Welcome to the new IOA website! Please reset your password to access your account.

Causal-based acoustic optimization of micro-perforated structures with rigid backing Teresa Bravo 1 Instituto de Tecnologías Físicas y de la Información Consejo Superior de Investigaciones Científicas Serrano 144 28006 Madrid, Spain Cedric Maury 2 Aix Marseille Univ, CNRS, Centrale Marseille Laboratory of Mechanics and Acoustics 4 impasse Nikola Tesla 13013 Marseille, France ABSTRACT The acoustical design of compact micro-perforated absorbers (MPA) that exhibit high performance over a broad bandwidth is a difficult challenge, often faced in building, ventilation and transportation industries. A causal-based optimization criterion of the MPA constitutive parameters is considered as an alternative to the maximization of the frequency-weighted overall absorption. It maximizes the directional gradient norm of the total intensity reflection coefficient (in logarithmic scale) integrated over all positive wavelengths. The causal and standard optimization strategies are assessed for sin- gle- and double-layer MPAs as well as for MPA arrays, the former (resp. the latter) being supported by Kundt tube measurements (resp. finite element simulations). The causal criterion ensures perfect absorption and the broadest possible bandwidth at one or several resonant states of the MPA, with efficient grouping and merging of the resonances of the optimized MPA array. Its performance is comparable to direct maximization of the total inverse-frequency weighted absorption. 1. INTRODUCTION

The problem of the improvement of the absorbing and isolation characteristics of acoustic materials at low frequencies is a continuous engineering challenge in the building, ventilation and transporta- tion economic sectors. Constraints associated to the total size and weight of the control device are normally encountered when dealing with the increasing low frequency content of these sources. Clas- sical porous and fibrous absorbers show good broadband performance in the high frequency range, but are not suitable to these applications [1].

1 teresa.bravo@csic.es

2 cedric.maury@centrale-marseille.fr

21-24 AUGUST SCOTTISH EVENT CAMPUS ? O? ? GLASGOW

Micro-Perforated Panels (MPPs) are alternative solutions for situations when porous components are excluded due, for instance, to the presence of a mean flow [2]. They are also very convenient to use when especial hygienic conditions have to be met, such as hospital, clean room environments or alimentary industries. They are absorbers with micro-slits or micro-perforations with sub-millimetric holes diameter backed by an air cavity. They have been shown to offer good performance in the low frequency range provided that the physical parameters are properly selected, although the high ab- sorption values are confined to a narrow frequency band due to their Helmholtz-type nature [3]. To avoid the restrictions imposed on the total absorption bandwidth, porous absorbers have been added to the backing air cavity [4]. Other solutions have proposed the use of multi-layer partitions composed of single panels with different physical materials. Individual resonances are then merged to cover a broad frequency band. However, optimal selection of the constitutive parameters becomes a combi- natorial optimization problem that cannot be solved with traditional techniques, and other random methods based on natural algorithms have to be used [5]. The optimization is made with a cost func- tion considering an average absorption coefficient over the targeted frequency range. However, there are many solutions that provide similar absorption results with different parameters and it cannot be assured that the configuration selected provides the highest absorption peak value over the largest bandwidth with the minimum total depth. In this work we propose an alternative method that can warrant this requirement. Similar problems have been analyzed before in the field of electromagnetism to find the maximum bandwidth that can be obtained by radar slabs absorbers of given thickness. Rozanov [6] has proposed an expression based on the causality principle relating the logarithm of the reflection coefficient in- tegrated over all wavelengths to its thickness. An extrapolation of these results has also been derived to provide a lowest thickness of a one-port rigidly-backed acoustic absorber considering a specific frequency bandwidth [7]. Integral inequalities have been obtained, over all positive frequencies, as- sociated to the reflection and transmission coefficients of the matching structure, as a function of its effective mass, bulk modulus and of the surrounding media impedances. These expressions are part of more general relations formulated in the frame of acoustic scattering theory [8] for one or two-port systems. Based on these expressions, in this work we will present a causal-based optimization criterion for the selection of the physical configuration of a one-port MPA able to maximize the dissipated incident sound power over a determined bandwidth. The theoretical formulation of the causal-based criterion will be presented in Section 2, and a comparison with a classical frequency-weighted optimization formulation will be shown. Section 3 will provide a set of analytical predictions for a single-layer MPA when finding the optimal holes diameter for perfect absorption at the Helmholtz resonance. The criterion will be also applied for a double-layer MPA when considering two optimization parameters in Section 4. Finally, the main conclusions will be summarized at the end of the paper. 2. CAUSAL-BASED AND FREQUENCY-WEIGHTED OPTIMISATION CRITERIA

In this section we will present a general formulation for the design of absorbing acoustic materials that can achieve optimal performance over a specified frequency range of interest. This formulation can provide a strategy for the proper selection of the physical parameters for best acoustic perfor- mance with the minimum sample thickness. The theory is developed for a rigidly backed one-port absorption system subject to a normally incident plane wave, as indicated in Figure 1.

21-24 AUGUST SCOTTISH EVENT CAMPUS ? O? ? GLASGOW

p r

L

p i

d

t

D

Figure 1: Schema of a single layer MPA rigidly-backed under normal incidence.

2.1. Causal-based constraint The material acoustic pressure back reflected from a one-port acoustic system when excited by a normal incident plane wave must satisfy the causality principle. From electromagnetism [6], a relation has been adapted to acoustics relating the thickness D of the material with the optimal performance in the wavelength λ ,

0 2 d log 2 1 , , λ π , (1)

( ) ( ) D R t d T ≤ = Λ 

where ( ) t d T , , Λ is called the causality integral, that quantifies the total intensity reflection coefficient R (in logarithmic scale) integrated over all the positive wavelengths. Equation (1) has been applied to the case of a single-layer rigidly-backed MPA. It is characterized by the holes diameter d , the perforation ratio ( ) 2 2 4 Λ = d π σ , the holes pitch Λ and the panel thickness t . The thickness of the backing cavity is denoted by D , as indicated in Figure 1. A complete expression for the effective input impedance of the MPA as a function of these constitutive parameters has been provided by Maa [3]. A simplified expression in the low frequency range can be approximated by [9, 10]

( )     − − = m t m Z H ξ ω ω ω ω ω i i 2 2 , (2)

g H md c 2 0 0 2 ρ ω = is the MPA

where σ ρ m k t m 0 = is the effective mass of the MPP with ( ) t d k m π 3 8 1 + ≈ .

Helmholtz resonance frequency and ( ) 2 32 d k r σ η ξ = is the MPA resistive term dependent on r k , a resistive end-correction factor [3]. 0 ρ is the air density and 0 c is the sound speed in air. At low

frequencies, Eq. (2) further reduces to ω ω 2 i H m Z − ≈ so that the logarithm of the plane wave reflex- ion coefficient ( ) ( ) 0 0 Z Z Z Z R + − = is approximated by ( ) ( ) 2 0 i2 log H m Z R ω ω − ≈ , with 0 0 0 c Z ρ = ,

which reduces to ( ) D k R 0 i2 log − ≈ with λ π 2 0 = k . The causal relation takes the expression

 < = Λ otherwise

Z t Z t D t d T ξ ξ . (3)

if , , 0 0 D



( )



21-24 AUGUST SCOTTISH EVENT CAMPUS ? O? ? GLASGOW

2.2. Causal-based optimization criterion

The formulation of a causal-based optimization criterion is analyzed in this section considering first considering a single parameter, the MPA holes diameter d . The specific resistance 0 Z t r ξ = ex- presses the relation between the dissipative factor and the leakage factor. From Equation (3) it can be deduced that when r decreases towards unity (for instance, by increasing the holes diameter d )

d T ∂ ∂ is zero-valued. The absorber takes its wideband performance D T = , and is insensitive to var- iations of the MPP parameters. On the other hand, when r increases towards unity, the sensitivity magnitude, d rD d T 4 − = ∂ ∂ , reaches a maximum value at 1 = r . The sensitivity of the total reflected intensity d T ∂ ∂ to variations of the holes diameter can be used to determine the point where the MPR reaches perfect absorption at its resonance for an optimal value of the holes diameters opt d d = . A causal-based criterion can be formulated as

d T d d ∂ ∂ = max arg opt . (4)

The same analysis can be carried out considering other MPA physical constitutive parameters. For instance, for the sensitivity of the total reflected intensity to variations in the holes pitch, it can be found that d T ∂ ∂ = Λ Λ / max arg opt . An optimization criterion considering both parameters can be for-

mulated as

( )

2 opt opt max arg T , d , d , d Λ Λ = Λ grad . (5)

( ) ( ) ( )

This analysis can be extended to the totality of the MPP parameters to be optimized and to multi- layer rigidly-backed MPAs [9, 10].

2.3. Frequency-weighting criterion

A comparison can be established between the causal-based optimization criterion proposed in this work and a classical approach considering the maximization of the total frequency-weighted absorption criteria, given by

f f f, n d 1 max

n f

min max min − −  ∆ = α α . (6)

( ) f f f f

In this expression, the n index has been normally selected as 0 = n (unweight) or 1 = n ( 1 − f

weighted) over the range Hz 10 min = f – Hz 10 4 max = f . 3. CAUSAL AND STANDARD OPTIMIZATION OF SINGLE-LAYER MPA

In this section we will verify analytically the theoretical results expressed in previous section consid- ering the causal-based criterion. We will consider a single-layer micro-perforated absorber, composed of a rigid MPP panel backed by a rigid cavity of depth D, and excited by a normal incidence plane wave, as indicated in Figure 1.

21-24 AUGUST SCOTTISH EVENT CAMPUS ? O? ? GLASGOW

3.1. One-parameter optimization

Equations (4-5) have been implemented using Matlab computation software with the diameter of the holes as the physical parameter to be analyzed. The results are presented in Figure 2 for the causality integral ( ) 0 0 , , t d T Λ , its derivative as a function of the holes diameter d T ∂ ∂ and the corresponding absorption coefficient obtained for the different values of d . The results have been calculated when the causality integral is evaluated numerically and when the theoretical relations presented in Section 2 are used. They have been obtained considering fixed values for the holes pitch mm 4 0 = Λ , a panel thickness equal to mm 5.0 0 = t , and a cavity depth of value m 0.03 0 = D .

(a)

(b)

(c)

1

250

0.03

0.8

200

0.025

0.6

| ∂ T / ∂ d |

150

T (m)

0.02

α max

0.015

0.4

100

0.01

0.2

50

0.005

10 −4 10 −3 0

10 −4 10 −3 0

10 −4 10 −3 0

d (m)

d (m)

d (m)

Figure 2: Variations with respect to the MPA holes diameter of: (a) the total reflected intensity, (b) the sensitivity of the total reflected intensity with respect to the MPA holes diameter and (c) the maximum absorption, evaluated numerically (solid blue) and theoretically (dashed red). As it was predicted, the representation of the causality integral permits the determination of the optimal parameter: when decreasing the holes diameter, the specific resistance reaches an optimal value for mm d d 34 .0 opt = = . The corresponding absorption coefficient verifies that the MPA achieves perfect absorption at this value. These simulation results are now compared with those obtained using the classical criterion con- sidering the absorption coefficient averaged over the whole frequency range. According to Equation (6), two different weightings of the n index have been evaluated and presented in Figure 3 (a). The optimal causal results taken from Figure 2 are presented in red and the frequency- weighted estimators are calculated in blue. The absorption values for both indexes can be read at the right-hand axis of Figure 3(a). The optimal holes diameters have been selected as the maximum values for both curves (blue circle and blue triangle respectively) and the associated absorption spectra have been compared in Figure 3 (b) over the whole audible frequency range. As it can be seen, although the selected frequency-weighted optimal parameters provide high absorption peak values, they are not able to achieve perfect absorption at the corresponding Helmholtz resonance, with values slightly slower than those provided considering the causal-based optimization criterion. Although it is not presented here for the sake of brevity, similar results have also been obtained when considering the determina- tion of the optimum separation distance between the MPP holes, opt Λ . Taking the optimal holes di-

ameter, the optimized pitch using the causality principle has been found to be mm 4 opt = Λ .

21-24 AUGUST SCOTTISH EVENT CAMPUS ? O? ? GLASGOW

1 (b)

0.15 (a)

0.04

0.8

0.03

(a) Aust § 8 8 sos

0.1

0.6

T (m)

0.02

0.4

0.05

0.01

0.2

0

0

0

10 2 10 3

2 3 4 5 6 d (m) 10 -4

Figure 3: (a) Variations with respect to the MPA holes diameter of the total reflected intensity (solid red) and of the total frequency-weighted absorption coefficients (solid blue, 0 α ; dashed blue, 1 α ); (b) absorption spectra associated to the MPA holes diameter optimizing the causal criterion (solid red – red square), 0 α (solid blue – circle blue) and 1 α (dashed blue – blue triangle).

Frequency (Hz)

0.02 0.015

4. CAUSAL AND STANDARD OPTIMIZATION OF DOUBLE-LAYER MPA

The problem of the selection of the optimal parameters when considering a double-layer MPA is presented in this section. We will focus on the selection of the optimal holes pitch for both panels although there is a similar formulation for the optimal choice of the other parameters.

4.1. Two-parameters optimization

A causal based relation similar to that of a single MPA can be obtained for the optimal values of the holes pitch that achieve unit absorption as

2 , , opt1 opt1 2 1 2 1 max arg , T Λ Λ Λ Λ = Λ Λ grad , (7)

( )

( ) ( ) ( )

anu] PeIUY [POL P 8 s sg _ 12 ) x10

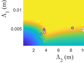
using constrained particle swarm optimization solver. The values for the causality integral are pre- sented in Figure 4 as a function of both unknown parameters.

A, (m) 0.01 0.005 6 8 A, (m) 1

Figure 4: Variations of the total reflected intensity ( ) 2 1 Λ Λ , T of a double-layer MPA with respect to MPP1 (resp. MPP2) holes pitch 1 Λ (resp. 2 Λ ). It can be appreciated that there is a “plateau” zone clearly defined delimited by an edge curve below which the total reflected intensity decays progressively. Along this curve, the total reflected

21-24 AUGUST SCOTTISH EVENT CAMPUS ? O? ? GLASGOW

intensity presents maximum sensitivity with respect to the MPA constitutive physical values. A set of different parameters have been selected considering different constraints on the criterion. Consid- ering the multi-variate causal criterion given by Equation (7) provides the red curve with circles in Figure 4. The blue triangle and the blue circle have been chosen considering the classical frequency- averaged absorptions 0 α and 1 α , situated in close proximity to the causal optimal state. The differ- ences provided in the absorption coefficient are presented in Figure 5 (a). The selection of the optimal parameters can also be carried out for a constrained search when the holes pitch of one of the micro- perforated panels is restricted to an interval of values due to physical constraints. The designated states for the causality criterion, and the frequency-averaged absorptions 0 α and 1 α are pointed out in Figure 4 as the black circle and the gray circle and triangle, respectively. The corresponding ab- sorption coefficients when selecting these optimal parameters are presented in Figure 5 (b).

Figure 5: (a) the MPA absorption spectra when optimizing the causal criterion [solid red – red circle in (Fig. 4, a)] and when maximizing the frequency-averaged absorptions 0 α [solid blue – blue cir-

cle in (Fig. 4,a)] and 1 α [dashed blue – blue triangle in (Fig. 4,a)]; (b) the MPA absorption spectra when optimizing the causal criterion [solid black – black circle in (Fig. 4,b)] and when maximizing the frequency-averaged absorptions 0 α [solid grey – circle grey in (Fig. 4,b)] and 1 α [dashed grey

1000 1500 2000 2500 3000 Frequency (Hz)

– grey triangle in (Fig. 4,b)] under the constraint m 10 12 m 10 8 3 2 3 − − ⋅ ≤ Λ ≤ ⋅ For the unconstrained optimization (Figure 5 (a)) it can be seen that the absorption spectrum pre- sents two different Helmholtz resonances. The selected states provide similar absorption coefficients. However, perfect absorption at both characteristic frequencies is only warranted when the selection is done by the causality-constraint criterion. The frequency-averaged absorption coefficients provide over-damped solutions although the frequency bandwidth is broader at high frequencies. When con- sidering the constrained optimization (Figure 5 (b)) it is appreciated that, due to the limitations im- posed on the physical parameters, perfect absorption is achieved at one particular frequency. The classical frequency-averaged absorption 1 α presents an absorption curve very similar to the one pro- vided by the causality criterion. The criterion 0 α only provides a sub-optimal solution although it extends over a wider frequency band in the high frequencies.

09 wordrosqy a e@ + ge s Ss 6 0d uOLydiosqy 500 1500 2000 2500 3000 Frequency 1000 500 (Hz)

21-24 AUGUST SCOTTISH EVENT CAMPUS ? O? ? GLASGOW

4. CONCLUSIONS

To enhance absorption and avoid transmission of environmental noise without the introduction of active or massive components, layouts of panels with micro-slits or micro-perforations have been considered as a non-fibrous alternative to conventional silencers. Although they present interesting low-frequency content properties, it is essential to perform an appropriate selection of the constitutive parameters related to the problem required constraints. A classical approach has considered the max- imization of the total frequency-weighted absorption criteria. As an alternative, in this work, we have presented a causal-based optimization criterion that correlates the thickness-to-bandwidth ratio of an absorber to its ultimate absorption performance. We have provided an exact relationship for the re- flection coefficient of a one port micro-perforated absorber in terms of the integral of causality that quantifies the total reflected intensity. We have illustrated the capabilities of this methodology for a rigid single-layer and double-layer MPA. It has been shown that the causality criterion is able to provide an optimized state that achieves perfect absorption at the Helmholtz resonances. This char- acteristic cannot be guaranteed when considering the weighted-frequency averaged criterion. 5. ACKNOWLEDGEMENTS

This study was funded in Spain by the Ministerio de Economía y Competitividad project TRA2017- 87978-R, AEI/FEDER, UE, and the mobility program ILINK+2022. It was supported in France by the ANR VIRTECH (ANR-17-CE10-0012-01). 6. REFERENCES

1. Attenborough, K. & I. L. Vér, I. L. Sound-Absorbing Materials and Sound Absorbers, Chapter 8 in: Noise and Vibration Control Engineering, 2nd Edition by Vér I. L. and Beranek L. L., John Wiley & Sons, Inc., Hoboken, New-Jersey, 2006. 2. Allam, S. & Åbom, M. A new type of muffler based on microperforated tubes, ASME Journal of Vibration and Acoustics, 133(3) 031005 (2011). 3. Maa, D. Y., Potential of microperforated panel absorbers, Journal of the Acoustical Society of America, 104 , 2861–2866, (1998). 4. Li, D., Chang, D., Liu, B. & Tian, J., Improving sound absorption bandwidth of micro-perforated panel by adding porous materials, Proceedings of INTER-NOISE 2014, paper 264, Melbourne, Australia, 16-19 November 2014. 5. Bravo, T., Maury, C & Pinhède, C., Sound absorption and transmission through flexible micro- perforated panels backed by an air layer and a thin plate, Journal of the Acoustical Society of America, 131 , 3853–3863 (2012). 6. Rozanov, K.N., Ultimate thickness to bandwidth ratio of radar absorbers, IEEE Transactions of Antenna Propagation 48 , 1230-1234 (2000). 7. Yang, S. Chen, C. Fu and X. Sheng, Optimal sound-absorbing structures, Materials Horizon 4, 673-680 (2017). 8. Norris, A.N., Integral identities for reflection, transmission, and scattering coefficients, Journal of the Acoustical Society of America, 144 , 2109–2115, (2018). 9. Bravo, T., Maury, C. Causally-guided acoustic optimization of single-layer rigidly-backed micro- perforated partitions: Theory, Journal of Sound and Vibration, 520 , 116634 (2022). 10. Bravo, T., Maury, C. Causally-guided acoustic optimization of single-layer rigidly-backed micro- perforated partitions: Case studies and experiments, Journal of Sound and Vibration, 523 , 116735 (2022).

21-24 AUGUST SCOTTISH EVENT CAMPUS ? O? ? GLASGOW