Welcome to the new IOA website! Please reset your password to access your account.

Prediction methodology and assessment of low frequency noise break- in for a science building Christos Karatsovis 1 ISVR Consulting, University of Southampton University Road, Highfield, Southampton, SO17 1BJ Erika Quaranta 2 ISVR Consulting, University of Southampton University Road, Highfield, Southampton, SO17 1BJ

ABSTRACT

More often than not the effects of anthropogenic (or man-made) noise are evident in all facets of the built environment: from residences and offices through to state-of-the-art research and development facilities. Often, external ambient noise can penetrate the fabric of these buildings and adversely affect, for instance, human symbiosis on a socio-political level or mar the outcome of research in R&D facilities. The principles of acoustic design of buildings are mainly limited to a specific frequency range, i.e. within the standard sonic range, and usually do not account for the effect of lower frequency noise, such as sound in the less audible range. It is in the remit of this work to outline a method of estimating the impact of lower frequency noise on a building housing particularly sensitive scientific tools. An analytical model of the excitation mechanism of the external building fabric will therefore be outlined and used in tandem with a structural/acoustical numerical model of a science building in order to predict the low frequency acoustic levels within the laboratories. A set of measured noise data in the actual laboratories will also lend a level of support to the described method of predictions .

1. INTRODUCTION

Human perception of low frequency sound is often associated with the lower end of the full frequency spectrum of hearing from 20 to 20,000 Hz. Sound below 20 Hz is typically described as infrasound and not considered as being a part of human perceptibility on the grounds that is inaudible. That being said, humans can still perceive infrasound and that itself reflects clear differences in hearing thresholds and sensitivities amongst different individuals [1]. The hearing thresholds are indeed rather variable between individuals depending on their genetics, prior noise exposure and age. Infrasound at adequately high levels is also clearly audible [2], while body vibrations can be triggered following high-levels of low frequency noise [3]. Additionally, the upper limit of low frequency is not firmly determined in the literature; it could either be 250 Hz [1] or 100 Hz [4] for instance, depending on the context and application. Regardless, it is documented robustly that anthropogenic noise sources 1 Christos@soton.ac.uk

2 E.Quaranta@soton.ac.uk

associated with infrastructure, such as road, railway and aircraft, which can all be sources of low frequency noise, can have an effect on the health and wellbeing of individuals [5]. Low frequency noise effects can cover impairment on performance and cognition, communication and psychosocial issues, sleep disturbance, mental health and physiological impacts (endocrine and cardiovascular effects, etc.) [1]. One of the main metrics of human perception and annoyance uses a time-integrated sound pressure level with the A-weighting frequency network, which accurately emulates the perceived auditory sensitivity of the ear at low to medium noise levels, while placing less emphasis on the low frequencies. However, some studies have considered the use of the G-weighting, which can be used to determine human annoyance due to infrasound for sounds below 20 Hz. The latter network was standardised with ISO 7196 and is used by some countries [6].

Moving away from the topic of human perceptibility, there lies the low frequency sensitivity of tools (or instrumentation) found in science buildings and laboratory settings. It is well known that state-of-the-art science facilities housing equipment require as little influence as possible from sources of vibration, such as low-frequency footfall from people walking within the building, mechanical plant, transportation noise in the near and far vicinity, and so forth. Vibration-sensitive experimental work may involve the use of lasers, super-cooled magnets, various analytical instruments, such as Scanning Tunnelling Microscopes (STMs) and Atomic Force Microscopes (AFMs). Most of these sensitive processes require a high-level of imaging resolution and normally are housed in areas which are as far away as possible from the influence of vibration [7]. It therefore is often the case that highly sensitive instrumentation is mounted directly on top of a special table with a stiff honeycomb core plate to maximise dynamic rigidity, while the stiff plate is in turn supported on pneumatic isolators for dynamic decoupling from the rest of the building and external vibration influences. The same design principle applies in the case of large, high-tonnage, monolithic concrete keel blocks supported on air springs with very low natural frequencies. These design principles have raised the issue of whether acoustics forces could adversely affect the performance of such vibration mitigation measures; for instance, the excitation of acoustic modes in a laboratory room by infrasound and the potential efficient coupling of the room modes with a pneumatically supported large inertia concrete block [8].

Furthermore, and regardless of the impact on the vibration isolation of a sensitive tool, low frequency noise can also have a direct effect on the tool itself. In particular, the operation of Scanning Electron Microscopes (SEMs) or Transmission Electron Microscopes (TEMs) can be affected by low frequency noise in the room, since the tool’s operating resolution or magnification factor is a function of its sensitivity to various factors. For this reason, generic noise criteria curves, also known as NCTs, have been devised for such tools, which may go well below (as low as the 4 Hz octave band centre frequency) the typical NR or NC curves used in standard noise control design [9]. For instance, the NR curves used for standard acoustic design in buildings and occupied spaces have mainly been developed for the design of indoor spaces susceptible to mechanical ventilation noise within a standard sonic range, so they do not cover any lower frequency noise implications associated with sensitive tools in laboratory settings.

Predicting the impact of low frequency noise, which goes beyond the lower bounds of standard acoustic control methods, all the way down to a few Hz is also challenging. This issue becomes further apparent with the lack of data, such as sound insulation performance of partitions used in newly built laboratory environments. For instance, the measurement of airborne sound insulation of building elements is often limited to 100 Hz (or optional down to 50 Hz) [10], so it is not possible to ascertain experimentally their acoustic performance at much lower frequencies. In addition, the presence of low frequency acoustic modes in laboratory environments could have a substantial effect in terms of how the resulting sound pressure ultimately manifests in the acoustic space.

Traditional Finite Element Analysis (FEA) methods are now often used to model complete buildings in order to predict the dynamic (or vibration) behaviour of laboratory slabs. Typically, the starting point is a 3D CAD geometry of the building, supplied by either the architects or structural engineers of the project, which can then be used to develop the baseline model of the building, e.g.

structural components, foundation layout, etc. [7]. The FEA model can then be used to assess the vibration response in sensitive laboratory environments under certain vibration excitation conditions.

However, it is our view that some FEA models could be extended further to include the acoustic spaces bound by the laboratories spaces, which would house the sensitive tools. It therefore is possible to develop a fully coupled structural/acoustical model for the laboratory spaces pertinent to a new building in order to predict noise break-in from external influences at any desired low frequency. Hence, it is in the remit of this paper to present a method of estimating the impact of low frequency noise break-in for a science building by using a full numerical representation of the building while the excitation of the facades is based on a standard analytical method.

2. METHODOLOGY

A fully coupled structural/acoustical FEA model was used to predict transmission of external low- frequency noise, below 50 Hz, breaking in to the sensitive acoustic spaces of a science building. As mentioned earlier, the numerical model is an extension of the basic FEA vibration model with the addition of coupled acoustic spaces representing the corridors, labs spaces and service voids as shown in Figure 1:

Figure 1: FE structural model of a science building showing all internal structural layout (excluding the roof), and modelled acoustic spaces shown in grey separately. In the FEA model, three surfaces were identified as likely to be loaded by an external sound field: two facades (north and south) and the roof. Each of them was divided into several surface elements and each element was loaded by a unitary structural pressure load independently. The resulting acoustic pressure due to excitation of each single element load was evaluated in the labs. A purely analytical framework was then used to combine them to simulate the effect of a diffuse acoustic field impinging each of the three external surfaces.

The sound field was modelled using a direct sampling procedure. The idea was to sum up the acoustic pressure due to a unitary load applied on each element using the amplitude equivalent to a set of plane waves coming from various directions as shown in Figure 2:

Figure 2: Diffuse sound field model using plane waves coming from various directions. A diffuse sound field impinging on a surface 𝑆 𝑤 can be modelled by superimposing a number of incident plane waves coming from an outside hemisphere of radius R [11]. If each spherical element is identified by an azimuth angle 𝜑 𝑖 and a zenith angle 𝜓 𝑖 as in Figure 2, for each surface element 𝑆 𝑤 𝑙 on the surface 𝑆 𝑤 , distant 𝑥⃗ 𝑙 from the spherical element 𝑆 𝑖𝑗 , the incident pressure for unitary amplitude is given by:

𝑝 𝑖𝑛𝑐 𝑖𝑗𝑙 = 𝑒 −𝑖𝑘𝑛⃗⃗ 𝑖𝑗 ∙𝑥⃗ 𝑙 , (1)

where the wavenumber 𝑘= 2𝜋𝑓/𝑐 , for 𝑓 the frequency and 𝑐 the speed of sound, and the vector:

𝑛⃗⃗ 𝑖𝑗 = (cos 𝜓 𝑖 , sin 𝜓 𝑖 cos 𝜑 𝑖 , sin 𝜓 𝑖 sin 𝜑 𝑖 ), (2) For a uniform division of the sphere in 𝑁 𝜑 × 𝑁 𝜓 elements ∆𝜓=

𝜋

2 /𝑁 𝜓 and ∆𝜑= 2𝜋/𝑁 𝜑 , the area element is:

𝑆 𝑖𝑗 = 𝑅 2 (cos𝜓 𝑖 −cos(𝜓 𝑖 + ∆𝜓 𝑖 ))∆𝜑 , (3) If the acoustic pressure 𝑝 𝑙 is evaluated in the building for a unitary incident pressure applied to the element surface 𝑆 𝑤 𝑙 , the root mean square of the sum of all the contributions due to each element 𝑆 𝑤 𝑙 for the incident plane wave coming from the 𝑆 𝑖𝑗 element is:

2 𝑆 𝑖𝑗

2 = 1

𝑝 𝑟𝑚𝑠 𝑖𝑗

, (4)

2 |∑𝑝 𝑙 ∗ 𝑝 𝑖𝑛𝑐 𝑖𝑗𝑙 𝑙

|

𝑆 𝑡𝑜𝑡

Each contribution is weighted by the element area 𝑆 𝑖𝑗 over the total area of the hemisphere 𝑆 𝑡𝑜𝑡 , therefore adding the effect of each plane wave independently gives the total 𝑝 𝑟𝑚𝑠 as:

𝑝 𝑟𝑚𝑠

2 = ∑ 𝑝 𝑟𝑚𝑠 𝑖𝑗

2

(5)

𝑖𝑗

In this analysis the acoustic pressure in the building was evaluated by applying a unitary structural pressure load on each element 𝑆 𝑤 𝑙 , therefore we needed to express the incident pressure 𝑝 𝑙 in terms of the total pressure loading the surface. We used the well-known “pressure doubling” effect [12]. At a rigid surface, the sound field can be decomposed into incident and scattered. The acoustic velocity

normal to the surface must be zero, hence the scattered field is equal and opposite to the incident field and the total pressure is double the incident pressure, i.e. 𝑝 𝑙 = 2, which is also independent of the incident angle.

The structural model accounted for the main blockwork walls partitioning the labs, but the effect of the finishing plasterboard was modelled later during post-processing by using the mass law of the transmission loss for a diffuse sound field in air [13], which in dB is:

𝑇𝐿 = 20 log (𝑚𝑝𝑏 𝑓) −47𝑑𝐵. (6) where 𝑚𝑝𝑏 is the mass per unit area of the plasterboard, equal to 16.25 𝑘𝑔/𝑚 2 .

The acoustic pressure was evaluated in several locations inside the four main labs of the science building in question and then averaged, based on the low-frequency technique of BS EN ISO 16283- 1: 2014+A1: 2017 [14], giving weight ‘1’ to the values of pressure at points in the proximity of the room corners and weight ‘2’ when the location is away from the room corners.

The science building was situated in the direct flight path of a busy airport in Europe, so an aircraft noise spectrum was measured in-situ by a third party using a standard sound level meter prior to building construction. The latter measured sound pressure level (SPL) between 12.5 and 50 Hz, due to a typical aircraft flyover, was ultimately used to scale the diffuse sound field exciting the building in the numerical predictions.

Further acoustic (and infrasonic) tests with specialist instrumentation, between 2 and 50 Hz courtesy of Hoare Lea Partners, were carried out inside the labs of the science building following construction and final commissioning. Testing within the actual labs was carried out over relatively long periods of time in order to integrate adequately low frequency energy down to 2 Hz. It is also reasonable to assume, especially given the proximity of the building to one of the busiest airports in the world, that the measurements within the labs of the science building included aircraft flyovers the majority of the time, although it was not possible to verify this visually while being inside the building.

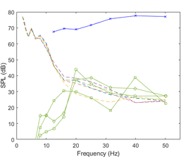
Figure 3 shows the comparison between the measured and predicted data for each lab within the building. The blue line is the aircraft SPL input exciting the external fabric of the building, the dashed lines are the values measured in various locations in the labs and the marked lines are the predicted SPL depending on which area of the building (facade or roof) was loaded by the diffuse sound field; the south facade (-o-), the north facade (-□-) or the roof (-◊-):

Figure 3: Comparison between the measured data (dashed lines) and the predicted data in the four labs; Lab 1 (black), Lab 2 (purple), Lab 3 (red) and Lab 4 (green), for the acoustic loading on the south facade (-o-), the north facade (-□-) or the roof (-◊-). The blue line is the aircraft SPL as measured outside the building.

It is evident that there is good correlation (ranging between 1 and 10 dB) between the predicted and measured SPL data in the low frequency range between 20 and 50 Hz. There is a significant discrepancy below 20 Hz since the acoustic measurements within the commissioned building had been undertaken with all mechanical plant operating in the background. Some of the sub 20 Hz noise should be attributed to the long ductwork feeding the labs from the large air handling unit (AHU) supply and extract fans in the plant room area nearby. In essence, energy below 20 Hz was most likely associated with mechanical noise from the low frequency AHU fans in the plant room with an element of acoustic propagation in the actual ductwork. Other sources of low frequency noise may have included the operation of several pumps, including other pipework and ductwork routed between the plant room and labs.

eerie

It is also interesting to note that some features of the measured spectra are reproduced in the predicted data. The peak at 20 Hz is especially evident when the south facade is excited in the numerical model, while a less strong peak is present in the test data. On the other hand, a trough can be identified at 31 Hz when the sound field impinges the north facade, and this also is reproduced in some of the measured spectra. During the actual measurements, it was impossible to distinguish if sound was coming from one or another side of the building, therefore we can assume that the measured data was affected by a combination of the three acoustic loading conditions used in the

simulations. The measured data in essence appears to include features that can be seen in all three different loading cases.

4. CONCLUSIONS

The human perceptibility of noise and sensitivity of instrumentation in science buildings to low frequency sound is well documented, but the current methods of assessing the impact of sound break- in are limited by the lower bounds of standard acoustic design. It was therefore in the remit of this paper to outline a practical, engineering method of predicting the effect of low frequency, sub 50 Hz, noise break-in for a science building by combining a full acoustical/structural FEA model with an analytical model of a diffuse sound field using plane waves coming from various directions. The external excitation was scaled using an aircraft flyover spectrum as measured on site prior to building construction. Following the aforementioned analysis, the predicted data were eventually compared with another set of acoustic measured data within the actual labs of the building after construction and final commissioning. There was good correlation between the measured and predicted data sets in the frequency range between 20 and 50 Hz within the labs of the science building. Acoustic energy below 20 Hz was likely dominated by mechanical noise and ductwork serving the labs and was not accounted for in the set of low frequency noise predictions. 5. ACKNOWLEDGEMENTS

We gratefully acknowledge the contribution from Hoare Lea Partners for providing relevant measured acoustic data for the demonstrated project in question. 6. REFERENCES

1. Berglund, B., Hassmén, P. & Soames Job, R. F., Sources and effects of low-frequency noise, Journal of Acoustical Society of America , 99(5) , 2985-3002 (1996). 2. Leventhall, G., What is infrasound?, Progress in Biophysics and Molecular Biology, 93 , 130-137 (2007). 3. Leventhall, G., Low frequency noise. What we know, what we do not know, and we would like to know, Journal of Low Frequency Noise and Active Control , 28(2) , 79-104 (2009). 4. Backteman, O., Köhler, J., & Sjöberg, L., Infrasound-tutorial review: Part 1, Journal of Low Frequency Noise and Vibration , 2 , 1–31 (1983a). 5. World Health Organization publication, Environmental noise guidelines for the European region , ISBN 978 92 890 5356 3, 2018. 6. ISO Publication, Frequency-weighting characteristics for infrasound measurements , ISO 7196: 1995. 7. Karatsovis, C. & Smith, M., Vibration modelling and performance evaluation of specialist buildings: a designer’s approach, 24 th International Congress on Sound and Vibration , London, U.K., 23-27 July, 2017. 8. MacLeod, B.P., Hoffman, J. E., Burke, S. A. & Bonn, D. A., Acoustic buffeting by infrasound in a low vibration facility, Review of Scientific Instruments , 87 , 093901 (2016). 9. Gendreau, M. L., Generic noise criterion curves for sensitive equipment, Proceedings of INTER-NOISE 2012 , New York City, U.S.A., 19-22 August (2012). 10. BSI Standards Publications, Acoustics – laboratory measurements of sound insulation of building elements , BS EN ISO 10140: 2021. 11. Pierce, A. D., Acoustics - an introduction to its physical principles and applications, McGraw- Hill, New York, 1994. 12. Fahy, F. J., Sound and structural vibration , Academic press, 1987. 13. Bies, D. A. & Hansen, C. H., Engineering noise control: theory and practice , 4 th Edition, Spon Press, Taylor & Francis Group, 2009. 14. BSI Standards Publications, Acoustics – field measurement of sound insulation in buildings and of building elements , BS EN ISO 16283-1: 2014+A1: 2017.