Welcome to the new IOA website! Please reset your password to access your account.

Effect of the microstructure on the acoustic performance of porous material liner in the duct Xiang Song 1 , Jingjian Xu 1 , Tianyue Yuan 1 , Dan Sui 1 , Heye Xiao 2 , Jie Zhou 1, * 1 School of Aeronautics, Northwestern Polytechnical University Xi’an 710072, China 2 Unmanned System Research Institute, Northwestern Polytechnical University, Xi’an 710072, China

ABSTRACT Acoustic liners can efficiently reduce the sound pressure level in the duct. The porous material liner has recently received wide attention due to the excellent attenuation performance at mid- to high- frequencies. However, more attention was paid to the sound attenuation of the given porous material liner in the duct rather than the design of the porous material liner for a duct noise problem. In this work, from a micro perspective, the influences of the average fiber radius and gap of the porous material liner on the acoustic field in a duct are systematically analyzed, based on the bottom-up method and the Johnson-Champoux-Allard model. The multimodal method is utilized to evaluate the duct acoustic field. The work may guide the selection and design of the porous material during the application of the porous material in the duct noise problem.

1. INTRODUCTION

Aircraft engines are the major source of the aerodynamic noise radiated from the airplane. Acous- tic liner is widely used to suppress the fan noise generated by the engines, which is a convenient and efficient passive treatment for noise reduction [1,2]. Among the acoustic liners, the porous material liner attracted wide attention for its lightness, high-temperature tolerance, and excellent acoustic per- formance. The open-cell foam metal liners were firstly proposed and tested on a low-speed fan by Sutiff, with the potential to reduce noise by 4 dB [3]. Then, it is found that the over-the-rotor metal foam liner can achieve 4-5 dB broadband attenuation, according to the far-field acoustic levels meas- urement conducted on the FJ44-3A turbofan engine [4]. Considering the potential of the porous ma- terial liner for noise reduction, several theories have been proposed for the evaluation of the sound attenuation of the porous material liner [5–8]. However, less attention was paid to the design of the porous material liner for a duct noise problem than studies on the given porous material liner in the duct.

In the previous studies, the effect of the microstructure was focused on the sound absorption of the porous material, in which the sound wave is incident normally at the surface of the infinite porous material, and the effect of mean flow is neglected. Compared with the in-depth and extensive studies on the sound absorption of the porous material, the effect of porous material liner on the acoustic performance of ducts needs to be studied more, especially from a micro perspective. Othmani et al. [9] performed the evaluation of the effect of the porous material liner on the acoustic power attenua- tion of an axisymmetric lined duct, but the evaluation was conducted by varying each macroscopic

* Corresponding author. E-mail addresses: jiezhou@nwpu.edu.cn

worm 2022

parameter individually and ignoring the mean flow. Jiang [10] investigated the effect of flow resis- tivity on the transmission loss of a porous lined duct. However, in reality, macroscopic parameters, including the flow resistivity, change together when the microstructure of porous material changes. Therefore, in this paper, the effect of the microstructure on the sound attenuation of the duct with the porous material liner is studied based on the bottom-up method [11–14]. For modeling the propaga- tion of sound propagation in the duct with a finite porous material liner, a finite-difference ghost point approach in the multimodal method is developed. The optimization problem maximizing the sound attenuation of duct systems is presented and solved for the design or manufacture of the porous ma- terial liner. 2. NUMERICAL METHOD

2.1. Governing Equations

The sound propagation in a rectangular duct with an acoustic liner under the uniform mean flow is considered in this section, as shown in Figure 1. The duct consists of zone I, zone II, and zone III, and the acoustic liner is flush-mounted on the top of zone II. The acoustic field is governed by the Linearized Euler equations (LEE) in the dimensionless form:

+ = , p M u t x x      −       

(1)

+ = , p M v t x y      −       

(2)

= + , u v M p t x x y         + −            

(3)

where M is the Mach number of the mean flow, p is the pressure perturbation, and u and v are the velocity perturbation components in ( x , y ) directions, respectively. Applying ( ) / / t M x +  to the

Eq. (3) and subtracting the partial derivative of the Eq. (1) with respect to x and the partial derivative of the Eq. (2) with respect to y , the following equation can be obtained:

2 2 2 2 2 2 2 2 2 2 2 0. p p p p p M M t y x x t x      − − + + =      (4)

Under the assumption of harmonic time dependence for the fluctuating quantities, the fluctuating quantities are represented as:

( )exp( i )exp(i ), ( )exp( i )exp(i ), p P y kx t q Q y kx t   = − = − (5)

where the quantity k is the dimensionless wavenumber,  is the angular frequency, and i / q p x =   . The Eq. (4) can be transformed into the frequency domain:

2 2 2 2

2 d ( ) 1 ( ) 2 ( ) ( ) 0. d

P y M k P y MkP y P y y     − + − − =   (6)

Eq. (6) is discredited by N equally spaced points in the y -direction. The non-dimensional distance between two neighboring points is 1/ h N = , and the first and last points are / 2 h  away from the hard wall or acoustic liner, as shown in Figure 1. The second-order central finite difference method is utilized to represent the second-order partial derivative of pressure with respect to y . The following generalized eigenvalue problem can be given:

worm 2022

2 0 2 = , 0 0 M M k       − − +                    

2 2

Q Q I I D P P I I

(7)

D 2 is the matrix for the second-order differential operator with respect to y , and I is the identity matrix .

worm 2022

Figure 1: Sketch of a rectangular duct with an acoustic liner.

2.2. Mode Matching

After solving the generalized eigenvalue problem Eq. (7), the acoustic perturbation quantities can be expressed as a sum of the harmonic modes:

2

N

j

( )

=

exp( i )exp(i ),

,

k x

x t A

t

q Q

, , 1

j j n j n n

n

=

(8)

2

N

j

( )

=

exp( i )exp(i ),

,

k

x t A

x t

p P

, , 1

j j n n j n

n

=

where j is the index of the zones, n is the index of the modes, n k is the wavenumber of the n th mode

in the x -direction, , j n A is the coefficient of the n th mode, and , j n Q and , j n P are eigenvectors corre-

sponding to the n th mode in the zone j , respectively. The continuity of pressure and the quantity Q is applied at the interfaces between zones I, II, and III to match the modes in each zone. Finally, the scattering matrix S can be derived to relate the coefficients of the modes propagating or decaying in zone II as well as the coefficients of the modes in zone II to the coefficients of the incoming modes in zones I and III:

Zone I e e e e e oO

       =            

+

A

3

− +

A A S

1 1 +

worm 2022

(9)

,

A A

3 2

A

2

where the variables with ‘+’ and ‘-’ represent the acoustic modes propagating or delaying in the + x - direction and the modes propagating or delaying in the - x -direction, respectively.

2.3. Validation of the Method

To validate the present method, the sound pressure level distribution along the central line of the hard wall predicted by the current method is compared with the benchmark data from the NASA Grazing Incidence Tube (GIT) [15], as shown in Fig. 1. The length of the acoustic liner is 0.0508 m. The first microphone is 0.2032 m away from the leading edge of the liner, and the last microphone is 0.2032 m away from the trailing edge of the liner. The comparison is made for four random combi- nations of Mach number and frequency. An excellent agreement between the prediction and experi- ment validates the effectiveness of the current method.

140-+ 120- (ap es 80- 60 a)

0.2 0) 125 120 11s

(a) (b)

140 135 130 125 120 11s a Zz a = GB

(c) (d) Fig. 1 A comparison of the acoustic pressure distribution along the central line of the wall predicted

° “02 0) 125 120 11s 3130 a a a

by the current model (solid line) with the benchmark data from the NASA GIT facility (square) [15]. (a) M = 0, f = 1000 Hz, Z = 0.49 + 0.04i; (b) M = 0.079, f = 1500 Hz, Z = 0.99 + 1.27i; (c) M = 0.172, f = 2000 Hz, Z = 5.45 – 0.07i; (d) M = 0.255, f = 2500 Hz, Z = 1.03 - 1.41i. 3. MODELING OF POROUS MATERIAL LINER

A typical hexagonal structure with a circular cross-section can be utilized to describe the micro- structure of the porous material, as shown in Figure 2(a). The average fiber radius and gap of the microstructure are w and r , respectively. The numerical computations are performed on the rectangu- lar periodic unit cell depicted in Figure 2(b). The porosity  can be calculated by:

r w r  = − + (10)

2

2 4 3 1 . 9( 2 )

The tortuosity   , the viscous characteristic length  , the flow resistance  , and the thermal char-

acteristic length   can be calculated by the velocity fields and property of the fluid, and the velocity

fields can be simulated by solving the asymptotic low and high frequency viscous boundary value

problems as introduced in the papers [11–14].

worm 2022

Figure 2: (a) Cross-sections of the hexagonal structure. (b) A rectangular periodic unit cell.

Once five parameters of the porous material are obtained by the bottom-up method, the effective density and the effective compressibility can be calculated by the Johnson-Champoux-Allard (JCA) semi-phenomenological model with these five parameters, which are expressed as [16,17]:

(a) q | -@ 4 - @-@ 4 -e- i} i} — 04 @—-- -04- @--- i} i} =O+ <4 @:=@=|:=8:= i} i} —.-e4 e-- — -e 4 Le. — OO =O @ i} i} —-—- Symmetric bounadry Periodic bounadry Le (b)

  = + +       

       

2 0 0

 

2 2 2 0 1 1 4i i e

, (11)

1 1 2 2 0

           

       = − − + +         

P K         

8 ( 1) 1 1 i i 6 Pr Pr 1 e

, (12)

0 2

0

where  is the ratio of specific heat, 0 P is the air pressure, and Pr is the Planck constant. Consider- ing the plane wave in the duct is grazing incident to the surface of the liner and assuming the effect of the interior flow in the porous material can be neglected, the impedance at grazing incidence can be used to describe the influence of porous material on the acoustic field in the duct. The surface impedance of the porous material is expressed as:

k Z Z k H k

( ) i cot , e c e e s

⊥ ⊥ = − (13)

where H is the thickness of the porous material, / e e e k K  = is the wavenumber, e k ⊥ is the wave-

number component of e k and normal to the surface of the liner, which can be expressed as:

2

  −   

0 = sin e e k k c   ⊥

2

, (14)

where 0 c is the speed of air and  is equal to 90 degrees. 3. RESULTS AND DISCUSSION

Considering a rectangular duct with a porous material, the length of zone I, zone II, and zone III are 0.25 m, 0.3 m, and 0.3 m, respectively. The thickness of the porous material is 0.03 m. In order to analyze the effect of the microstructural parameters, the following index is used to quantify the sound attenuation performance:

( ) ( ) ( )

+

A f I TL f Num Num A f

1 1 ,

Num Num

+ = = = − =   (15)

3,1

i i i i i

1 1 1,1

where, ( ) i TL f is the transmission loss of the porous material at the i th frequency, Num is the number

of discrete frequencies in the frequency range of 500 Hz to 3000 Hz with an increment of 10 Hz, and

( ) 3,1 i A f + and ( ) 1,1 i A f + are coefficients of the plane wave mode propagating in the + x -direction in

zones 3 and 1, respectively. The smaller the index, the better the sound attenuation performance of the porous material liner.

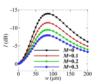
3.1. Effect of Average Fiber Gap on the Porous Material Liner

The initial average fiber radius r is fixed at 50 µm, and the fiber gap is varied from 1 to 200 μ m with an increment of 1 μ m in the range of 1 to 10 μ m, an increment of 5 μ m in the range of 15 to 90 μ m, and an increment of 10 μ m in the range of 100 to 200 μ m. Figure 3 shows the transmission loss as a function of frequency with different Mach numbers. As is shown in Figure 3, the transmission loss decreases as the Mach number increases. Besides, the area under the transmission loss curve increases initially, and then the area begins to decrease when the fiber gap value increases further.

worm 2022

There is an optimal fiber gap value at which the area under the transmission loss curve reaches the maximum.

Figure 4 shows sound attenuation performance indices as a function of fiber gap w with different Mach numbers. In Figure 4, the sound attenuation performance indices drop to a valley as the fiber gap widens and then gradually increase with further increases in the fiber gap value. From Figure 4, the optimal fiber gap, where the sound attenuation performance indices reach the minimum and the area under the transmission loss curve reaches the maximum, can be achieved. It is interesting that the optimal fiber gap for all the Mach numbers keeps the same. The optimal fiber gap w = 85 μ m and the corresponding sound attenuation performance indices are -13.93 dB, -11.42 dB, -9.47 dB and - 7.93 dB under the condition that M = 0, M = 0.1, M = 0.2 and M = 0.3, respectively. It means that the mean flow speed has little effect on the determination of the optimal fiber gap when the interaction between the flow and porous material is neglected. For a concise presentation of data, macroscopic parameters and sound attenuation performance indices at M = 0 of the porous material with the se- lected fiber gap values are shown in Table 1. Similar to the previous parametric studies on the sound absorption coefficients of porous materials, the effect of the fiber gap on the sound attenuation per- formance indices is significant, and the airflow resistivity varies significantly as the fiber gap widens. Table 1: The macroscopic parameters and acoustic performance indices of the porous material with different fiber gap values, The fiber radius is fixed at r =50 μ m.

w (μm)  (%)    (μm)  (Pa∙s∙m −2 )   (μm) I (dB)

5 45.16 1.93 9 19,154,314 41 -0.39 10 50.03 1.54 18 3,472,459 50 -0.99 20 58.01 1.30 34 640,018 69 -2.68 30 64.22 1.22 49 240,532 90 -4.95 40 69.15 1.17 64 120,821 112 -7.59 50 73.13 1.14 79 71,084 136 -10.15 60 76.38 1.12 94 46,203 162 -12.12 70 79.08 1.11 110 32,160 189 -13.32 80 81.34 1.10 126 23,533 218 -13.86 90 83.25 1.08 142 17,887 249 -13.90 100 84.89 1.08 159 14,008 281 -13.56 120 87.51 1.06 195 9,195 350 -12.18 150 90.33 1.05 255 5,509 467 -9.54 200 93.28 1.03 370 2,858 694 -6.14

worm 2022

worm 2022

Figure 3: The acoustic transmission loss of the porous material liner having different fiber gap values. (a) M = 0; (b) M = 0.1; (c) M = 0.2; (d) M = 0.3.

x 8 we 200 S 160 g 15 120 es 19 452 25 Bs 9 2 5 Ez 0 1 £ ol 500 1000 1300 2000 2300 3000 500 1000 1300 2000 2300 3000 Frequency (Hz) (b) Frequency (Hz) wes 200 S 160 % 120 8 10) 8 = 65 8 452 5 2 € 0 5 Eo 500 1000 1300 2000 2300 3000 Frequency (Hz) 500 1000 1500 2000 2500 3000 Frequency (Hz) S

Figure 4: The acoustic performance indices as a function of the fiber gap w at fixed radius r = 50 μm under the condition of the Mach number M = 0, 0.1, 0.2, and 0.3.

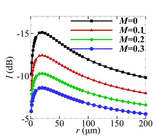
3.2. Effect of Average Fiber Radius on the Porous Material Liner

After analyzing the sensitivities of the sound attenuation performance to fiber gap, the effect of the fiber radius on the macroscopic behavior of the porous material is studied at different Mach num- bers. The initial configuration is the specific one that minimizes the sound attenuation performance index at the fixed fiber radius value r = 50 μ m, with a fiber gap value of 85 μ m. In this study, the fiber gap is fixed at w = 85 μ m, and the fiber radius is varied from 1 to 200 μ m with an increment of 1 μ m

in the range of 1 to 10 μ m, an increment of 5 μ m in the range of 15 to 90 μ m, and an increment of 10 μ m in the range of 100 to 200 μ m. Figure 5 shows the transmission loss as a function of frequency at different Mach numbers. As is obvious in Figure 5, in general, the area under the transmission loss curve increases initially and then decreases gradually as the fiber radius widens, and there are similar trends at different Mach numbers. This phenomenon can also be observed in Figure 6, which shows the sound attenuation indices as a function of the fiber radius at different Mach numbers. Comparing the results shown in Figure 4 and Figure 5, the effect of the fiber radius on the transmission loss is weaker than the fiber gap. For example, the alternation of the sound attenuation performance indices is within 5.3 dB when the fiber radius varies from 5 μ m to 200 μ m, yet that is within 13.54 dB when the fiber gap values are in the range of 5-200 μ m.

It is worth noting that the sound attenuation performance indices are more sensitive to the fiber radius in the range of 1-20 μ m than that in the range of 20-200 μ m, as shown in Figure 6. From Figure 6, the optimal fiber radius value where the sound attenuation performance index reaches the minimum can be achieved. The optimal fiber radius r = 20 μ m, and the corresponding sound attenuation per- formance indices are -15.12 dB, -12.43 dB, -10.3 dB and -8.62 dB under the condition that M = 0, M = 0.1, M = 0.2 and M = 0.3, respectively. The Mach number has little effect on the value of the optimal fiber radius at the fixed fiber gap w = 85 μ m, similar to the phenomenon shown in Figure 4. The specific macroscopic parameters and trends can be achieved in Table 2. Table 2: The macroscopic parameters and acoustic performance indices of the porous material with different fiber radius values. The fiber gap is fixed at w = 85 μ m.

r (μm)  (%)    (μm)  (Pa∙s∙m −2 )   (μm) I (dB)

5 99.33 1.00 373 10622 741 -13.49 10 97.81 1.01 228 12880 446 -14.68 20 93.81 1.03 161 15560 303 -15.12 30 89.65 1.05 143 17444 260 -14.86 40 85.79 1.07 136 19023 241 -14.41 50 82.33 1.09 134 20431 233 -13.93 60 79.28 1.11 133 21723 230 -13.47 70 76.59 1.12 134 22925 229 -13.04 80 74.21 1.14 134 24055 230 -12.64 90 72.11 1.15 135 25125 233 -12.27 100 70.23 1.16 136 26142 236 -11.94 120 67.03 1.19 137 28051 244 -11.36 150 63.29 1.23 140 30664 259 -10.67 200 58.88 1.29 143 34535 286 -9.82

worm 2022

worm 2022

Figure 5: The acoustic transmission loss of the porous material liner having different fiber radius values. (a) M = 0; (b) M = 0.1; (c) M = 0.2; (d) M = 0.3.

i) re 200 3 160 3 120 8 15 85g 63 2 10 45 8 25 6 9 2° s & 1 = 9 500 1000 1300 2000 2500 3000 500 1000 1300 2000 2500 3000 Frequency (Hz) (b) Frequency (Hz) res 200 160 2 120 10 8 = 65 8 452 5 235 8 9 2 5: i 6 9 500 1000 1300 2000 2500 3000 500 1000 1300 2000 2500 3000 Frequency (Hz) (@ Frequency (Hz) 200 160 120 85 65 45 25 200 160 120 85 65 45 25

Figure 6: The acoustic performance indices as a function of the fiber radius r at fixed fiber gap w = 85 μm under the condition of the Mach number M = 0, 0.1, 0.2, and 0.3. 4. CONCLUSIONS

In this paper, combined with the bottom-up method, a finite-difference ghost point approach in the multimodal method is proposed for studies on the effect of microstructure on the sound attenuation performance in the duct. The effect of the fiber radius and gap on the sound attenuation performance of the porous material liner in the duct, is analyzed at different Mach numbers systematically. The effect of the fiber gap on the sound attenuation performance indices is stronger than the fiber radius

(ap)7 50100. 150 200 r (uum) “55

in general. The sound attenuation performance indices are more sensitive to the small fiber radii than the large fiber radii when the fiber gap value is fixed.

From the parametric study, it is derived that there is little effect of the mean flow speed on the values of the optimal microstructure parameters when the interaction between the flow and porous material is neglected. The interaction between the flow and porous material is often neglected during the current studies on the porous material liner, such as the work of Qiu et al.[6], Alomar et al.[7], and Tuasikal et al.[8] . It is hard to measure the flow properties in the porous material. This interaction will be considered, and the method will be developed further in future work.

The optimal microstructure can improve the sound attenuation performance of the liners in the duct. When the fiber radius is small at the fixed fiber gap, there is a optimal fiber radius. The sound attenuation performance indices will change rapidly when the fiber radius changes within the range of less than the optimal fiber radius value at the fixed gap. Once the fiber radius exceeds the optimal value and widens furtherly, the sound attenuation performance indices will increase gradually. The method and the conclusions may contribute to the design or manufacture of the porous material liner in the duct at the frequency range of interest. 5. ACKNOWLEDGEMENTS

The authors are grateful for the financial support from the National Natural Science Foundation of China (Grant No. 12072277) and the Fundamental Research Funds for the Central Universities of China (Grant No. G2019KY05202, G2019KY05207). 6. REFERENCES

1. M.G. Jones, B.M. Howerton, Evaluation of Novel Liner Concepts for Fan and Airframe Noise Reduction, in: 22nd AIAA/CEAS Aeroacoustics Conference , American Institute of Aeronautics and Astronautics, Lyon, France, 2016. 2. X.Ma, Z. Sun, Development of acoustic liner in aero engine: a review. Science China Tech- nological Sciences , 63(12), 2491-2504 (2020). 3. D.L. Sutliff, M.G. Jones, Low-Speed Fan Noise Attenuation from a Foam-Metal Liner, Journal of Aircraft , 46(4), 1381-1394 (2009). 4. D.L. Sutliff, R.F. Bozak, M.G. Jones, D.M. Nark, Investigations of three over-the-rotor liner concepts at various technology readiness levels, International Journal of Aeroacoustics . 20(5- 7), 826-866 (2021). 5. C. Sun, F. Pérot, R. Zhang, P.-T. Lew, A. Mann, V. Gupta, D.M. Freed, I. Staroselsky, H. Chen, Lattice Boltzmann formulation for flows with acoustic porous media, Comptes Rendus Méca- nique . 343(10-11), 533-544 (2015). 6. Mode-merging design method for nonlocally reacting liners with porous materials. AIAA Jour- nal , 58(6), 2533-2545 (2020). 7. A. Alomar, D. Dragna, M.-A. Galland, Time-domain simulations of sound propagation in a flow duct with extended-reacting liners, Journal of Sound and Vibration . 507, 116137(2021). 8. J.A. Tuasikal, Y. Murata, K. Yoshida, T. Harada, K. Sato, H. Daiguji, K. Okamoto, K. Nagai, H. Oinuma, T. Ishii, Sound Absorption Properties of Porous Metals Under Grazing Flow Con- ditions, AIAA Journal . 1–21(2021). 9. C. Othmani, T. Hentati, M. Taktak, T. Elnady, T. Fakhfakh, M. Haddar, Effect of Liner Char- acteristics on the Acoustic Performance of Duct Systems, Archives of Acoustics. 40(1) (2015). 10. C. Jiang, C. Wang, On the numerical eigenmode analysis of acoustically lined ducts with uni-

form mean flow, International Journal of Mechanical Sciences . 168, 105300 (2020).

worm 2022

11. C. Perrot, F. Chevillotte, R. Panneton, Dynamic viscous permeability of an open-cell aluminum

foam: Computations versus experiments, Journal of Applied Physics . 103(2), 024909(2008). 12. C. Perrot, F. Chevillotte, R. Panneton, Bottom-up approach for microstructure optimization of

sound absorbing materials, The Journal of the Acoustical Society of America . 124(2), 940–948, (2008). 13. C. Perrot, F. Chevillotte, R. Panneton, J.-F. Allard, D. Lafarge, On the dynamic viscous perme-

ability tensor symmetry, The Journal of the Acoustical Society of America . 124(4), EL210- EL217 (2008). 14. S. Liu, W. Chen, Y. Zhang, Design optimization of porous fibrous material for maximizing

absorption of sounds under set frequency bands, Applied Acoustics . 76, 319-328 (2014). 15. M. Jones, W. Watson, T. Parrott, Benchmark Data for Evaluation of Aeroacoustic Propagation

Codes with Grazing Flow, in: 11th AIAA/CEAS Aeroacoustics Conference , American Institute of Aeronautics and Astronautics, Monterey, California, 2005. 16. D.L. Johnson, J. Koplik, R. Dashen, Theory of dynamic permeability and tortuosity in fluid-

saturated porous media, Journal of Fluid Mechanics . 176, 379–402 (1987). 17. Y. Champoux, J. Allard, Dynamic tortuosity and bulk modulus in air‐saturated porous media,

Journal of Applied Physics . 70(4), 1975–1979 (1991).

worm 2022