Welcome to the new IOA website! Please reset your password to access your account.

Prediction of combustion noise for a swirling flame with low-order network model Hongzhi Zhu 1 Department of Energy and Power Engineering, Tsinghua University 30 Shuangqing Road, Haidian District, Beijing, 100084 Min Zhu 2* Department of Energy and Power Engineering, Tsinghua University 30 Shuangqing Road, Haidian District, Beijing, 100084

ABSTRACT Combustion noise has become an important part of gas turbine and aero-engine noise. Efforts are needed to understand the mechanisms of combustion noise and to develop prediction methods. In this paper, the direct combustion noise of a swirling flame is predicted by a low-order model and com- pared with experiments. In the low-order model, the model combustor is simplified to the plenum, swirler and combustion chamber. A thermoacoustic transfer function defined by the ratio of pressure disturbance to unsteady heat release is calculated to describe noise spectral distribution. The results show that the peak value of the thermoacoustic transfer function increases with the magnitude of the downstream reflection coefficient, while the corresponding frequency remains unchanged. The phase of downstream reflection coefficient affects both the peak frequency and amplitude. In the experi- ments, the combustion noise spectrum exhibits peaks associated with thermoacoustic modes. The en- ergy distribution between different modes varies with the air mass flow. The thermoacoustic transfer function calculated by the low-order model is basically consistent with the experimental thermo- acoustic transfer function. The results prove that the thermoacoustic transfer function provides a fundamental understanding of the noise due to heat release and effectively predicts combustion noise. 1. INTRODUCTION

Noise emissions from power and propulsion equipment have become a major concern over the past few decades. For aircraft engines, combustion is the third largest noise source after jet and fan noise [1]. For gas turbines, lean premixed combustion technology can reduce pollutant emissions [2]. However, lean flames are more sensitive to disturbances, which can lead to stronger combustion noise [3]. Broadband combustion noise threatens system operation safety and human health. Efforts are needed to understand the mechanisms of combustion noise and develop prediction methods.

The description framework of turbulent noise is the acoustic analogy theory proposed by Lighthill [4]. Chiu [5] introduced chemical reactions into the acoustic analogy equation and found that com- bustion noise is dominant by low-frequency components. Dowling [6] derived a general inhomoge- neous wave equation to describe combustion noise sources. Of these noise sources, the time deriva- tive of the heat release rate is the most important one if assumed that (1) the combustion reaction is equimolar; (2) the diffusion and dissipation are negligible; (3) the Mach number is low [7-8]. 1 zhz18@mails.tsinghua.edu.cn

2 zhumin@mail.tsinghua.edu.cn

i, orn inter.noise 21-24 AUGUST SCOTTISH EVENT CAMPUS ? O? ? GLASGOW

Different methods have been developed to predict combustion noise. Considering the different length scales of turbulent combustion and acoustic waves, a hybrid approach combining computa- tional fluid dynamics (CFD) and computational aero acoustics (CAA) has been used. Sources in the flame region are calculated by Reynolds-Averaged Navier-Stokes Equations (RANS) [9] or Large Eddy Simulation (LES) [7, 9] and then introduced into the wave equation to solve for the sound field. CFD/CAA methods can investigate the effects of different sources, but the calculations are still time- consuming. If the heat release rate is the only source to consider, the far-field acoustic power can be related to the correlation spectrum of the heat release rate [10]. Hirsch [11] improved the spectral model, and Liu [12] applied the spectral model to predict the combustion noise of aero-engines. For flames in confined spaces, the low-order model (LOM) is another effective method to study the rela- tionship between heat release rates and acoustic waves [13]. Combined with sound sources obtained from spectral models [12] or LES [14], the LOM is sufficiently accurate to predict the combustion noise spectrum compared to CFD/CAA methods. In addition, LOM has the advantages of clear phys- ical meaning and low computational cost.

In this paper, LOM is used to predict combustion noise spectrum of a swirling premixed flame. Reasonable agreement is obtained between the experimental measurements and the LOM method. In the remainder of this paper, Section 2 presents the experiment test rig and Section 3 presents the LOM method. Results from LOM and experiments are analyzed in section 4. Section 5 gives the conclusion. 2. EXPERIMENTAL TEST RIG

A schematic diagram of the combustion test rig used in this study is shown in Figure 1. The model combustor includes an air plenum, a swirler and a combustion chamber. Natural gas is injected through small holes in the swirler vanes. The mixing time under design conditions is approximately 4.3 ms. The swirl number is 0.623. The dynamic pressure signals are measured by PCB type 112A22 microphones with a sensitivity of 0.0145 mV/Pa. The heat release rate is obtained by measuring the global OH* chemiluminescence intensity using a spectrometer equipped with a Zolix PMTH-S1- CR131 photomultiplier tube (PMT). The wavelength of the PMT is set to 308 nm in experiments. All signals are simultaneously recorded by a NI PCI 6123 data acquisition card.

i, orn inter.noise 21-24 AUGUST SCOTTISH EVENT CAMPUS ? O? ? GLASGOW

Figure 1: A schematic diagram of combustion test rig.

3. LOW ORDER NETWORK MODEL

In this section, LOM is used to calculate combustion noise. As shown in Figure 2, the combustion system is simplified into several parts, including three ducts with different area, area changes, a flame and boundary conditions. The detailed parameters of the ducts are summarized in Table 1.

Swirler Microphones oh [aie = \ mo : PMT es See — LJ Signal Collector PC

Figure 2 A schematic diagram of low-order model. Abbreviations: in-inlet; ad-area decrease; ai-area increase; fu-flame upstream; fd-flame downstream; out-outlet; cc-combustion chamber.

Table 1 Network model parameters Duct name Length (m) Cross section area ( 𝐦 𝟐 ) Plenum 0.341 π/4 ∗0.11 ଶ

Swirler 0.223 π/4 ∗(0.032 ଶ −0.008 ଶ ) Combustion chamber 0.838 π/4 ∗0.12 ଶ

Assuming that acoustic waves are one dimensional, pressure, velocity and density perturbation could be expressed as

i, orn inter.noise 21-24 AUGUST SCOTTISH EVENT CAMPUS ? O? ? GLASGOW

𝑝, 𝑢, 𝜌, 𝑐 denotes pressure, velocity, density and sound speed, respectively. () ഥ denotes mean values and () ෡ denotes perturbation values. Riemann invariants, 𝑓 and 𝑔 , are acoustic waves propagating downstream and upstream. 𝑒= 𝜌̅𝑐̅ ଶ /𝑐 ୮ 𝑠̂ is the entropy wave. 𝑐 ୮ is the specific heat capacity at con- stant pressure. 𝑠̂ is entropy perturbation. Transfer matrix 𝑇 defined by W ୢ = 𝑇W ୳ is used to link wave vectors between upstream and downstream. Subscript u and d represent the upstream and down- stream position, respectively.

For ducts with constant area, transfer matrix could be described as

where ω = 2π𝑓 is annular frequency and 𝑙 is the duct length. Replacing 𝑙 with 𝑙 ୮ , 𝑙 ୱ or 𝑙 ୡୡ , transfer matrices of the three ducts could be obtained. The subscript p, s, and cc denotes the plenum, swirler and combustion chamber.

For regions of area increase, linearized mass, momentum and energy conservation equations are expressed as

where 𝑚ෝ= (𝜌̅𝑢ො+ 𝜌ො𝑢ത)𝐴 , 𝐻 ෡ = ൫𝑐 ୮ 𝑇 ෠ + 𝑢ത𝑢ො൯𝑚ഥ+ (𝑐 ୮ 𝑇 ത + 0.5𝑢ത ଶ )𝑚ෝ . 𝐴 is the cross sectional area. Com- bining Equation 1 with Equation 3, area increasing can be characterized by

ad ai(fu) out : iifd : flame Plenum Swirler lee Combustion chamber

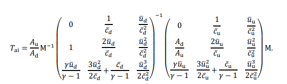
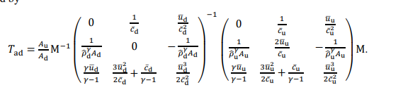
For regions of area decrease, isentropic relation in Equation 5 is used to replace Equation 3.2.

where γ is ratio of specific heat. Combining Equation 3.1, 3.3 and 5, area decreasing can be charac- terized by

For the region of combustion, flame is assumed to be compact. Energy conservation equation is written as

𝐻 ෡ ୢ = 𝐻 ෡ ୳ + 𝑄 ෠ . (7)

𝑄 ෠ denotes total heat releases. Combining Equation 3.1, 3.3 and 7, the flame can be characterized as

𝑇 ୤ୢ W ୢ = 𝑇 ୤୳ W ୳ + 𝑆 , (8)

where

For inlet and outlet locations, acoustic reflection is described by reflection coefficients. Reflections from entropy waves to acoustic waves are not considered. The inlet position is a rigid wall, so inlet reflection coefficient 𝑟 ୧୬ defined by 𝑓 ୧୬ /𝑔 ୧୬ is set to 1. Outlet reflection coefficient 𝑟 ୭୳୲ defined by 𝑔 ୭୳୲ /𝑓 ୭୳୲ is more important for the acoustic waves in the combustion chamber, the influence of which is investigated in Section 4.1.

Now we use all the transfer matrices above to link wave vectors at inlet, outlet and flame down- stream. The governing equations of the whole system can be written as

If the heat release spectrum is given, the wave vector can be calculated by solving Equation 10 fre- quency by frequency. Then combustion noise spectrum could also be obtained. Thermoacoustic trans- fer function (TF TA ) is defined as Equation 12 to describe noise spectrum distribution.

i, orn inter.noise 21-24 AUGUST SCOTTISH EVENT CAMPUS ? O? ? GLASGOW

thermoacoustic transfer function, TF TA = 𝑝̂/𝑄 ෠ , (12)

where 𝑝̂ is the pressure perturbation at a specific location. TF TA describes the noise emission caused by unit unsteady heat release. Accurate heat release spectrum may be difficult to obtain from experi- mental or numerical methods. Investigation of TF TA in the LOM can provide initial information on the noise spectral distribution. If we can obtain actual heat release spectrum, the combustion noise could be predicted by multiplying the TF TA and the heat release spectrum. 4. RESULTS AND DISCUSSION

4.1. Thermoacoustic Transfer Function Calculated by Low Order Model

In the LOM calculation, the pressure perturbation at the flame downstream (denoted by subscript fd) is chosen to calculate TF TA . The inlet pressure is set at 101325 Pa and the temperature at 300 K. The temperature of burned gas is calculated by the Gri-Mech 3.0 mechanism. When equivalence ratio 𝜙 is 0.85, the temperature of burned gas is 2066 K. The heat release rate 𝑄 ෠ is set to a constant value for all frequencies.

The reflections at the inlet and outlet are not considered at first, i.e. 𝑟 ୧୬ = 𝑟 ୭୳୲ = 0 . The result is shown in Figure 3. TF TA exhibits periodic changes as the frequency increases. For the case of Ma ୧୬ = 0 , the period, 794 Hz ≈𝑐/2𝑙 ୱ , corresponds to the 1/2 wavelength mode of the swirler duct. Ma ୧୬ is the Mach number at the inlet. The no-reflection condition means that acoustic waves can propagate in two directions only in the swirler duct, resulting in the periodic changes. As the inlet Mach number increases, the period of the TF TA decreases to 734 Hz at Ma ୧୬ = 0.02 and to 452 Hz at Ma ୧୬ = 0.04 , which also corresponds to the 1/2 wavelength mode, i.e. 𝑐(1 −Ma ୱ

ଶ )/2𝑙 ୱ . Ma ୱ is the Mach number in the swirler duct.

ta / Qh |, Pa — > 0. 032 003

Figure 3 Thermoacoustic transfer function with different inlet Mach number. 𝑟 ୧୬ = 𝑟 ୭୳୲ = 0 . Then the effect of the outlet reflection coefficient 𝑟 ୭୳୲ = |𝑟 ୭୳୲ |𝑒 ି௜ఛ is analyzed by changing its gain and phase respectively. 𝜏 remains zero as |𝑟 ୭୳୲ | varies, and |𝑟 ୭୳୲ | remains unity as 𝜏 varies. TF TA is still periodic and only curves in one period are shown in Figure 4. The presence of reflection waves

© Main = 0.04) 1000 2000 3000 Frequency,Hz

i, orn inter.noise 21-24 AUGUST SCOTTISH EVENT CAMPUS ? O? ? GLASGOW

significantly enhances noise emission. As |𝑟 ୭୳୲ | increases, TF TA has a main peak at 637 Hz, which is independent of |𝑟 ୭୳୲ | . The peak frequency corresponds to the system acoustic mode, and the ampli- tude increases with |𝑟 ୭୳୲ | . If we keep |𝑟 ୭୳୲ | constant and reduce the phase delay 𝜏 , as shown in Figure 4(b), the peaks in TF TA will shift to higher frequencies and have smaller amplitudes. More peaks appear when there is suitable phase advance in the reflection process.

-s/J ; 1.5

(a) (b) Figure 4 Thermoacoustic transfer function with different (a) |𝑟 ୭୳୲ | and (b) 𝜏 . 𝑟 ୧୬ = 1 .

ra /QI, Pa So n —

4.2. Combustion Noise Experiments

The combustion noise experiments are carried out at atmospheric pressure and room temperature. A V-shape flame is attached at the swirler exit. Combustion noise is measured by a microphone lo- cated 0.337 m downstream of the flame and expressed as sound pressure level (SPL). SPL is defined by 20 log ଵ଴ 𝑝̂ ୰୫ୱ /𝑝̂ ୰ୣ୤ , where 𝑝̂ ୰ୣ୤ = 2 × 10 ିହ Pa . In Figure 5(a), the combustion noise for different equivalence ratios is presented. Compared to cold flow, the combustion process significantly in- creases noise emissions, especially at low frequencies. In the range of 10-300 Hz, the increasement is at least 20 dB. For frequencies above 1500 Hz, no obvious differences could be distinguished in the SPL spectrum. As 𝜙 decreases, the SPL spectrum mainly increases at frequencies below 100 Hz. This phenomenon is related to two factors. More vigorous flame motion with smaller 𝜙 will enhance noise emissions. At the same time, the thermal power will decrease proportionally with 𝜙 , which will reduce noise emissions. Combing these two opposing factors, the results in Figure 5(a) indicate that noise enhancement is primarily. For the SPL spectrum of the cold flow, the first peak frequency (460 Hz) corresponds to the first-order mode of the combustion chamber. However, the main peak in the SPL spectrum of the combustion noise is 1055 Hz-1094 Hz when 𝜙 changes from 0.80 to 1.00, which is the second-order mode. In Figure 5(b), 𝜙 is kept at 0.85 and the air mass flow 𝑚̇ ୟ୧୰ increases from 30 g/s to 60 g/s. As 𝑚̇ ୟ୧୰ increases, the flame structure does not change significantly while the SPL spectrum becomes larger almost at all frequencies. This change can be explained as: (1) the increase of 𝑚̇ ୟ୧୰ brings more flow noise; (2) the higher thermal power produces more combustion noise. The main peak in the SPL spectrum is also a second-order mode (1042 Hz-1084Hz). As 𝑚̇ ୟ୧୰ increases, the peak corresponding to the first-order mode gradually appears (530 Hz for 𝑚̇ ୟ୧୰ = 60 g/s ). The results in Figure 5 indicate that the presence of flame plays an important role in the distribution of noise energy between different modes, and the energy distribution varies with 𝑚̇ ୟ୧୰ . Furthermore, 530 Hz is also the oscillation frequency of limit cycle when thermoacoustic instability occurs. The change of energy distribution may imply the link between combustion noise and thermoacoustic instability.

| 600 700 800 900 1000 Frequency,Hz

-s/J 1.5

See 0) n 600 700 800 900 1000 Frequency,Hz

i, orn inter.noise 21-24 AUGUST SCOTTISH EVENT CAMPUS ? O? ? GLASGOW

(a) (b) Figure 5 (a) Combustion noise spectrum with different 𝜙 and cold flow noise spectrum. 𝑚̇ ୟ୧୰ = 46 g/s . (b) Combustion noise spectrum with different 𝑚̇ ୟ୧୰ . 𝜙= 0.85 .

| — cold flow 60 : 10! 107 10° Frequency, Hz

Then TF TA obtained from experiments and LOM are compared in Figure 6. The experimental TF TA is calculated by the ratio of dynamic pressure 𝑝̂ ୫୧ୡ and the OH* intensity 𝐼 መ . In LOM, the pressure perturbation of the microphone position is used. 𝑟 ୭୳୲ is set to 1 ⋅exp(−i ∗0.15π) . The total heat re- lease is proportional to the OH* intensity, so the trends of TF TA obtained by experiments and LOM are comparable, but the amplitudes are incomparable. In experiments, TF TA has a main peak at the second-order mode (1064 Hz), which is also predicted by LOM. The amplitudes of other modes are small. TF TA shows high amplitudes at low frequencies (0-400 Hz). The prediction results underesti- mate the noise emission at low frequencies. Overall, the trends and peaks of TF TA in Figure 6 are reasonable consistent. The difference mainly comes from (1) the energy distribution mechanism be- tween different modes is not clear; (2) the energy dissipation at high frequencies is not considered.

140 M 120

SPL, d 100 ||\—mair = 30 g/s — Mair = 46 g/s —Mair = 60g/s 80 : 10! 10° 10° Frequency, Hz

Figure 6 Thermoacoustic transfer functions obatined by experiments and LOM method. 5. CONCLUSION

— Exp —LOM JM

The direct combustion noise of a swirling flame is predicted by a low-order model (LOM) and compared with experiments. The thermoacoustic transfer function (TF TA ) is defined to represent the noise emission due to unit heat release rate. TF TA obtained by the LOM is in reasonably agreement with the experimental results.

In the LOM method, TF TA changes periodically with frequency. The period corresponds to acous- tic modes of the swirler if reflections are not considered. The presence of reflections at the inlet and outlet significantly enhances noise emissions. The peak amplitude of the TF TA increases with the outlet reflection coefficient amplitude, while the peak frequency remains unchanged. If the phase

a N =) a‘ VL AL

1000 2000 3000 Frequency,Hz

delay during reflection is reduced, the peak of the TF TA will shift to higher frequencies and have smaller amplitudes. In the experiments, combustion noise exhibits higher amplitudes at low and mid frequencies. Decreasing the equivalence ratio will enhance the SPL in low frequencies (< 100 Hz), while the SPL spectrum becomes larger at almost all frequencies with increasing air mass flow. The energy distribution between different modes changes under different conditions. The TF TA calculated by the LOM method is compared with the experiments. The acoustic modes in the SPL spectrum can be predicted, but energy distribution between different modes and the higher amplitude at low fre- quencies are still not perfectly match. ACKNOWLEDGEMENTS

This work is funded by the National Science and Technology Major Project (J2019-III-0020- 0064). REFERENCES

1. Dowling, A. P. & Mahmoudi, Y. Combustion noise. Proceedings of the Combustion Institute, 35 ,

65-100 (2015). 2. Huang, Y. & Yang, V. Dynamics and stability of lean-premixed swirl-stabilized combustion.

Progress in energy and combustion science , 35 , 293-364 (2009). 3. Ihme, M. Combustion and Engine-Core Noise. Annual Review of Fluid Mechanics , 49 , 277-310

(2017). 4. Lighthill, M. J. On sound generated aerodynamically. ii. turbulence as a source of sound. Pro-

ceedings of the Royal Society of London, Series A (Mathematical and Physical Sciences) , 222 , 1- 32 (1954). 5. Chiu, H. H. & Summerfield, M. Theory of combustion noise. Acta Astronautica , 1 , 967-984

(1974). 6. Crighton, D. G., Dowling, A. P. & Williams. J. E. F. Modern methods in analytical acoustics,

Springer, 1992. 7. Flemming, F., Sadiki, A. & Janicka, J. Investigation of combustion noise using a LES/CAA hy-

brid approach. Proceedings of the Combustion Institute , 31(2) , 3189-3196 (2007). 8. Ihme, M., Pitsch, H. & Bodony, D. Radiation of noise in turbulent non-premixed flames. Pro-

ceedings of the Combustion Institute , 32(1) , 1545-1553 (2009). 9. Ullrich, W. C., Hirsch, C., & Sattelmayer, T. Combustion noise prediction using linearized na-

vier–stokes equations and large-eddy simulation sources. Journal of Propulsion and Power , 34(1) , 198-212 (2018). 10. Swaminathan, N., Balachandran, R. & Xu, G. On the correlation of heat release rate in turbulent

premixed flames. Proceedings of the Combustion Institute , 33 , 1533-1541 (2011). 11. Hirsch, C., Wasle, J. & Winkler, A. A spectral model for the sound pressure from turbulent pre-

mixed combustion. Proceedings of the Combustion Institute , 31 , 1435-1441 (2007). 12. Liu, Y., Dowling, A. P., & Swaminathan, N. Prediction of combustion noise for an aeroengine

combustor. Journal of Propulsion and Power , 30(1) , 114-122 (2014). 13. Silva, C. F., Merk, M., Komarek, T. & Polifke, W. The contribution of intrinsic thermoacoustic

feedback to combustion noise and resonances of a confined turbulent premixed flame. Combus- tion and Flame, 182 , 269-278 (2017). 14. Ullrich, W. C., Mahmoudi, Y. & Lackhove, K. Prediction of combustion noise in a model com-

bustor using a network model and a LNSE approach. Journal of Engineering for Gas Turbines and Power , 140(4) , 041501.1-041501.10 (2018).

i, orn inter.noise 21-24 AUGUST SCOTTISH EVENT CAMPUS ? O? ? GLASGOW