Welcome to the new IOA website! Please reset your password to access your account.

Modeling and analysis for the deployment dynamic behavior of the

large flexible solar array Ning Li 1,2 , Xiaolong Ma 1,2 , Chongfeng Zhang* 1,2 , Fan Yang 3 , Jinglong Liu 1,2 , Huaiwu Zou 1,2 1 Shanghai Institute of Aerospace System Engineering, Shanghai, P. R. China 2 Shanghai Key Laboratory of Spacecraft Mechanism, Shanghai, P. R. China 3 Shanghai Institute of Aerospace Control Technology, Shanghai, P. R. China

ABSTRACT The large flexible solar array for the satellite will deploy when it reaches the scheduled orbit by the space rocket, which is key for the normal running of the satellite. However, undesirable and unpredicted frequency vibration may be resulted from the flexibility of elements of the solar array. In this paper, the dynamic model of the solar panel was firstly developed based on the modal synthesis method. Moreover, the stretchable mechanism in the solar array was introduced by applying Euler-Bounerlli beam theory. Also, guide ropes, hinges and electric cables were considered in the proposed model. It was found the proposed model could achieve a high accuracy of simulation. Especially, the dependence of the guide rope tension on the deployment dynamic behavior of the solar array was explored by this model. Results showed that vibrations of the solar array could be reduced by improving the guide rope tension, which could be used in design and operation of the solar array. Keywords : Large flexible solar array, dynamic behavior, modal synthesis method, guide rope tension 1. INTRODUCTION

The solar array is used to capture the solar irradiance for powering the base system. Nowadays, the large flexible solar array is a preferred choice for the aerospace applications in satellites and spacecrafts due to its large folding ratio, higher packaging and capturing efficiency compared to the traditional solar array [1]. In detail, many interlinked panels are designed to compose the solar array, which are folded to a small package in the launching process and then deployed to a completely flat surface when reaching the scheduled orbit. In fact, it is often to regarded as a successful launch mark that the solar array is deployed completely [2]. However, the flexibility of elements of the solar array could lead to undesirable vibration, which may affect the normal running of the system. Thus, it is significant to investigate the deployment dynamic behavior of the large flexible solar array.

Deployment dynamic behavior of the solar array could significantly influence the base system via affecting its motion and pose [3, 4]. Lots of research works have been done on the deployment dynamic analysis of solar arrays. Kwak et al. [5] developed a dynamic model for the space deployment of the solar arrays with strain energy hinges. Then, Birhanu et al. [6] built an ADAMS- ANSYS model to investigate the effects of flexible solar array deployment on the locking

*Corresponding author: zhcf008@139.com

worm 2022

processes. Recently, a deployment dynamic model of a flexible solar array with sizable rotation and large deformation motions was reported by Wei [7]. In their research, ADAMS-ABAQUS software was adopted to demonstrate the effectiveness and validity of the model and the effects of deployment behavior on the dynamic responses of the spacecraft were discussed. Furthermore, Li et al. [8] explored the deployment behavior of ultra-large planar deployable structures in Space Solar Power Station and developed a deployment dynamic simulation based on ADAMS software. Yang et al. [9] adopted simple spring-loaded joints to synchronize the deployment of solar and analyzed the dynamic of the array deployment based on rigid body dynamics. Based on this model, stiffness of rotational joints was selected to achieve a collision-free deployment. Moreover, Zhang et al. [10] analyzed the synchronous deployed mechanism for solar arrays with two deployable modules. However, their research focused on the material design and evaluating its performance. Interestingly, joint clearances, link flexibility and geometric errors of extendible support structure were considered by Yu et al. when predicting the pose error [11]. They developed a comprehensive kinematic model combining the structural constraints and contact conditions, which could give reference to the research on deployment of the solar array.

Although many researches have studied the deployment behavior of solar arrays. However, the deployment dynamics of large flexible solar arrays system with complex attached institutions including guide ropes, hinges and electric cables have not been illuminated. In this paper, a dynamic model of the large flexible solar array considering the guide ropes, hinges and electric cables was presented. Based on this model, the dynamic responses of the solar array system were investigated.

worm 2022

2. DYNAMIC MODEL OF THE LARGE FLEXIBLE SOLAR ARRAY

Bilateral arrangement structure is adopted for the large flexible solar array. As shown in Fig. 1, the flexible solar array is consisted of the solar panel, the stretching mechanism, the store box, guide ropes, hinges and electric cables. Following, dynamic models of main components will be introduced in detail.

Electric cables

Hinges

Solar panel

Store box

Guide ropes

Stretching mechanism

Figure 1: Structure of the large flexible solar array

2.1. Dynamic Model of The Solar Panel

In this section, the dynamic model of the solar panel is established by the modal synthesis method. Assuming a small deformation of the panel occurred during the solar deployment process, the minority modal coordinates could be denoted deformations of the flexible solar panel. Freedoms of the solar panel can be divided into interface degrees of freedom and internal degrees of freedom, which are represented as u B and u I and. Then, the freedom of the solar panel can be given as

alt

0 B B

     = =          

u I q u u Φ Φ q (1)

I IB II I

Where, Φ IB and Φ II denote the constrained mode and normal mode, respectively. q B and q I denote the constrained mode coordinate and normal mode coordinate, respectively.

The mode matrix Φ and mode coordinate q of the solar panel system can be defined as

  =    

I Φ Φ Φ (2a)

0

IB II

  =    

q q q (2b)

B

I

Then the modal mass matrix ˆ M and modal stiffness matrix ˆ K can be obtained as

ˆ 0 ˆ

  = =      

K K Φ KΦ

BB T

(3a)

ˆ 0

K

II

ˆ ˆ ˆ

  = =      

M M M Φ MΦ

BB BI T

(3b)

ˆ ˆ

T BI II

M M

The low frequency part of mode coordinate q can be expressed as

ˆ ˆ ˆ

  =      

M M M

BB BI T BI II

(4)

ˆ ˆ

M M

In fact, the low frequency part of mode coordinate can be adopted to simplify Eq. (1), which can be given by

 = u Φ q (5) The reduction mode matrix Φ’ and the low frequency part q’ of the solar panel system can be defined as

  =    

I Φ Φ Φ (6a)

0 ' ' IB II

  =     

q q q (6b)

' B

I

Similar to Eq. (3) and Eq. (4), the corresponding reduction modal mass matrix ˆ ' M and reduction modal stiffness matrix ˆ ' K of the solar panel system can be obtained as

ˆ 0 ˆ

     = =       

K K Φ KΦ

BB T

(7a)

ˆ 0

K

II

ˆ ˆ ˆ

      = =        

M M M Φ MΦ

BB BI T

(7b)

ˆ ˆ

T BI II

M M

6 rigid modals and deformation modals can be obtained by solving the generalized eigenvalue problem of ˆ ' M and ˆ ' K . In fact, a rigid body motion in the floating coordinate system can be adopted to replace the six rigid modals. Moreover, the high frequency mode could be removed in order to reduce the degree of freedom. Thus, the dynamic model of the solar panel can be built and computed based on Eq. (7).

worm 2022

2.2. Dynamic Model of The Stretching Mechanism

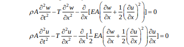
According to the finite element model of the stretching mechanism in the solar deployment process, a Euler-Bounerlli beam model can be applied to analyze the dynamic behavior of the stretching mechanism. By employing the Hamilton’s principle, the typical governing equations for the stretching mechanism can be given by [12]

where w ( x , t ) and u ( x , t ) are longitudinal and transverse displacement respectively at axial coordinate x and time t . The parameters of ρ , E, T and A are density, Young’s modulus, pre-tension and the cross-section area for the stretching mechanism, respectively. Besides, based on the Wavelet-Galerkin method in Ref. [12], Equation (1) can be solved.

The stretching mechanism plays a key role in the solar deployment process. In the model, the upper end of the flexible beam is fixed with the upper plate of the store box. And the other end of the flexible beam is fixed with a rigid body, which is connected with the solar array base by a translational joint. Thus, the flexible beam can move with the store box, which leads to the solar deployment.

2.3. Dynamic Model of The Electric Cables

worm 2022

The electric cables are installed between battery array on the panels, which is shown in Fig. 2. Folding moments can be provided by the electric cables in the movement of the solar array, which can ensure the sequential folding. In the model, a rotating join and torsion spring torque are applied between adjacent panel. It should be noted that the torsion spring torque is 0 when the solar array is folded and then provides the pre-torque when the solar array is fully expanded.

Figure 2: Schematic diagram of the electric cables 3. RESULTS AND DISCUSSION

3.1. Dynamic Behavior Analysis for The Large Flexible Solar Array

Based on the parameters given by Table 1 and by employing the modal synthesis method, dynamic model built in section 2 can be computed.

Table 1: The values of the pa rameters

Stiffness coefficient of electric cables 0.12 N·m/rad

Pre-torque of electric cables 0.4 N·m

deployment velocity 83.3 mm/s

Young’s modulus of the stretching mechanism 7.04×104 Pa

cross-section area of the stretching mechanism 316 mm 2

pre-tension of guide ropes 5 N

worm 2022

A typical deployment process of the large flexible solar array is shown in Fig. 3. It can be found deployment process of the large flexible solar array is well simulated. In fact, the folded process of the solar array shows a good agreement with practical project. Thus, the dynamic model and modal synthesis method proposed in this paper is valid to explore the dynamic behavior of the large flexible solar array.

(a) Folded state I

(b) Folded state II

(c) Folded state III

(d) Folded state IV

(e) Folded state V

(f) Folded state VI Figure 3: A typical deployment process of the large flexible solar array In order to analyze vibrations of different regions in the solar array, specific marked panels are selected and measured, which represent the 10 th , 20 th , 30 th and 40 th marked panels as shown in Fig.4.

Figure 4: Marked panels in the solar array In this paper, the dynamic model based on the absolute nodal coordinate method [13] are adopted here to compare with the proposed method dynamic model based on the modal synthesis method. In fact, elastic deformations of the flexible solar panel will be caused in the deployment process, which could result to vibrations of the solar array. Vibrations of centroids in marked panels for both models are depicted in Fig. 5. It can be seen both vibration amplitude and waveform for different marked panels are comparable. Namely, the proposed model could achieve a high accuracy compared to the traditional model based on the absolute nodal coordinate method. Also, vibrations are basically remained positive or negative, which means the flexible solar panels are always in a deformed state on one side.

(a)

(b)

Net Sybese Metin Aes Nol Coote Meo 100 150 Tames 200

Displacemenvimm Net Sybese Metin Sess Natl Coordinate Met 100 150 Tames 200

worm 2022

(c)

(d) Figure 5: Vibrations of centroids for marked panels (a) 10 th marked panel (b) 20 th marked panel (c)

30 th marked panel (d) 40 th marked panel

Net Sybese Metin Aes Nol Coote Meo 100 150 200 Tames

3.2. The Effects of Guide Rope Pre-Tension

The guide rope plays an important role for the successful deployment of the solar array. And the pre-tension of the guide rope could affect the stiffness and fundamental frequency of the solar array. In this paper, 0N, 5N and 10N are selected to study the effect of guide rope pre-tension on the deployment dynamic behavior. Vibrations of centroids in marked panels for the proposed dynamic model are shown in Fig. 6. It can be seen the vibration is heavy when there is no pre- tension for the guide rope. With the increase of pre-tension, the amplitude decreases while the frequency increases due to the increase of the stiffness of the solar array resulted from the higher pre-tension.

Net Sybese Metin os Aes Nol Coote Meo 0 0 100 150 200 Tames

(a)

(b)

Displacemenvimm £23 150. z 0 Pretension oN SPretension Present JON

FeO —Preserion SN 100 ° Displacemenvimm 8

worm 2022

(d) Figure 6: Vibrations of centroids for marked panels under different pre-tension (a) 5 th marked panel

(c)

(b) 15 th marked panel (c) 25 th marked panel (d) 35 th marked panel 4. CONCLUSIONS

In this paper, a dynamic model of the large flexible solar array was built based on the modal synthesis method. Especially, the complex attached institutions including the stretching mechanism, guide ropes, hinges and electric cables have been considered in this model. Then the dynamic behavior in the folded process of the solar array was analyzed. Besides, the effects of guide rope pre-tension on the deployment dynamic behavior were investigated. Based upon these results, conclusions can be obtained:

(1) The proposed dynamic model is valid to study the deployment dynamic behavior of the large flexible solar array and can achieve a high accuracy compared to the traditional model based on the absolute nodal coordinate method.

(2) For the proposed dynamic model of the large flexible solar array in this paper, with the increase of pre-tension, the amplitude can decrease while the frequency will increase in the folded process.

The research in this paper could present a wide range of possibilities for the further development and application of flexible solar arrays. 5. ACKNOWLEDGEMENTS

Displacemenvimm SFresenion oN Fresenion Pretest ON

This research was supported by the National Natural Science Foundation of China with Grant No. U21B6002. 6. REFERENCES

1. Guo, S., Li, H. & Cai, G. Deployment dynamics of a large-scale flexible solar array system on

the ground. Journal of the Astronautical Sciences, 66(3) , 225–246 (2019). 2. Li, H., Liu, X., Guo, S. & Cai, G. Deployment dynamics of large-scale flexible solar arrays with

deployable mast. International Journal of Aeronautical and Space Sciences, 18(2) , 245–254 (2017). 3. Bai, Z. & Y. Zhao. Attitude motion of spacecraft during oblique solar panel deployment.

Aircraft Engineering and Aerospace Technology, 84(2) , 109–114 (2012). 4. Kote, A., Balaji, K., Nataraju, B. & Aralimatti, V. C. Effect of solar array deployment on

spacecraft attitude. Journal of Spacecraft Technology, 17(2) , 1–8 (2007).

g = Displacementimm. gs 200) a Present 300 0 0 100 150 200 Tames

5. Kwak, M. K., Heo, S. & Kim, H. B. Dynamics of satellite with deployable rigid solar arrays.

Multibody System Dynamics, 20(3) , 271–286 (2008). 6. Birhanu, F., Chen, Z. & Ma, W. Modeling and simulation of satellite solar panel deployment

and locking. Information Technology Journal, 9(3) , 600–604 (2010). 7. Zhang, W., Zhu, W. & Zhang, S. Deployment dynamics for a flexible solar array composed of

composite-laminated plates. Journal of Aerospace Engineering, 33(6) , 04020071 (2020). 8. Li, Y., Wei, J. & Dai, L. Structural design and dynamic analysis of new ultra-large planar

deployable antennas in space with locking systems. Aerospace Science and Technology, 106 , 100682 (2020). 9. Yang, J., Zhang, Y., Chatzis, M. N. & You, Z. Folding and deploying identical thick panels

with spring-loaded hinges. Extreme Mechanics Letters, 52 , 101637 (2022). 10. Zhang, D., Liu, L., Lan, X., Leng, J. & Liu, Y. Synchronous deployed design concept triggered

by carbon fibre reinforced shape memory polymer composites. Composite Structures, 290 , 115513 (2022). 11. Yu, D., Zhao, Q., Guo, J., Chen, F. & Hong, J. Accuracy analysis of spatial overconstrained

extendible support structures considering geometric errors, joint clearances and link flexibility. Aerospace Science and Technology, 119 , 107098 (2021). 12. Ma, X., Wu, B., Zhang, J. & Shi, X. A new numerical scheme with Wavelet–Galerkin followed

by spectral deferred correction for solving string vibration problems. Mechanism and Machine Theory, 142 , 103623 (2019). 13. Zhao, J., Tian, Q. & Hu, H. Deployment dynamics of a simplified spinning IKAROS solar sail

via absolute coordinate based method. Acta Mechanica Sinica/Lixue Xuebao, 29(1) , 132-142 (2013).

worm 2022