustic feedback waves. Upon trav- eling upstream to the nozzle exit, these waves excite new instabilities to complete the loop. This loop occurs at a particular frequency, the screech frequency, and thus screech is a discrete tone. An expla- nation of these screech generation phases using Schlieren visualization is provided by Raman [4], and a summary of screech research since its discovery is documented in the review paper [5]. The screech frequency of under expanded circular jets decreases with the nozzle pressure ratio and exhib- its discrete jumps as the jet instability mode varies. The interval where screech frequency differs continuously is termed a screech mode. Powell [3] classified these circular jet screech modes as A, B, C, and D. Mode A consists of axisymmetric modes A1 and A2, B and D modes are sinuous, and 1 me17d413@smail.iitm.ac.in 2 ksri@iitm.ac.in ji Nyive inter.noise 21-24 AUGUST SCOTTISH EVENT CAMPUS ? O? ? GLASGOW C mode is helical [6-8]. Powell et al. [8] showed the presence of secondary tones neighboring all the screech jumps and are appeared to be continuous parts of the dominant tones but of lower amplitude. Also, at some pressure ratios, multiple screech tones exist. In these conditions, the phenomenon of whether the two modes steadily coexist or are mutually exclusive has attracted researchers [9-11]. Shen and Tam [12] proposed that the two modes coexist because the feedback waves responsible for the two screech modes are of different types. The two types of upstream propagating feedback waves are the free-stream and the jet acoustic mode, which Tam and Hu [13] first observed. In any mode, the four fundamental processes [4] governing the screech phenomenon are the insta- bility wave growth, instability wave-shock interaction, upstream acoustic feedback, and the receptiv- ity process (instability generation efficiency). Powell [14] considered screech a limit cycle and pro- posed a criterion condition for the limit cycle. Using the gain criterion, he suggested that screech elimination can be accomplished by reducing one or more factors appearing in the equation, which are similar to the control measures for screech reduction stated by Alvi et al. [15]. Off the methods mentioned above, the receptivity process is often modified without disturbing the jet flow using noz- zle external geometry features. The external geometry features of interest affect the coupling of acous- tic feedback to the initial jet shear layer. Since the present study also focuses on altering the receptiv- ity, an overview of similar research on modifying it is presented. Glass [16] first explored the receptivity process by analyzing the spread of a supersonic jet using a reflector. Later, Harper-Bourne and Fisher [17] and Tanna [18] found that using an acoustic foam on the reflector and nozzle surroundings reduced the screech intensity. Norum [19], in his work on screech reduction, showed that the upstream baffle position influences the screech mode and elimi- nates screech when placed at a particular location. Continuing this work, Nagel et al. [20] found that a reflector positioned a quarter of the screech wavelength upstream of the jet exit eliminated screech. In addition, Norum [21] studied the required baffle size for screech elimination. Similarly, Ahuja [22] investigated the effect of the downstream baffle position on screech frequency and amplitude. Fur- ther, Elavarasan et al. [23] eliminated impinging tones using a semi-circular baffle located down- stream. Unlike the previous studies on upstream and downstream of the nozzle exit, Ponton and Seiner [24] conducted detailed research on the effect of exit lip thickness on screech staging and frequency. Aoki et al. [25] also performed a similar study using a convergent-divergent nozzle to report that the expansion levels impact the screech frequency. Khan et al. [26] reported that spherical reflectors are better than flat ones, and the optimum location for screech cancellation is different for both configurations. Thus, a brief literature review on altering receptivity for screech tone reduction using reflectors demonstrates that they are effective but screech-dependent. Also, many control devices have been proposed for screech reduction [27-31], but they cause jet distortion. Motivated by the idea of modi- fying receptivity, the objective of this study is to evaluate the jet noise characteristics by varying the exit lip surface roughness, which also describes the jet noise sensitivity to the surroundings. 2. EXPERIMENTAL SETUP AND PROCEDURE 2.1. Jet facility The experiments are conducted in a semi-anechoic chamber of dimensions 2.5 m x 2 m x 2 m, situated at the Thermodynamics and Combustion Engineering Laboratory in the Indian Institute of Technol- ogy, Madras. The anechoic chamber has a cut-off frequency of 700 Hz. Hence, frequencies below it are not considered in the study. The chamber has two windows, one for the compressed air inlet and the other for the jet exhaust. Cold air jets are used in the present study. A two-stage reciprocating ji Nyive inter.noise 21-24 AUGUST SCOTTISH EVENT CAMPUS ? O? ? GLASGOW type compressor is used to compress air. The compressed air is supplied to the settling chamber from two storage tanks through a 4-inch diameter pipe, followed by a moisture remover, filter, and pressure regulator. The inlet of the settling chamber is of diameter 380 mm for a length of 500 mm before converging to 43.5 mm diameter at the outlet over a distance of 100 mm. The inner walls of the settling chamber are lined with acoustic foam to avoid sound reflections inside. The convergent noz- zle is attached to the outlet of the settling chamber. 2.2. Nozzle and sandpapers A convergent nozzle of 30 mm inlet diameter converging linearly to 10 mm exit diameter (D) over a distance of 35 mm is used. The nozzle has an exit lip thickness (smooth) of 15 mm (1.5D), and it is attached to the outlet of the settling chamber. The larger thickness of the nozzle provides more surface area to confirm the effect of roughness better. The exit lip surface roughness is varied using different roughness sheets (sandpapers) of thickness less than 1 mm, and grades ranging from fine (320 and 120 grit) to rough (80 grit and coarse). The nozzle lip has a mean surface roughness of 2 𝜇 m approx- imately, whereas the coarse sheet has 110 𝜇 m and the 320 grit sheet has 8.5 𝜇 m. The roughness sheets are cut and attached to the exit lip firmly without disturbing the jet flow, as shown in Figure 1. ji Nyive inter.noise 21-24 AUGUST SCOTTISH EVENT CAMPUS ? O? ? GLASGOW Figure 1: Photograph of nozzle and sandpapers (left), and nozzle with sandpaper (right). 2.3. Data acquisition Acoustic data is taken using a 1/4" condenser microphone (PCB model 377A01) and is conditioned using a PCB conditioner (model 482C). A B&K Piston phone (model 4228) is used to calibrate the microphone at an amplitude (SPL) of 124 dB and a frequency of 250 Hz. The signal is passed through a 75 kHz cut-off frequency low pass filter. The data is sampled using a National Instruments sampling card (NI-PCI-6143) at a frequency of 150 kHz for 1 second. The microphone is positioned at a dis- tance of 40D from the jet axis for the far-field acoustic measurements. The nozzle pressure ratio (NPR) is varied for different under expansion levels, and acoustic data is taken at two emission angles ( 𝜃 ) with respect to the downstream jet axis, namely 45 o (downstream) and 135 o (upstream). For the blowdown study, the microphone is placed at an emission angle of 135 o . 3. RESULTS AND DISCUSSION 3.1. Blowdown and OASPL A blowdown study is performed to examine the SPL variation with the frequency at all NPRs. It is performed by continuously allowing the compressed air through the nozzle at a higher pressure to Plain Coarse . & 120grit 320grit = lower pressure. At the same time, acoustic data is acquired throughout the process. The results are presented as a grayscale map for all the configurations, as shown in Figure 2. The bright white lines in the maps are the screech tones. The mode changes are clearly distinguishable in all the maps. At higher pressure ratios (NPR>4.3), the screech tone is eliminated for the coarse and 80 grit sandpapers, whereas the amplitude of screech tones is reduced for the remaining. The elimination of screech tone is started at different pressure ratios for the coarse and 80 grit sandpapers. At lower NPRs, no signif- icant change in screech tones is observed for all the models. These results indicate that screech elim- ination frequency depends on the lip surface roughness. Another noticeable difference is that the frequency staging differs in all the plots showing the screech sensitivity to the surroundings [19]. ji Nyive inter.noise 21-24 AUGUST SCOTTISH EVENT CAMPUS ? O? ? GLASGOW Figure 2: Blowdown plots of the nozzle with different sandpaper The variation in OASPL with NPR during the blowdown study for all the sandpapers is shown in Figure 3. The increase in OASPL is due to the increase in jet momentum with the NPR. All the plots follow a similar trend except at higher NPRs. The noise levels are the same at subsonic conditions, indicated by the overlapped plots. They are the same because the lip doesn't influence the jet noise at lower NPRs where screech is absent. At moderate under expansion levels (NPR < 3.5), the subtle variation in the OASPL for different lip surface roughness can be attributed to the slight differences in the screech amplitude. At higher NPR (> 3.5), a noticeable change is observed with the coarse sheet. A maximum reduction of 8.5 dB is achieved with the coarse sheet at an NPR of 3.87. At very high NPRs, the noise levels are the same. These conclusions can be better understood using acoustic spectra, discussed next. ar eu) SSusnbo.y ji Nyive inter.noise 21-24 AUGUST SCOTTISH EVENT CAMPUS ? O? ? GLASGOW Figure 3: OASPL comparison for different sandpapers 3.2. Frequency spectrum Figure 4 compares the acoustic spectra at NPR=2 in the upstream (Figure 4a) and downstream (Figure 4b) directions. This type of comparison helps understand the frequency content and associated SPL. As expected, the spectrum looks the same in both directions. Additionally, this similarity suggests that the attached sandpapers did not disturb the jet flow. In subsonic flows, turbulent mixing noise is responsible for jet noise and is dominant in the downstream direction. Hence, the noise levels are more downstream than upstream. a) b) Figure 4: SPL comparison at NPR=2 for a) 𝜃 =135 0 and b) 𝜃 =45 0 A similar comparison is given in Figure 5 for NPR=3 in the upstream direction, where screech mode changes for the plain nozzle. The screech tone, a characteristic of a supersonic jet, is visible in the spectrum. The difference in the dominant screech mode (more tonal amplitude) with different sandpapers is identifiable, and there is no variation in the frequency value of both modes. The slight variation in the screech tone amplitude is due to the non-stationary property of the screech [17] and the diffuse reflection because of lip surface roughness. This spectra difference indicates the screech sensitivity to the lip surface roughness (surroundings) [19]. ji Nyive inter.noise 21-24 AUGUST SCOTTISH EVENT CAMPUS ? O? ? GLASGOW Figure 5: SPL comparison at NPR=3 and 𝜃 =135 0 The receptivity process is further explored by plotting spectra at NPR=5, where screech elimina- tion is observed with the rough sandpapers, as presented in Figure 6. The screech is entirely elimi- nated with the coarse and 80-grit sandpapers, whereas its amplitude is reduced with the 80 and 120 grit sandpapers. The screech tone reduction increases with the lip surface roughness. The plot with the screech tone elimination is similar to that in André et al. [32]. The low-frequency noise is reduced, indicating a change in the large-scale structures responsible for the screech. The peak frequency of BSAN is slightly shifted to the right with the coarse sandpaper. The increase in the high-frequency noise is due to an increase in the number of shock cells in screech absence. As a result of these differences in spectra, OASPL at this NPR decreased (Figure 3). Figure 6: SPL comparison at NPR=5 and 𝜃 =135 0 ji Nyive inter.noise 21-24 AUGUST SCOTTISH EVENT CAMPUS ? O? ? GLASGOW In the downstream direction (Figure 7), the plots of screech absence look similar to that of subsonic jets, except that the amplitude is higher. Figure 7: SPL comparison at NPR=5 and 𝜃 =45 0 The acoustic spectrum at higher NPR in the upstream direction shows a similar trend. A major difference is an increase in the high-frequency noise. This high-frequency penalty equals the tonal reduction achieved to make the OASPL the same as the plain nozzle, especially for the coarse and 80 grit sandpapers. 3.3. Flow visualization Schlieren flow visualization is performed using a high-speed camera (Photron FASTCAM UX 100) and an in-house schlieren set up to observe the differences in jet flow dynamics. The images are captured at 4000 fps, and hence the analysis should be considered relative. The time-averaged schlie- ren images at NPR=5 for the plain nozzle and nozzle with rough sandpapers are shown in Figure 8. The Mach disk is visible, and the first two shock cells are similar in all the images indicating no jet distortion with the sandpapers. The shock cells downstream are diffuse, not much for the rough sand- papers due to the absence of screech. Also, the number of shock cells seems less for the plain nozzle than with the rough sandpapers. This decrease is due to screech dampening the shock cells due to the oscillations [32]. ji Nyive inter.noise 21-24 AUGUST SCOTTISH EVENT CAMPUS ? O? ? GLASGOW Figure 8: Time-averaged Schlieren images 4. CONCLUSIONS The effects of exit lip surface roughness on jet noise are experimentally investigated using rough (coarse, 80grit) and smooth (120grit, 320grit) sandpapers. The frequency staging varies with the lip surface roughness indicating the screech sensitivity to the lip. The lip surface roughness doesn't affect jet noise under subsonic conditions, so the noise levels are the same for all the sandpapers. A maxi- mum of 8.5 dB reduction in OASPL is obtained with coarse sandpaper. The screech tone is slightly reduced at lower pressure ratios, whereas at higher pressure ratios, it is eliminated for coarse and 80 grit sandpapers and decreased significantly for the 120, 320 grit sandpapers. This is due to the diffuse reflection of the acoustic feedback waves by the rough surface roughness. Overall, rough sandpapers are better than smooth ones. The screech elimination starts at a particular frequency, different for different sandpapers. This indicates a relation between the screech and the surface roughness, which needs to be satisfied for screech elimination. This surface roughness effect can be considered a pas- sive method of controlled screech reduction since it is not eliminated at all pressure ratios. 5. ACKNOWLEDGEMENTS Coarse The authors thank Professor Shamit Bakshi and Dr. Sonu K Thomas for their valuable help. 6. REFERENCES 1. Tam, Christopher KW. "Supersonic jet noise." Annual review of fluid mechanics 27.1 (1995): 17- 43 . 2. Hay, J. A., and E. G. Rose. "In-flight shock cell noise." Journal of Sound Vibration 11.4 (1970): 411-IN3. 3. Powell, Alan. "On the mechanism of choked jet noise." Proceedings of the Physical Society. Sec- tion B 66.12 (1953): 1039. 4. Raman, Ganesh. "Advances in understanding supersonic jet screech." 36th AIAA Aerospace Sci- ences Meeting and Exhibit . 1998 . 5. Raman, Ganesh. "Supersonic jet screech: half-century from Powell to the present." Journal of Sound and Vibration 225.3 (1999): 543-571 . 6. Merle, M. "Sur la frequence des ondes sonores emises par un jet dair a grande vitesse." Comptes Rendus Hebdomadaires Des Seances De L Academie Des Sciences 243.5 (1956): 490-493 . 7. Davies, M. G., and D. E. S. Oldfield. "Tones from a choked axisymmetric jet. I. Cell structure, eddy velocity and source locations." Acta Acustica united with Acustica 12.4 (1962): 257-267. 8. Powell, Alan, Yoshikuni Umeda, and Ryuji Ishii. "Observations of the oscillation modes of choked circular jets." The Journal of the Acoustical Society of America 92.5 (1992): 2823-2836. 9. Raman, Ganesh. "Screech tones from rectangular jets with spanwise oblique shock-cell struc- tures." Journal of Fluid Mechanics 330 (1997): 141-168. 10. Walker, S. H., S. V. Gordeyev, and F. O. Thomas. "A wavelet transform analysis applied to un- steady aspects of supersonic jet screech resonance." Experiments in fluids 22.3 (1997): 229-238. 11. Li, Xiangru, et al. "Screech feedback loop and mode staging process of axisymmetric underex- panded jets." Experimental Thermal and Fluid Science 122 (2021): 110323. 12. Shen, Hao, and Christopher KW Tam. "Three-dimensional numerical simulation of the jet screech phenomenon." AIAA journal 40.1 (2002): 33-41. Dkljghlkjd 13. Tam, Christopher KW, and Fang Q. Hu. "On the three families of instability waves of high-speed jets." Journal of Fluid Mechanics 201 (1989): 447-483. 14. Powell, Alan. "The reduction of choked jet noise." Proceedings of the Physical Society. Section B 67.4 (1954): 313. 15. Alvi, F. Shih, et al. "Control of supersonic impinging jet flows using supersonic microjets." AIAA journal 41.7 (2003): 1347-1355. 16. Glass, David R. "Effects of acoustic feedback on the spread and decay of supersonic jets." AIAA Journal 6.10 (1968): 1890-1897. 17. Harper-Bourne, Marcus. "The noise from shock waves in supersonic jets-noise mecha- nism." Agard Cp-131 (1974). 18. Tanna, H. K. "An experimental study of jet noise part II: Shock associated noise." Journal of Sound and Vibration 50.3 (1977): 429-444. 19. Norum, T. D. "Screech suppression in supersonic jets." Aiaa Journal 21.2 (1983): 235-240. 20. Nagel, Robert T., James W. Denham, and Athanasios G. Papathanasiou. "Supersonic jet screech tone cancellation." AIAA journal 21.5 (1983): 1541-1545. 21. Norum, T. "Control of jet shock associated noise by a reflector." 9th Aeroacoustics Conference . 1984. 22. Ahuja, K. "Some unique experiments on receptivity." Shear Flow Control Conference . 1985. 23. Elavarasan, R., et al. "Suppression of self-sustained oscillations in a supersonic impinging jet." AIAA journal 39.12 (2001): 2366-2373. 24. Ponton, M. K., and J. M. Seiner. "The effects of nozzle exit lip thickness on plume reso- nance." Journal of Sound and Vibration 154.3 (1992): 531-549. 25. Aoki, Toshiyuki, et al. "An experimental study of the nozzle lip thickness effect on supersonic jet screech tones." Journal of mechanical science and technology 20.4 (2006): 522-532. ji Nyive inter.noise 21-24 AUGUST SCOTTISH EVENT CAMPUS ? O? ? GLASGOW 26. Khan, Tawhidul Islam, et al. "The effect of spherical surface on noise suppression of a supersonic jet." Journal of Thermal Science 12.2 (2003): 144-150. 27. Baskaran, Kabilan, et al. "Effects of passive grids on pipe and orifice jet noise." Journal of Sound and Vibration 435 (2018): 218-233. 28. Anureka, R., and K. Srinivasan. "Passive control of pipe-jet noise using trailing-edge castella- tions." Applied Acoustics 170 (2020): 107516. 29. Zaman, K. B. M. Q., M. F. Reeder, and M. Samimy. "Control of an axisymmetric jet using vortex generators." Physics of Fluids 6.2 (1994): 778-793. 30. Tide, P. S., and K. Srinivasan. "Effect of chevron count and penetration on the acoustic charac- teristics of chevron nozzles." Applied Acoustics 71.3 (2010): 201-220. 31. Kweon, Y-H., et al. "Control of supersonic jet noise using a wire device." Journal of sound and vibration 297.1-2 (2006): 167-182. 32. André, Benoît, Thomas Castelain, and Christophe Bailly. "Broadband shock-associated noise in screeching and non-screeching underexpanded supersonic jets." AIAA journal 51.3 (2013): 665- 673. ji Nyive inter.noise 21-24 AUGUST SCOTTISH EVENT CAMPUS ? O? ? GLASGOW Previous Paper 207 of 769 Next