Welcome to the new IOA website! Please reset your password to access your account.

A piezoelectric-nonreciprocal metamaterial with shaped eigenvectors using shunted piezo-networks Han Zhou 1 University of Maryland Mechanical Engineering Department, College Park, MD 20742 Amr Baz 2 University of Maryland Mechanical Engineering Department, College Park, MD 20742

ABSTRACT This paper presents a class of passive nonreciprocal metamaterials (PNMM) which are designed to control the flow of acoustic waves along a one-dimensional periodic acoustic duct. The proposed PNMM consists of a multi-cell array of acoustic cavities which are provided with piezoelectric boundaries. These boundaries are connected to an optimally designed array of shunted inductive networks in order to spatially shape the eigenvectors of the array in such a manner that breaks the reciprocity of the acoustic duct. This approach distinguishes itself from other approaches where non-reciprocities are controlled either actively or passively by various means such as sources of nonlinearities, circulators and gyroscopic/gyrator components, and/or spatio-temporal modulation.

A finite element model (FEM) is developed to analyze and predict the dynamic characteristics and behavior of the proposed PNMM for various shunting strategies and distributions of the networks. The predictions of the FEM are validated experimentally using a five-cell array which are provided with electronically synthesized inductances to enable significant tailoring of the eigenvectors of the PNMM.

The obtained results indicate significant breaking of the non-reciprocity when the characteristics of the PNMM are determined during forward and backward wave propagations. The theory governing the operation of this proposed approach is introduced and a comprehensive experimental validation effort is presented to demonstrate the basic features and non-reciprocal behavior. Generalization of the presented strategies to two dimensional acoustic systems is a natural extension of the present work.

1. INTRODUCTION

Recently, a considerable interest has been focused on the development of various classes of non-reciprocal metamaterials that aim at controlling the spatial distribution of the flow of acoustic energy through these metamaterials. The development of such non-reciprocal behavior is achieved either via simple passive means or more sophisticated active control approaches. Among the

1 zhouhan@umd.edu 2 baz@umd.edu

a Shea mar ce 21-24 AUGUST SCOTTISH BENT caso

commonly adopted approaches are those utilizing sources of nonlinearity [1-2], gyroscopic components [3-5], spatiotemporal modulation approaches [6-8], as well as other innovative concepts [9-10]. The basic physical concepts, the realization approaches, and the associated characteristics of these non-reciprocal systems are outlined, in a comparative manner, by Fleury et al . [11] and Nassar et al . [12].

In this paper, the goal is to build on the work of Baz [13-14] and Zhou and Baz [15] which has laid the foundation for the development of the novel approach of actively shaping the eigenstructure of the metamaterial in an attempt to spatially altering and controlling the acoustic energy flow along a special class of non-reciprocal metamaterial. With that approach, it has been demonstrated that it is possible to achieve desirable and reversable non-reciprocal patterns in a programmable manner.

In the present paper, the emphasis is placed on passively shaping the mode shapes of the metamaterials using arrays of shunted piezo-networks in order to break the reciprocity. The developed “ Passive Non-reciprocal MetaMaterial ” ( PNMM ) is investigated theoretically and experimentally in a comprehensive manner. A finite element model ( FEM ) is developed to analyze and predict the dynamic characteristics and behavior of the proposed PNMM for various shunting strategies and distributions of shunting networks. The predictions of the FEM are validated experimentally using a five-cell array consisting of acoustic cavities provided with piezoelectric boundaries. In the experimental model, the inductances are synthesized electronically to enable significant tailoring of the eigenvectors of the PNMM .

This paper is organized in five sections. In section 1, a brief introduction of the passive and active control approaches of non-reciprocity is presented and the concept of the active nonreciprocal metamaterials with shaped eigen-vectors is outlined in Section 2. A finite element model of the metamaterial with shunted inductors is presented in Section 3 along with the theoretical predictions of the behavior of this class of metamaterials. Section 4 presents the experimental validation of the proposed concept of PNMM as a viable means for breaking the reciprocity in acoustic systems. Finally, Section 5 summarizes the conclusions and possible recommendations for future studies.

2. CONCEPT OF METAMATERIAL WITH SHAPED EIGENVECTORS

In this section, the concept of the proposed passive nonreciprocal metamaterial ( PNMM ) configuration consisting of an array of periodic system which consist of N cells that are provided with array of shunted inductances as shown in Figure 1. The inductances being the electrical analogs to mechanical masses effectively load the nodes to which they are connected to. Such loading alters the eigenvectors of the acoustic duct and thereby enabling the spatial control of the acoustic energy flow along the metamaterial to achieve any desirable non-reciprocal characteristics.

Figure 1: The metamaterial with shaped eigenvectors using shunted piezo-networks

In Figure 2a, the metamaterial is arranged in a 1 D periodic configurations. This configuration has, in its reciprocal form, the bounds of the open-loop eigenvectors as displayed in Figure 2b. As these bounds for the original system are constant, then the system exhibits the well-known reciprocal behavior. But, as these bounds are altered and shaped as shown in Figure 2c, the wave propagation along the forward direction can be amplified to conform with the desired profiles of the eigenvectors. Alternatively, when the direction of wave propagation is reversed, then the waves propagating along the backward direction will experience attenuation as implied by the shaped profile shown in Figure 2d.

Excitation

(a) – Periodic Structure (c) - Non-reciprocal Wave Propagation – Forward

(b) - Reciprocal Wave Propagation (d) - Non-reciprocal Wave Propagation – Backward

Figure 2. A schematic drawing of a 1D periodic dynamical system 3. FINITE ELEMENT MODELING OF METAMATERIAL WITH SHAPED EIGENVECTORS and SHUNTED PIEZO-NETWORKS

In this section, a finite element model is developed, using ANSYS commercial package, to predict the characteristics of the metamaterial with different configurations of the shunted piezo- networks. The mesh of the finite element model is shown in Figure 3. In the model, the piezoelectric diaphragms are modeled using PLAN223 elements, the brass substrata are modeled using PLAN183 elements, and the fluid filling the acoustic cavities are represented by the FLUID29 elements.

Piezo (PLANE223)

Bacoard Propagation —_— ad Forward Propagation 4 ¢ 1 4 * | Celt 1 a ae Celli =| cen

Fluid (FLUID29)

Brass (PLANE183)

Figure 3. The finite element mesh of the 1D metamaterial with shunted piezo-networks The model is utilized to predict the performance for the forward and backward configurations shown in Figure 4. The cells are divided into two groups. In the first group, low inductances are used whereas in the second group, high inductances are employed in order to alter and shape the eigenvector structure of the shunted metamaterial.

Fr Gradual Stepped 5 Bosna of Bnemecions jaw = YN = TIN Input ‘Amplification Output

ial ns a |

Output + tttenuation Input

Figures 5(a) and 5(b) display the output voltage and pressure as monitored at the right end of the metamaterial duct due to input excitation at the left for both forward and backward propagations, respectively.

Excitation

High Shunted Inductance = 1 H

Low Shunted Inductance = 0.1 H

(a) – Forward propagation

Excitation

Low Shunted Inductance = 0.1 H

High Shunted Inductance = 1 H

(b) – Backward propagation

Figure 4. Forward and backward configurations

Sound Pressure

Piezo Voltage

10 3

10 0

Foward

Foward

Backward

Backward

10 2

10 -2

(a) – piezo-voltage (b) – Sound Pressure

10 1

10 -4

10 0

Magnitude

Magnitude

10 -1

10 -6

10 -2

10 -8

10 -3

0 500 1000 1500

0 500 1000 1500

Frequency - Hz

Frequency - Hz

Figure 5. The output voltage and sound pressure at the end of the duct during forward and backward propagations

It is important to note that as the forward propagation results in amplification whereas the backward propagation yields significant attenuation as is clearly manifested by the frequency responses of both the output piezo voltage or sound pressure levels. Such a feature emphasizes the effect of shaping the eigenvectors of the metamaterial on breaking the reciprocity.

Figures 6a and 6b display the pressure distributions inside the metamaterial during forward and backward propagations when the duct is excited at the first mode (265 Hz ) and the second mode ( 735Hz ) , respectively.

The amplification effect, during the forward propagation, is more evident from the pressure distribution maps particularly at the second mode and conforms with the frequency response characteristics of Figure 5.

(a) -First Mode of 265 Hz

Forward

Backward

Forward

Backward

(b) – Second Mode 735 Hz

Figure 6. The sound pressure distribution over the duct during forward and backward propagations at the first and second modes 4. EXPERIMENTAL SET-UP OF THE METAMATERIAL WITH SHUNTED PIEZO-NETWORKS

Figure 7 displays a photograph of the 5-cell metamaterial with shunted inductances. The inductances are electrically synthesized using operation amplifiers (Baz, [16]).

25 50 15 1100 1150 175 i200

Microphones

ZLib

Meta-Cells

Zeb

Inductance-Simulation Circuits

a. 13 as 22. a 32. 36

Figure 7. Photograph of the 5-Cell metamaterial with shunted inductances The experimental characteristics of the non-reciprocal metamaterial are displayed in Figures 8, 9, and 10 for three different arrangements of the inductances. In Figure 8, the low and high inductance groups are 0.1 and 1 Henrys . In Figure 9, these groups are set at 0.1 and 10 Henrys, whereas in Figure 10, the inductances are selected to be 0.1 and 100 Henrys .

Piezo 1-1

Piezo 6-2

35

80

Forward Backward

Forward Backward

70

30

60

25

50

20

40

Magnitude - abs

Magnitude - abs

15

30

10

20

5

10

0

0

0 200 400 600 800 1000

0 200 400 600 800 1000

Frequency - Hz

Frequency - Hz

(a) – Inputs (b) - Outputs

Figure 8. The sound pressure at the beginning and end of the duct during forward and backward propagations when the inductances are 0.1 H and 1 H Figure 8 indicates that for the same inputs, as shown in Figure 8(a), the output from the metamaterial shows that the forward propagation results in amplification as compared to the attenuation produced during the backward propagation.

Piezo 6-2

Piezo 1-1

35

80

Forward Backward

Forward Backward

70

30

60

25

50

20

Magnitude - abs

Magnitude - abs

40

15

30

10

20

5

10

0

0

0 200 400 600 800 1000

0 200 400 600 800 1000

Frequency - Hz

Frequency - Hz

(b) – Inputs (b) - Outputs

Figure 9. The sound pressure at the beginning and end of the duct during forward and backward propagations when the inductances are 0.1 H and 10 H

Figure 9 indicates that the extent of the magnification and attenuation increases as the low and high inductance groups become 0.1 and 10 Henrys .

Similar results are obtained when the low and high inductance groups become 0.1 and 100 Henrys as displayed in Figure 10.

Piezo 1-1

Piezo 6-2

100

35

Forward Backward

Forward Backward

90

30

80

25

70

60

20

Magnitude - abs

Magnitude - abs

50

15

40

30

10

20

5

10

0

0

0 200 400 600 800 1000

0 200 400 600 800 1000

Frequency - Hz

Frequency - Hz

(a) – Inputs (b) - Outputs

Figure 10. The sound pressure at the beginning and end of the duct during forward and backward propagations when the inductances are 0.1 H and 100 H It is important to note that obtained magnification during the forward propagation and the attenuation during the backward propagation are attributed to the shaping of the eigenvectors due to the coupling of the piezoelectric cavities with the shunted inductances.

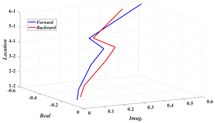
Forward $1 Backward) 84-1 § 3s 83.2 §32- 2-2 1-2 0.6 04 — 0.2

Figures 11(a) and 11(b) display the effect of the shunting on shaping of the eigenvectors for the first and second modes, respectively.

. Location bi 6 Forward —Backward| 0.3 02 Ol Imag.

(a) – First mode (b) – Second mode

Figure 11. The eigenvectors for the first and second modes of the PNMM duct during forward and backward propagations when the inductances are 0.1 H and 1 H Figure 11 indicates that the eigenvector during the forward propagation is much larger than that during the forward propagation at the output end which is corresponding to the location of the piezoelectric sensor 6-1. Such relationship results in the amplification of the wave propagation along the PNMM metamaterial. Note that the eigenvectors are complex due to the inherent damping of the metamaterial as the acoustic cavities are water-filled.

Similar characteristics are obtained for other groups of shunted inductances. 5. CONCLUSIONS

This paper has presented a class of passive nonreciprocal metamaterials ( PNMM ) which are designed to control the flow of acoustic waves along a one-dimensional periodic acoustic duct. The proposed PNMM consists of a multi-cell array of acoustic cavities which are provided with piezoelectric boundaries. These boundaries are connected to an optimally designed array of shunted inductive networks in order to spatially shape the eigenvectors of the array in such a manner that breaks the reciprocity of the acoustic duct.

A comprehensive finite element modeling and experimental validation of the characteristics and behavior of the proposed PNMM are carried out for various shunting strategies.

The obtained results indicate the effectiveness of the proposed PNMM in breaking of the non- reciprocity during forward and backward wave propagations.

A natural extension of the present work is in progress to generalize the developed approaches to 2 and 3D metamaterial arrangements. 6. REFERENCES

1. Popa B.-I. & Cummer S. A., Non-reciprocal and highly nonlinear active acoustic metamaterials”, Nature Communications , 5 , 3398, DOI: 10.1038, (2014). 2. Raval S., Petrover K., & Baz A., “Experimental characterization of a one-dimensional nonreciprocal acoustic metamaterial with anti-parallel diodes”, Journal of Applied physics , 128 , doi: 10.1063/5.0019896, 2020. 3. Fleury R., Sounas D. L., Sieck C. F., Haberman M. R., & Alù A., “Sound isolation and giant linear nonreciprocity in a compact acoustic circulator”, Science , 343 , 516-519, (2014). 4. Attarzadeh M. A., Maleki S., Crassidis J. L., & Nouh M., “Non-reciprocal wave phenomena in energy self-reliant gyric metamaterials”, The Journal of the Acoustical Society of America , 146, 789-801, DOI: 10.1121/1.5114916, (2019). 5. Raval S., Zhou H. & Baz A., “Experimental implementation of an active synthesis of a gyroscopic-nonreciprocal acoustic metamaterial”, Journal of Applied Physics, Special Topic Collection on Acoustic Metamaterials , 129 , 074501, (2021). 6. Chen Z., Peng Y., Li H., Liu J., Ding Y., Liang B., Zhu X.-F., Lu Y., Cheng J., & Alù A., “Efficient nonreciprocal mode transitions in spatiotemporally modulated acoustic metamaterials”, Sci. Adv . 7, eabj1198 (2021). 7. Riva E., Quadrelli D. E., Marconia J., Cazzulani G., & Braghin F., ”Design and experimental analysis of nonreciprocal wave propagation in a space-time modulated beam”, Proc. SPIE 11376,

Active and Passive Smart Structures and Integrated Systems XIV , Ed. J- H Han, April 2020, DOI: 10.1117/12.2558429 (2020). 8. Huang J. & Zhou X., “Non-Reciprocal metamaterials with simultaneously time-varying stiffness and mass”, Journal of Applied Mechanics , 87 , 071003, (2020). 9. Wiederhold C. P., Sounas D. L., & Alù A., “Nonreciprocal acoustic propagation and leaky-wave radiation in a waveguide with flow”, The Journal of the Acoustical Society of America , 146 , 802 (2019). 10. Baz A., “Active nonreciprocal acoustic metamaterials using a switching controller”, Journal of the Acoustical Society of America , 143 (3), DOI.org/10.1121/1.5026510 (2018). 11. Fleury R., Sounas D., Haberman M. R., & Alù A., “Nonreciprocal acoustics”, Acoustics Today , 11 (3), 14-21, (2015). 12. Nassar H., Hussein M., Yousefzadeh B., Fleury R., Ruzzene M., Alù A., Daraio C., Norris A. N., Huang G., & Haberman M. R., "Nonreciprocity in acoustic and elastic materials." Nature Reviews Materials 5 (9), 667-685, (2020). 13. Baz A., “Active nonreciprocal metamaterial using an eigen-structure assignment control strategy”, The Journal of the Acoustical Society of America , 147 (4), 2656, doi.org/10.1121/10.0001157, (2020). 14. Baz A., Breaking the Reciprocity in Acoustic Metamaterials by Active Eigen-Structure Control Strategy, J. Vib. Acoust ., 144(4): 041009. doi: https://doi.org/10.1115/1.4053587 (2022). 15. Zhou H, & Baz A., Experimental realization of an active non-reciprocal metamaterial using an eigen-structure assignment control strategy. J Acoust Soc Am ., 150(2): 1092. doi: 10.1121/10.0005874. PMID: 34470326 (2021). 16. Baz A., Active and Passive Vibration Damping , J. Wiley & Sons, Ltd, 2019.