Welcome to the new IOA website! Please reset your password to access your account.

Inverse Design of Linear and Nonlinear Cylindrical Metamaterial Rod Pravinkumar Ghodake Indian Institute of Technology Bombay IIT Area, Powai, Mumbai, Maharashtra, India 400076

ABSTRACT Continuum elastic metamaterials can be used to reduce system-generated 2 nd harmonics, and they should also pass the fundamental harmonics during nonlinear ultrasonic testing. Linear metamaterials are designed based on the bandgap structure of the periodic layered materials showing contrast in acoustic impedances. A parametric sweep calculates design parameters such as widths of the periodic layered elastic materials by solving eigenvalue problems and the transfer matrix method. Most design studies assume infinitely long periodic elastic layers, but in practice, the length of metamaterial is limited by the reduction in fundamental amplitude of input short pulse. Though the linear metamaterials are designed for nonlinear ultrasonic applications, considering geometric and material nonlinearity of the layered elastic materials, which contributes to harmonic scattering, the sensitivity of widths of layered materials to amplitudes of the 2 nd harmonics, along with the linear interference, is the most realistic modeling approach. In this study, linear and nonlinear metamaterials are designed using shape optimization techniques by solving transient finite element studies considering real geometric and material models. Gradient-free algorithms such as coordinate search and Nelder Mead are used during optimization. Effective design approaches are proposed and demonstrated to control longitudinal modes in a cylindrical rod.

1. INTRODUCTION

The sensitivity of nonlinear ultrasonics due to its higher frequencies towards early-stage damages of micro and nanoscale demonstrates its increased importance in structural health monitoring applications. Interaction of elastic waves with early-stage damages modeled as nonlinear elastic solids in theoretical and computational studies shows the generation of higher harmonics also demonstrated by various experimental studies. In nonlinear ultrasonic experiments measuring amplitudes of the higher harmonics such as 2 nd harmonics ( 2f ) has the topmost importance as it is directly proportional to the intensity of early-stage damage present inside the material. During actual practice, system-generated harmonics due to input power to the power amplifier, during power amplification, through wires, transducers, etc., are also introduced, which tries to mask the actual response of early-stage damages present inside the solids [1]. To avoid such masking, Mostavi et al. [2] designed elastic metamaterial using a trial-and-error method. They demonstrated an enhancement in the measurement of 2 nd harmonics experimentally due to metamaterials.

The nonlinear ultrasonic applications are not only limited to bulk waves; they are also extended for guided waves when a wave propagates through constrained geometries such as plates and rods. Sandeep Kumar et al. [3] proposed a new type of cylindrical metamaterial that blocks system generated 2 nd harmonics. They have designed the cylindrical metamaterial by looking into the dispersion curves obtained by solving multiple eigenvalue problems along with the frequency sweeping and manually varying the geometric parameters of the metamaterials. In this study, very compact layered cylindrical metamaterials are designed using an inverse design approach. In this

proposed inverse design approach, only input layered materials and their geometry (cylindrical) are the only things needed to decide on the design. Finding optimal geometric parameters is done by proposing an appropriate optimization problem and solving them effectively.

Generally, metamaterials are designed through various methods such as the transfer matrix method, solving eigenvalue problems, etc., [2-3] where passing and stopping bands of the metamaterials are tuned by doing vast parametric sweeping. In the proposed approach, the objective functions are defined to control the time response of the output wave, which is indirectly reflected in manipulations in the frequency domain. In the traditional design, approach theories are proposed and implemented based on the assumption that the unit cell of metamaterial is repeated infinite times, which is not valid in practice most of the time and is the critical thing to consider when nonlinear ultrasonic applications are regarded as high-frequency waves might get attenuate in a metamaterial itself whereas we have to pass the output wave with 1 st harmonics and without 2 nd harmonics to the actual specimen for early-stage damage quantification. The proposed inverse design approach works for designing very short metamaterials to long metamaterials. A similar application of the proposed application to control bulk waves can be seen here [4]. 2. PROBLEM DEFINITION

Schematics of considered layered metamaterial are shown in Figure 1. Unit cells of glass and steel material layers are repeated periodically along the length of the cylinder. The assumption is that during the nonlinear ultrasonic testing, steel specimens are used, so the base material steel is chosen as a part of a metamaterial. An additional steel layer is added to avoid the initial impedance mismatch between the transducer and the first layer (Figure 1). In contrast, such adjustments are challenging using other methods such as the transfer matrix method, solving eigenvalue problems related to the unit cell of phononic crystal, and parametric sweeping.

The inverse design approach includes defining a forward problem by conducting finite element simulations, and then the design parameters of the metamaterials are optimized by defining an appropriate objective function. In this study, design variables are the widths of glass ( W G ), steel ( W S ), and the total length ( L ) of the cylindrical metamaterial. All these variables are optimized simultaneously using gradient-free algorithms such as Coordinate Search (CS) and Nelder Mead (NM) after every iteration solving forward axisymmetric time-dependent finite element simulations carried out using COMSOL Multiphysics. Axial displacement is applied at the left end of the computational domain. The optimization was carried out using Matlab by connecting COMSOL Multiphysics and Matlab. Gaussian pulses are used as an input signals of frequencies f 1 = 2 MHz and f 2 =2f 1 = 4 MHz . During the design of linear metamaterials, linear material properties of the layered materials are considered, whereas, during the inverse design of nonlinear metamaterials, nonlinear material properties of steel layers are modeled as the Murnaghan material model [5].

Figure 1: Schematics of the layered cylindrical metamaterial rod. The cylindrical disks of glass and steel are arranged periodically across the length (z) with a radius of 5 mm. To avoid a sudden impedance mismatch between transducers ( T 1 and T 2 ) and metamaterials, an extra steel layer is added to the left end of the metamaterial.

The inverse design of metamaterials is divided into the inverse design of linear metamaterials and nonlinear metamaterials. Both the objectives are used to demonstrate their effectiveness during the design of linear metamaterials, as shown in Figures 2-7. During the design of nonlinear metamaterials, the nonlinear material layers generate higher harmonics as it is sandwiched between linear materials, which will trigger harmonic scattering, making the complete design process very complex. Due to this reason, and as there aren’t any appropriate design approaches available for the design of such nonlinear metamaterials which directly control time responses, the proposed approach is effective.

In practice, we won’t get a linear steel material, so considering the nonlinear material model increases the realistic modeling of nonlinear wave propagation through the inversely designed nonlinear metamaterial. So, the objective during the design of the nonlinear metamaterial will be to reduce all the nonlinearities coming from the instrumentation and also generated due to local nonlinear elastic materials of the metamaterial itself by defining appropriate objective function such as Objective 2 (Eq. 2). The optimization algorithms, in this case, will try to reduce local harmonic generation and cancel out the harmonically scattered waves along with the system-generated waves by choosing the total length of the metamaterial ( L ) along with the individual widths of glass ( W G ) and steel ( W S ).

The objective functions are defined in two different ways as follows Objective 1 : By proposing a minimization optimization problem, reduce the amplitude of 2nd harmonics only by passing Gaussian pulse of frequency f 2 =2f 1 = 4 MHz . Mathematically it is represented as

𝑇𝑆𝑖𝑚

SF ∫ 𝑈 𝑧𝑇2 𝑑𝑡

(1)

0

Objective 2 : minimize the 2 nd harmonics but also maximize 1 st harmonics, which is most preferred in nonlinear ultrasonics application and is one of the challenging things when we use other design approaches. The min-max problem is defined as a single minimization problem by defining the difference between the time-dependent signal received at the other end ( T 2 ) having both the harmonics and delayed expected 1 st harmonics Gaussian pulse. Mathematically it is represented as

𝑇𝑆𝑖𝑚

SF ∫ {𝑈 𝑧𝑇2 −𝑈 𝑧𝐸𝑥𝑝 }𝑑𝑡

(2)

0

where, U zT2 is axial displacement averaged over the cross-section of the cylinder at transducer 2 ( T 2 ), U zExp is the expected output Gaussian pulse with frequency f 1 = 2 MHz, TSim is a simulation time, and SF is the scaling factor that scales objective functions to appropriate values so that the optimization algorithms will complete their iterations smoothly. Input wave during Objective 1 contains Gaussian pulse with frequency f 2 =2f 1 = 4 MHz , and during Objective 2 contains Gaussian pulse with frequencies f 1 = 2 MHz and f 2 =2f 1 = 4 MHz. The results are discussed in the next section. 3. RESULTS AND DISCUSSION

Linear metamaterials are designed using two different objectives (Objective 1 & Objective), whereas nonlinear metamaterials are designed using only one (Objective 2) goal. In Case Study I, linear metamaterial that satisfies Objective 1 is designed. In Case Study II, linear metamaterial that meets Objective 2 is designed. In Case Study III, a nonlinear metamaterial that satisfies Objective 2 is designed. Finally, a comparison of the responses of the inversely designed metamaterials is shown and discussed. The aim of the designed metamaterial for the nonlinear ultrasonic testing is to suppress the amplitude of the second harmonics ( f 2 =2f 1 = 4 MHz ) generated due to instrumentation and maintain the amplitude of fundamental input frequency ( f 1 = 2 MHz ) as maximum as possible. Objective 1 considers the reduction of the amplitude of the only 2 nd harmonics ( f 2 =2f 1 = 4 MHz ),

whereas Objective 2 minimizes the amplitude of 2 nd harmonics and maximizes the amplitude of 1 st harmonics simultaneously; for this reason, only Objective 2 is used during the design of nonlinear metamaterials in Case Study III. Case Study I

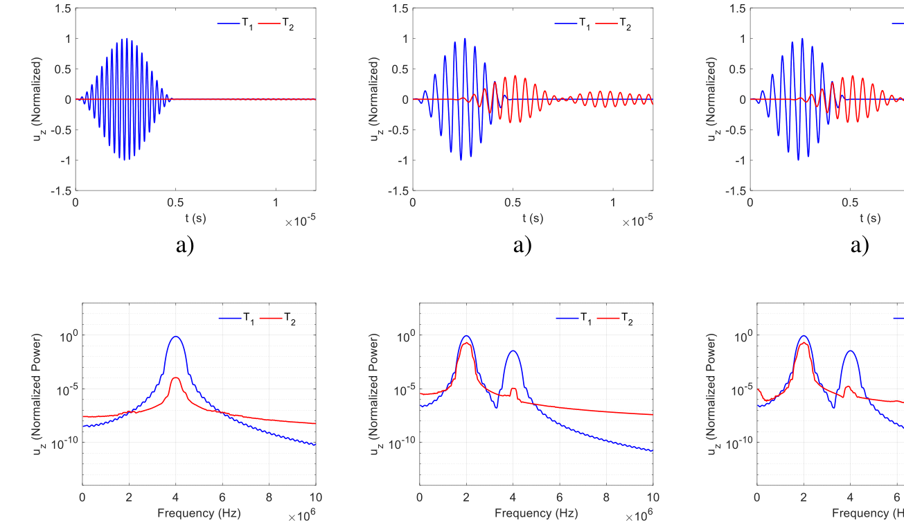
The finite element study used during optimization is a linear finite element study in which linear material models of both materials are implemented. In this study, the linear metamaterial is designed by obtaining optimal geometrical parameters ( W G , W S , & L ) of the layered linear metamaterial that satisfies Objective 1. Objective 1 (Eq. 1) is defined to reduce the amplitude of wave with frequency f = f 2 =2f 1 = 4 MHz (only 2 nd harmonics). The inversely designed linear metamaterial using optimal geometric parameters shows time (Figure 2(a)) and frequency (Figure 2(b)) responses as shown in Figure 2 when a Gaussian pulse with frequency f 2 =2f 1 = 4 MHz is passed through the metamaterial. Reduction in the amplitude of the 2 nd harmonics can be seen in Figure 2(b). In all the power spectrums plotted in this article, the responses noted at the second transducer ( T 2 ) are normalized by the maximum power amplitude of the input signal sent from the first transducer ( T 1 ). Both the NM and CS algorithms are used for the design optimization independently. Here the results obtained using the NM method are presented, as on an overall basis, NM performs better in comparison with the CS algorithm, especially during the design of nonlinear metamaterials, which we will discuss in Case Study III.

a) a) a)

b) b) b) Figure 2: Time and frequency responses at transducers T 1 and T 2 when an elastic pulse of frequency f 2 is passed through the inversely designed linear metamaterial using the NM algorithm to minimize Objective 1.

Figure 3: Time and frequency responses at transducers T 1 and T 2 when an elastic pulse of frequency f 1 and f 2 is passed through the inversely designed linear metamaterial after minimizing Objective 1 for the inverse design of linear metamaterial.

Figure 4: Time and frequency responses at transducers T 1 and T 2 when an elastic pulse of frequency f 1 and f 2 is passed through the inversely designed nonlinear metamaterial after minimizing Objective 1 for the inverse design of linear metamaterial.

Though the linear metamaterial is designed to reduce the amplitude of 2 nd harmonics only, it should satisfy the primary purpose of passing 1 st harmonics and reducing 2 nd harmonics as required during nonlinear ultrasonic testing. The exact optimal geometries obtained corresponding to Figure 2 are used to cross-validate the thing that whether the designed linear metamaterial reduces 2 nd harmonics and passes 1 st harmonics or not by passing a Gaussian pulse with frequencies f 1 = 2 MHz and f 2 =2f 1 = 4 MHz, as shown in Figure 3(a). Figure 3(b) indicates a reduction in 2 nd harmonics and passes the 1 st harmonics. Even if the designed linear metamaterial passes 1 st harmonics slight decrease in the 1 st harmonics is also observed.

Similarly, the same old optimal design parameters corresponding to Figure 2 are used for cross-validation of nonlinear metamaterial, as shown in Figure. Here, the optimal geometrical parameters are kept the same, but the nonlinear material models are considered for the cross- validation. Time responses look nearly similar (Figure 4(a)), and amplitudes of both 1 st and 2 nd harmonics are also nearly the same for linear and nonlinear metamaterials (Figure 4(b) & Figure 3(b)). But, due to material nonlinearity and harmonic scattering other higher harmonics ( f 3 =3f 1 = 6 MHz, & f 4 =4f 1 = 8 MHz ) along with the static term ( f 0 =0f 1 = 0 MHz ) show their presence as seen from Figure 4(b). After comparing Figures 2-4, we can conclude that even though we had designed a linear metamaterial to stop only 2 nd harmonics (Objective 1), the same obtained optimal geometries also satisfy Objective 2 indirectly and for both the linear and nonlinear material models to some extent (Figure 3 & Figure 4).

Case Study II

Here in this study, a linear metamaterial is designed inversely that satisfies Objective 2 (Eq. 2). Objective 2 aims to achieve the exact requirement needed during nonlinear ultrasonics testing. We want to reduce the amplitude of 2 nd harmonics by keeping the amplitude of 1 st harmonics as maximum as possible. This newly proposed time-dependent inverse design approach makes targeting such time-dependent objective functions easy, indirectly controlling the frequency responses. The linear material models are used during optimization as we design linear metamaterials that satisfy Objective 2. The time (Figure 5(a)) and frequency (Figure 5(b)) responses of the inversely designed linear metamaterials using optimal geometrical parameters obtained after the optimization process shows a reduction in the 2 nd harmonics and maintaining the amplitude of 1 st harmonics as high as possible when the wave is received at 2 nd transducer ( T 2 ). A clear difference between targeting Objective 1 and Objective 2 for the inverse design of linear metamaterials can be seen by comparing the time responses shown in Figures 3(a) and 5(a). Comparing Figure 3(a) and Figure 5(a) shows the presence of only one Gaussian-shaped pulse in Figure 5(a), whereas two Gaussian pulses are present in Figure 3(a). Objective 2 is defined in such a way that it tries to maintain the shape of the input Gaussian pulse of fundamental frequency along with reducing the amplitude of 2 nd harmonics. But, Objective 1 targets to reduce 2 nd harmonics, so it doesn’t care about the shape/s of the output pulses, as seen from Figure 3(a). From this discussion, we can conclude that Objective 2 is the relatively better objective function for the applications such as nonlinear ultrasonic testings. On the other hand, the computational time and efforts needed for Case Study II are rather time-consuming and more challenging compared to Case Study I.

Interestingly we can see that the energy of 2 nd harmonics is transferred to higher harmonics though their amplitudes are negligible in comparison with 2 nd harmonics (Figure 5(b)). In most linear and nonlinear metamaterials designed for bulk waves [4], the energy from 2 nd harmonics is transferred to higher harmonics such as ( 3f, 4f, …). In cylindrical metamaterials, some of the power from 2 nd harmonics is assigned to ( 5/2) th and 4 th harmonics by skipping 3 rd harmonics. The observed skipping of 3 rd harmonics may be due to the multi-objective nature of the objective function as modes get converted from axial to radial modes or complex interactions between multiple harmonics or generation of stop band at 3 rd harmonics, especially for these particular optimal geometric parameters. This type of power transfer is a stimulating effect.

Optimal geometrical parameters obtained by solving an optimization problem for the design of a linear metamaterial are used to know whether the same geometrical parameters used to model nonlinear metamaterials will be helpful or not just by considering nonlinear material models (Figure 6). Frequency response at T 2 shows the reduction of 2 nd harmonics (Figure 6(b)). In comparison with linear metamaterial, the amplitude of 2 nd harmonics and (5/2) th harmonics is relatively decreased due to harmonic generation and harmonic scattering resulting in energy transfer to 0 th harmonics (static term) and 4 th higher harmonics (comparing Figure 5(b) & Figure 6(b)).

a) a) a)

b) b) b) Figure 5: Time and frequency responses when an elastic pulse of frequency f 1 and f 2 is passed through the inversely designed linear metamaterial using the NM algorithm to minimize Objective 2.

Figure 6: Time and frequency responses at transducers T 1 and T 2 when an elastic pulse of frequency f 1 and f 2 is passed through the inversely designed nonlinear metamaterial after minimizing Objective 2 for the inverse design of linear metamaterial.

Figure 7: Time and frequency responses at transducers T 1 and T 2 when an elastic pulse of frequency f 2 is passed through the inversely designed linear metamaterial after minimizing Objective 2 for the inverse design of linear metamaterial.

For completeness, when we send only 2 nd harmonics ( f 2 =2f 1 = 4 MHz ) pulse through inversely designed linear metamaterial that satisfies Objective 2, the time and frequency responses are shown in Figure 7.

Case Study III

In this Case Study, Objective 2 is used to design nonlinear metamaterial that suppresses 2 nd harmonics and passes 1 st harmonics. Design of nonlinear metamaterial considered material nonlinearity during the optimization process. Objective 2 seems to be the best choice compared to Objective 1 to design nonlinear metamaterials. It also takes care of all higher harmonics generated due to geometric and material nonlinearity of the metamaterial and harmonic scattering along with the system-generated higher harmonics (generally 2 nd harmonics).

The time and frequency responses of inversely designed nonlinear cylindrical metamaterials using optimal geometrical parameters ( W G = 200 μm, W S = 500 μm, & L = 6.8 mm ) are shown in Figure 8. Reduction in the amplitude of 2 nd harmonics and maximizing the amplitude of 1 st harmonics, which is highly preferred during nonlinear ultrasonic testing, is shown in Figure 8(b).

The optimal geometrical parameters of nonlinear metamaterials are used to cross-validate with the linear metamaterials using linear finite element models. The time and frequency responses are shown in Figure 9 and Figure 10. Though the time responses of the linear and nonlinear metamaterials look nearly the same (Figure 8(a) & Figure 9(a)), the frequency responses clearly show the difference (Figure 8(b) & Figure 9(b)). Amplitudes of the 1 st harmonics of both the nonlinear and linear responses at transducer T 2 are nearly the same (Figure 8(b) & Figure 9(b)). But, the reduction in 2 nd harmonics due to nonlinear metamaterial (Figure 8(b)) is sufficiently higher (y- axis is log scaled) in comparison with the decrease in 2 nd harmonics due to linear metamaterial (Figure 9(b)). Higher reduction is observed because of harmonics generation of nonlinear layers present in the nonlinear metamaterial and the corresponding complex harmonic scattering. The extra power reduced at second harmonics by nonlinear metamaterial is transferred to 3 rd harmonics and 0 th harmonics (static term) as seen from Figure 8(b) due to the complex interplay between harmonic generation and harmonic scattering. For completeness, when only second harmonics s sent through a linear metamaterial designed using optimal geometric parameters of the nonlinear metamaterial, the time and frequency responses are shown in Figure 10. Reduction in 2 nd harmonics can be seen clearly.

a) a) a)

b) b) b) Figure 8: Time and frequency responses when an elastic pulse of frequency f 1 and f 2 is passed through the inversely designed nonlinear metamaterial using the NM algorithm to minimize Objective 2.

Figure 9: Time and frequency responses at transducers T 1 and T 2 when an elastic pulse of frequency f 1 and f 2 is passed through the inversely designed linear metamaterial after minimizing Objective 2 for the inverse design of nonlinear metamaterial.

Figure 10: Time and frequency responses at transducers T 1 and T 2 when an elastic pulse of frequency f 2 is passed through the inversely designed linear metamaterial after minimizing Objective 2 for the inverse design of nonlinear metamaterial.

Similarly, the coordinate search (CS) algorithm is also used to demonstrate its effectiveness. CS struggles during the inverse design of nonlinear metamaterials when we are optimizing all three variables simultaneously. Once we decide the total length ( L) of the metamaterial from inversely designed linear metamaterials using the CS algorithm, we can optimize the remaining two design variables: the widths of glass and steel layers using either CS or NM algorithms. Though these strategies also give reasonable solutions, results obtained using the NM algorithm are presented in this article. As the optimization problem is nonlinear irrespective of whether we design linear or nonlinear metamaterial, all the discussed optimization strategies are different as multiple solutions are present. NM algorithm gives relatively better solutions for all the case studies due to the intrinsic nature of the algorithm; that’s the reason it is commonly used to solve nonlinear optimization problems. Comparison

We discussed various case studies in the previous section. Here we are comparing the case studies. The responses at the receiving transducer T 2 are normalized with a maximum amplitude of input signal sent from the transducer T 1 amplitudes corresponding to 1 st harmonics ( f 1 = 2 MHz ) are unity, as seen from Figures 11-13. In Case Study I, the linear metamaterial is designed to stop only second harmonics (Objective 1). In Case Study II, the linear metamaterial is designed to stop second harmonics and pass 1 st harmonics (Objective 2). In Case Study III, the nonlinear metamaterial is designed to stop second harmonics and pass 1 st harmonics (Objective 2).

Linear metamaterials designed using optimal geometries obtained in all case studies reduced the amplitude of second harmonics when a wave with frequency f = f 2 =2f 1 = 4 MHz (only 2 nd harmonics) is sent from transducer T 1 (Figure 11). Reduced amplitude of 2 nd harmonics (red curve) in Case Study I is less in comparison with the Case Study II (green curve); the possible reason behind it is that Objective 1 used in Case Study I targeted to reduce only 2 nd harmonics, whereas Objective 2 used in Case Study II has to make a proper balance between reduction of second harmonics and maximizing the amplitude of the 1 st harmonics. This explanation can also be validated in Figure 12 (red and green curves).

Figure 11: Comparison of Figure 2(b), Figure 7(b), and Figure 10(b). Frequency responses when an elastic pulse of frequency f 2 is passed through the inversely designed various linear metamaterials.

Figure 12: Comparison of Figure 3(b), Figure 5(b), and Figure 9(b). Frequency responses occur when an elastic pulse of frequency f 1 and f 2 is passed through the inversely designed various linear metamaterials.

Figure 13: Comparison of Figure 4(b), Figure 6(b), and Figure 8(b). Frequency responses when an elastic pulse of frequency f 1 and f 2 is passed through the inversely designed various nonlinear metamaterials.

Optimal geometrical parameters obtained in Case Study III show the highest reduction in the amplitude of the 2 nd harmonics, as seen in Figure 11 (black curve). Similarly, in Figure 12 and Figure 13, we can clearly say that optimal geometric parameters obtained for the inverse design of nonlinear metamaterials (Case Study III) are used to design both linear (Figure 12) and nonlinear (Figure 13) metamaterials, which show the best results. Case Study III for linear and nonlinear

metamaterials shows the maximum amplitude of the 1 st harmonics and lowest amplitude of the 2 nd harmonics; this is precisely needed for the nonlinear ultrasonic technique commonly used in structural health monitoring applications. Even the amplitude of the static term (0 th harmonics) due to material nonlinearity in Case Study III is less compared with other case studies (Figure 13). After comparing all the responses of the inversely designed linear and nonlinear metamaterials, we can conclude that Case Study III provides a better design of metamaterials in comparison with Case II. Also, Case II gives a better design of metamaterials in comparison with Case I. But in contrast, from the point of view of computational recourses and time, Case Study III takes nearly two times computational recourses and time compared to Case Study II as we are solving nonlinear finite element problems in every optimization iteration due to consideration of material nonlinearity. Similarly, Case Study II takes nearly 1.2 times more computational resources and computational time than Case Study I, as Objective 2 takes more computational time than Objective 1 in every optimization iteration. Case Study II is the optimal inverse design strategy for the inverse design of linear metamaterials. These optimal solutions can be used to design nonlinear metamaterials only after cross-validation. 4. CONCLUSIONS

Linear and nonlinear elastic metamaterial rods are designed using an inverse design approach for nonlinear ultrasonics applications to enhance the measurement of 2 nd harmonics in steel rods. The proposed and implemented inverse design approach for cylindrical rods controls multiple things in a design process simultaneously, such as i) multiple modes of waves in the rod, ii) generating bandgap structure by solving time-dependent problems, iii) effect of harmonic generation and harmonic scattering due to local nonlinear elastic layers present inside the metamaterial configuration, and iv) assumption of an infinitely long length of periodic metamaterials is not a necessary condition. Using gradient-free algorithms results in a reduction in computational resources and time. Different design strategies in this article give more insight into deciding the best design strategy based on objectives, computational resources, and computational time. In nonlinear ultrasonic applications importance of the time-dependent inverse design approach for the design of linear and nonlinear metamaterial rods is demonstrated successfully. 5. ACKNOWLEDGEMENTS

I want to thank the Acoustical Society of America for support through the student grant and the Indian Institute of Technology Bombay, Mumbai, India, for financial aid through an institute scholarship. 6. REFERENCES

1. S. Liu, A. J. Croxford, S. A. Neild, and Z. Zhou, “Effects of experimental variables on the

nonlinear harmonic generation technique,” IEEE Transactions on Ultrasonics, Ferroelectrics, and Frequency Control, vol. 58, no. 7, pp. 1442–1451, 2011. 2. A. Mostavi, M. Kabir, and D. Ozevin, “The integration of superlattices and immersion nonlinear

ultrasonics to enhance damage detection threshold,” Applied Physics Letters, vol. 111, no. 20, 2017. 3. Sandeep Kumar S R, Krishnadas V K, K. Balasubramaniam, and P. Rajagopal, “Waveguide

metamaterial rod as mechanical acoustic filter for enhancing nonlinear ultrasonic detection,” APL Materials, vol. 9, no. 6, 2021. 4. P. Ghodake, “Effective design of metamaterial to stop system generated harmonics during

nonlinear ultrasonic testings,” Journal of the Acoustical Society of America, vol. 150, no. 4, pp. A149–A149, 2021. 5. J. Rushchitsky, “Evolution of the theory of nonlinear waves in Murnaghan and Signorini

materials,” International Applied Mechanics, vol. 45, no. 8, 2009.