Welcome to the new IOA website! Please reset your password to access your account.

Vibroacoustic metamaterials as add-on solution for noise reduction in existing housing structures Manuel Bopp 1 Albert Albers 2 IPEK – Institute of Product Engineering at KIT Kaiserstraße 10 76131 Karlsruhe Germany ABSTRACT Vibroacoustic metamaterials (VAMM) have the potential to reduce unwanted noise components in a very targeted and narrow-band frequency range. Many VAMM concepts are based on mechanical resonators that act as vibration absorbers in their natural frequency and thus absorb energy that would otherwise be radiated in the form of airborne sound and perceived as noise. Often, during the design phase, it is not yet possible to adequately assess which surfaces will be acoustically problematic and in which frequency ranges disturbing noise components are going to be. In addition, many VAMM concepts can only be manufactured using additive manufacturing (AM) processes, due to their complex geometry. AM parts often have strongly anisotropic material behavior depending on the manufacturing process, which makes a prediction of the vibroacoustic behavior even more difficult. Direct integration into housing structures is therefore not practical and economically feasible in most cases.

This paper therefore investigates the extent to which retrofitted resonators can be effectively used in existing housing structures. For this purpose, FDM-printed bending resonators made of ABS and PLA are used, which have already been measured with respect to their natural frequencies in a previous publication. Different variants are attached to a demonstrator housing and the surface vibration velocity is measured using a 3D laser scanning vibrometer, and compared with the basic variant without resonators. The radiated airborne sound is also measured. Furthermore, a comparison is made with a dynamic FEM simulation in order to be able to evaluate its prediction quality, in particular with regard to the additively manufactured resonators. 1. INTRODUCTION

The dynamic behavior of components is strongly influenced by the overall system context. The connection with other components results in multi-body oscillator systems, whose dynamic behavior deviates strongly from that of the individual components. Therefore, acoustic problems can often only be recognized after assembling the overall system, in a very late phase of the development process, where component changes can usually only be made at high cost. Therefore, so-called 1 manuel.bopp@kit.edu

2 albert.albers@kit.edu

worm 2022

secondary measures are often used to solve such problems, in which existing vibrations are damped by introducing additional materials. Vibroacoustic metamaterials (VAMM) can offer advantages over conventional solutions such as foam mats, in terms of installation space and mass as well as precision of the frequencies to be attenuated, as has been shown in numerous publications already (e.g. [1–5]. There are two main challenges in the Application of VAMM. On the one hand, the resonators have to be designed for the correct target frequency, and on the other hand, suitable layouts (positions and orientations) for the resonators have to be determined. Furthermore, the number of resonators can be varied, e.g., to achieve an optimal ratio of additional mass to transmission loss, as presented in [7, 8].

In a previous publication [6] a best practice with three design rules for the positioning of retro- fitted bending-resonators was proposed, and has since been updated with new findings:

1. Resonators should be placed with higher density at positions with high displacement to

maximize damping effects. 2. The bending axis of the resonator should be parallel to the iso-lines of the mode shape at the

respective resonator position, or to a zero line of the target mode. 3. The number and layout of resonators can be optimized for a specific target function. In this study this approach is explored further. Investigated layout variants include the number, position and angle in which the resonators are fitted. The variants are evaluated numerically as well as experimentally.

2. MEASUREMENT SETUP AND METHODOLOGY

worm 2022

The demonstrator as well as the test setup used for this study are shown in Figure 1 and are mainly carried over from [6]. The housing design is based on typical comfort actuator designs and consists of a base housing, which is mounted to the test rig, an interchangeable cover and a steel shaft. The design allows to easily investigate different shapes and materials for the cover, as well as changing the resonator configuration without changing anything else in the setup.

Figure 1: Demonstrator housing and measurement setup with shaker, force sensor, shaft and housing. The front surface of the housing cover is measured by 3D-Laser-Scanning Vibrometer. Right: Measurement setup with microphone and enclosure.

In this study a rectangular shape with a wall thickness of 3 mm was chosen. The housing was printed with a consumer grade FDM 3D printer in PLA with 0.2 mm layer height and the stack-direction in the direction of the shaker-axis.

The structure is excited with a pseudo-random signal by a shaker, which is connected to the shaft via a stinger and a force sensor. The force is transmitted through the shaft and the bearing seats to the housing, where airborne noise is then radiated mainly over the housing cover. The airborne noise is measured with a microphone, which is shielded by an enclosure. The enclosure is fitted with 50 mm Basotect foam to avoid reflections and interference effects. Additionally, the surface vibration velocity of the cover is also measured using a 3D laser scanning vibrometer (see Figure 2). The curves of surface acceleration (SA) and sound pressure level (SPL) show three acoustically noticeable peaks at 933 Hz, 2330 Hz and 3290 Hz. Analyzing the force spectrum and the transfer functions on the right shows, that the first peak at 933 Hz is caused by resonances in the excitation, and that the natural frequency of the housing cover itself is at 1075 Hz. This peak is also predicted well in the FEM simulation, as depicted in Figure 9 (red line). The corresponding mode shapes from measurement as well as simulation are shown below in Figure 3.

worm 2022

Figure 2: Left: Measured surface acceleration and SPL; Right: respective transfer functions

Figure 3: Mode shapes PSV measurement (left) and FEM simulation (right) (adapted from [6])

3. RESONATOR DESIGN The resonators used in this study are simple bending resonators with a spring element and a mass element as shown in Figure 4. Five sets of resonators with geometry variations were produced and measured in ABSplus, PLA, Polyjet resin and multi-material in previous studies [9, 10].

For this study, a new set of resonators with improved geometry parameters was manufactured in PLA (labeled “ID1000”, “ID1100” etc. in Figure 6), that have a slightly thicker spring element, so that it is an integer multiple of the extrusion width. This is expected to result in less scatter and a

slightly higher resonance frequency. Also, additional resonators with M3 nuts as steel inserts were designed to counteract this effect and achieve a lower resonance frequency of approx. 950 Hz. These resonators are shown in Figure 5 and labeled “2000” in Figure 6.

worm 2022

Figure 4: Single resonator element with dimensions (left) and first bending mode (right)

Figure 5: left: Simulated resonator with M3 nut as insert (cut view); right: Printed resonators with inserts (during paused print)

The resulting natural frequencies of all 70 measured resonators are displayed in Figure 6. The resonators showed slightly higher resonance frequencies as before and the scatter is improved a bit, as expected due to the updated design. The resonators with the metal inserts showed almost no scatter and a much lower natural frequency of 940 Hz, which was in good accordance with the CAE prediction of 953 Hz.

Figure 6: Natural frequencies of updated PLA resonators

‘m 1000 mH 100 1 1200 mH 1900 mI 1400 11500 wm 2000

4. RESONATOR LAYLOUT AND CALCULATION

4.1 Layout variants The selected variants that are shown here are listed in Table 1. For the grid patterns, the layouts are named according to the number of resonators in each row from top to bottom, e.g. the layout shown in Figure 7 is called 5-5-5. Circular patterns are named according to the number of resonators on each circle from inner to outer diameter. Each layout has a unique spacing between the resonators which ultimately effects the density with which they are placed. All layouts were placed symmetrically in the center of the cover. In addition to the grid layouts, a simple evolutionary algorithm was implemented to see how the resonators would arrange themselves. Table 1: Layout parameters for simulation and measurement

Resonator Layout Spacing [mm] Angle [°] Simulation Measurement 2; 2-2; 2-2-2 15 90 x 3-3-3 15, 20, 25 0 x 3-3-3 15, 20, 25 90 x x 5-5-5 10, 15 0; 90 x Circular 5-10 11, 14, 17 90 x x

3-3-3 Evolutionary Optimization 0; 90 x

worm 2022

4.2 FEM Simulation To identify effective resonator layouts for measurement, the housing cover was simulated in Abaqus. The areas around the screw points of the cover are modeled with fixed boundary conditions (red in Figure 7), to roughly account for the connection stiffness of the rest of the housing, which is not modeled in this step. Young’s modulus was chosen at 3200 MPa and the target frequency for resonates was set to 1000 Hz.

Figure 7: left: FEM model with 5-5-5 0° resonator layout and areas with fixed boundary conditions; middle:Reference points for FRFs; right: Visualization of the first housing mode (5-5-5 90° layout)

Initially, the empty cover is simulated as a baseline and to identify the target frequency. This will be displayed as red curve throughout all diagrams. The resonators are then placed in the housing

cover by Python automation in a specified layout, that can be either a grid pattern, circular pattern (see Figure 8) or randomly spread. The script then handles the remeshing of the model, adjusting tie constraints and boundary conditions, starting the calculation as well as postprocessing of the results: For each layout the frequency response functions (FRFs) are calculated for the two nodes on the front surface shown in Figure 7. The integral under the curve is calculated for a specified frequency range as a measure of transmission loss and as a target function for the evolutionary algorithm.

worm 2022

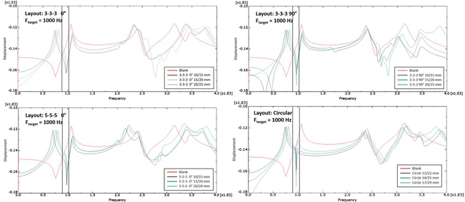
Figure 8: Overview of layout variants: left: 3-3-3, 0° and 90°; middle: 5-5-5, 0° and 90°; right: Circular

In Figure 9 the FRFs of the grid and circular layouts are shown. The layouts where the resonators are closer to the center generally show a broader stop band and reduced peaks, which confirms the design rule proposed in [6], that resonators should be located near positions with high displacement. The layouts with 15 resonators do not show significant improvement over the ones with only 9 resonators, supporting the third rule that the number can be optimized to maximize e.g. sound transmission loss per additional mass ratio.

5-5-5 90°

Figure 9: FRFs of grid layouts 3-3-3 and 5-5-5 and circular layouts, all with resonator ID 2000

The angle does not show a strong influence for the grid layouts. The circular patterns only show a very sharp attenuation at the resonance frequency, but do not cause a second peak like the grid layouts. Overall, they are rather ineffective compared with the grid layouts, supporting the thesis that the bending axis should be parallel with the zero lines of the respective mode shape.

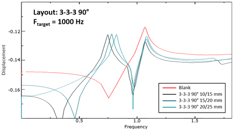
A detail view of the top right diagram is shown in Figure 10. Here it can be seen clearly that the first layout with 10/15 mm spacing has a notably larger bandgap and lower residual peaks as the other two layouts with larger spacing.

worm 2022

Figure 10: Detail view of the 3-3-3 90° layout with different spacing

The third design rule is confirmed by these results and tested further by implementing a simple evolutionary algorithm, that generates and evaluates random mutations of the initial layout. The x- and y- position of each resonator is summed with a gaussian distribution with a mean of 0 and a standard deviation of 2 mm. From each parent layout five mutated layouts are created and calculated. The best layout is assessed and carried over as the parent for the next generation. An example run for the 3-3-3 90° layout can be seen in Figure 11. The model was run for 20 generations with a target frequency of 1000 Hz and an evaluation range of 500 Hz – 1500 Hz and showed a clear tendency for higher resonator density towards the middle of the surface, which also has the highest displacement for the specified frequency range.

Displacement: 0.1] 0. Layout: 3-3-3 90° Frargt = 1000 Hz — Tank = 333.90" 10/15 mm — 33390" 15/20mm 33390" 20/25 mm 15 T Frequency

Figure 11: Resonator layouts from different generations

This tendency could also be observed with three other runs with 3-3-3 as well as 5-5-5 configurations and further confirms the first design rule. The resulting FRFs in Figure 12 show similar behavior as the structured grids in Figure 9, where the layouts with high density in the center perform better than spaced variants. Figure 12 on the right finally shows a comparison to a variant with two

Gent Gens Gen 10 Gen 15 Gen 20 Beet &

diagonal ribs in the housing, that have an additional mass equivalent to the mass of the 9 resonators in the 3-3-3 layout. As expected, the ribs mainly shift the resonance to a higher frequency. The variant was also printed and measured, the results are displayed in Figure 16.

worm 2022

Figure 12: Left: FRFs of different generations; right: Detailed comparison of blank cover, cover with ribbing with equivalent mass and 3-3-3 layout Gen 1 and Gen 20

5. MEASUREMENT RESULTS Based on the simulation results the variants marked in Table 1 were chosen for measurement. The resonators are attached with adhesive tape in the cover, which did not show any negative influence on their dynamic behavior in a pretest with different adhesive solutions, including HBM X60, Acrifix and different 2-component epoxies.

The measurement results in Figure 13 show the transfer functions of the surface acceleration measured with the 3D-laser-scanning-vibrometer. The results generally fit the simulation well and show the same tendencies. Higher modes show deviation in frequency due to the non-linear material behavior of polymers themselves and the high degree of anisotropy present in additively manufactured parts.

Figure 13: Measurement results of the 3-3-3 and circular layouts with 1000 Hz target frequency

The qualitative fit is good overall tough and the effects of different resonator layouts can be compared well, since the base housing cover is kept the same and regularly repeated blank measurements indicate very high repeatability of the overall measurement setup. Figure 14 shows a

detail view of the frequency range of 500 to 1500 Hz of the same data. If compared to the CAE results in Figure 10, the tendencies for the grid layouts are very similar to the ones predicted in the CAE, and shows improvements of up to 43 dB peak-to-peak and approx.35 dB at the peak right below 1 kHz. The circular layout performs similar to the grid layout and much better than predicted, which will be investigated further in future research.

worm 2022

Figure 14: Detail view of the 3-3-3 90° and circle layout with different spacing

For the layouts 2, 2-2 and 2-2-2 the surface acceleration as well as the airborne sound pressure level (SPL) was measured (Figure 15). The values show a good correlation overall and especially the differences caused by the resonators in the range around 1 kHz translate well into the radiated SPL.

Figure 15: Comparison of surface acceleration and radiated sound pressure level

The variant with two diagonal ribs was also printed and measured, and showed the expected behavior. The resonance peaks are merely shifted to higher frequencies with no notable improvements in peak amplitude. The metamaterial variant with the 3-3-3 layout has the same overall mass and shows much better performance over almost the whole frequency range.

Figure 16: Comparison between blank cover and diagonal ribs, 3-3-3 layout shown for reference.

worm 2022

CONCLUSION AND OUTLOOK In this study, different layouts and integration concepts for vibroacoustic metamaterial resonators have been investigated, to validate the design rules proposed in previous research [6]. Numerous variants have been simulated in CAE software, including different numbers, positions, angles and patterns of resonators. A simple evolutionary algorithm was implemented and run several times, each time resulting in a layout with high resonator density in positions with high displacement, thus confirming the first design rule. The second rule was refined, as the circular layouts, where each resonator was somewhat parallel to its respective iso-line of displacement, was rather ineffective compared to the grid layouts. The second design rule therefore will be investigated further, e.g. with a modified optimization algorithm that targets the angle in which the resonators are placed, rather than the position. The third rule is confirmed by the variants with different numbers of resonators, where an increase from 9 to 15 resonators did not show any significant improvement.

Promising concepts have been translated to a physical demonstrator housing and measured with a 3D-laser-scanning-vibrometer, where the CAE results could be confirmed in large parts. A variant with two ribs was also calculated and measured and showed significantly worse performance compared to the metamaterial variant with equivalent mass.

ACKNOWLEDGEMENTS

This research was carried out as part of the project " Integration of Acoustic Metamaterials in Housing Structures ZFS-232 " funded by the Zeidler Research Foundation. The authors would like to express their sincere gratitude to the Zeidler Research Foundation for their support.

References [1] Wei, W., Chronopoulos, D., and Meng, H., “Broadband Vibration Attenuation Achieved by 2D

Elasto-Acoustic Metamaterial Plates with Rainbow Stepped Resonators,” Materials (Basel, Switzerland) 14(17), 2021, doi :10.3390/ma14174759 . [2] Melo Filho, N. de, van Belle, L., Claeys, C., Deckers, E. et al., “Dynamic mass based sound

transmission loss prediction of vibro-acoustic metamaterial double panels applied to the mass- air-mass resonance,” Journal of Sound and Vibration 442:28–44, 2019, doi: 10.1016/j.jsv.2018.10.047 . [3] Efimtsov, B.M. and Lazarev, L.A., “Sound Transmission Loss of Panels with Resonant

Elements,” Acoustical Physics 47(3):291–296, 2001, doi: 10.1007/BF03353582 . [4] Droste, M., Manushyna, D., Riess, S., Atzrodt, H. et al., “Application of vibroacoustic

metamaterials in a vehicle door,” Proceedings of DAGA22: 48. Jahrestagung für Akustik , vol. 48, DAGA2022, Stuttgart, 21.-24. März, ISBN 978-3-939296-20-1:233–235, 2022. [5] Claeys, C., Deckers, E., Pluymers, B., and Desmet, W., “A lightweight vibro-acoustic

metamaterial demonstrator: Numerical and experimental investigation,” Mechanical Systems and Signal Processing 70-71:853–880, 2016, doi :10.1016/j.ymssp.2015.08.029 . [6] Bopp, M. and Albers, A., “Auslegung FDM-gedruckter Metamaterial-Resonatoren als Add-On

Lösung in bestehenden Gehäusestrukturen,” Proceedings of DAGA22: 48. Jahrestagung für Akustik , vol. 48, DAGA2022, Stuttgart, 21.-24. März, ISBN 978-3-939296-20-1:229–232, 2022. [7] Rehbein, N., Lohmann, H., Keuchel, S., and Zaleski, O., “Optimierung von Metamaterialien,”

Proceedings of DAGA22: 48. Jahrestagung für Akustik , vol. 48, DAGA2022, Stuttgart, 21.-24. März, ISBN 978-3-939296-20-1:257–260, 2022. [8] Claeys, C.C., Vergote, K., Sas, P., and Desmet, W., “On the potential of tuned resonators to

obtain low-frequency vibrational stop bands in periodic panels,” Journal of Sound and Vibration 332(6):1418–1436, 2013, doi :10.1016/j.jsv.2012.09.047 . [9] Bopp, M., Joerger, A., Behrendt, M., and Albers, A., “Variance Quantification of Different

Additive Manufacturing Processes for Acoustic Meta Materials,” INTER-NOISE 2021 Conference Proceedings , Washington:2708–2723, 2021. [10] Bopp, M. and Behrendt, M., “Modal Analysis of Multi-Material Resonator Elements for Acoustic Metamaterials,” Proceedings of DAGA21: 47. Jahrestagung für Akustik , vol. 47, DAGA2021, Wien, 15.-18. August:113–115, 2021.

worm 2022