Welcome to the new IOA website! Please reset your password to access your account.

Adapting a slit model to determine the aeroacoustic response of tube rows

Aswathy Surendran Department of Engineering Physics and Computation, Technical University of Munich, 85747 Garching, Germany School of Chemical and Physical Sciences, Keele University, Sta ff ordshire ST5 5BG, United Kingdom

Wei Na Department of Mechanics and Maritime Sciences, Chalmers University of Technology, SE-41296 Gothenburg, Sweden

Charles Boakes Department of Mechanical Engineering, Imperial College London, London SW7 2AZ, United Kingdom

Dong Yang Department of Mechanics and Aerospace Engineering, Southern University of Science and Technology, Shenzhen, 518055, PR China

Aimee S. Morgans 1

Department of Mechanical Engineering, Imperial College London, London SW7 2AZ, United Kingdom

Susann Boij KTH Royal Institute of Technology, Marcus Wallenberg laboratory for Sound and Vibration Research, Dept. of Engineering Mechanics, SE-10044, Stockholm, Sweden

ABSTRACT Cylindrical tubes in cross-flow, like the ones found in heat exchangers, are excellent acoustic dampers and as such have the potential to mitigate thermoacoustic instabilities. Flow separation and vortex shedding downstream of the tube row are key to significantly enhancing sound attenuation. However, constructing an analytical solution for the aeroacoustic response of tube rows in cross-flow is very challenging owing to the complex flow structure, vortex shedding and coupling with acoustics. To overcome this, we propose the adaptation of a slit model for tube row acoustic scattering (aeroacoustic response) predictions at low Strouhal numbers. The slit model was modified such that the loss coe ffi cients across the slit and the tube row matches. The model is then validated against

1 a.morgans@imperial.ac.uk

a slaty. inter.noise 21-24 AUGUST SCOTTISH EVENT CAMPUS O ¥, ? GLASGOW

numerical predictions using Linearised Navier Stokes Equations and experimental measurements. The predictions for both magnitude and phase for transmission and reflection coe ffi cients agree well with the simulations and experiments.

1. INTRODUCTION

Heat exchangers, much like flames, can influence the thermoacoustic behaviour of combustion systems like domestic boilers and industrial furnaces [1–3]. Thermoacoustic instability occurs when a positive feedback loop is established between the acoustic fluctuations and the unsteady heat release / absorption rates, and is characterised by large amplitude low frequency self-excited pressure fluctuations. When unchecked, these fluctuations can grow in amplitude leading to catastrophic consequences. In combustion units with heat exchangers, the thermoacoustic contribution is in the form of unsteady heat transfer fluctuations as well as acoustic scattering or damping at the tube rows. In the absence of mean flow, the acoustic damping at the tube row is mostly due to the viscous e ff ects and thereby is normally quite small at low frequencies that are relevant to thermoacoustics [4, 5]. However, in the presence of mean flow, the flow separation and the vortex shedding downstream of the tube row are key to significantly enhancing sound attenuation [6].

Typically, heat exchanger tubes have circular cross-section. There are very few aeroacoustic models that describe the acoustic scattering at cylindrical tube rows in cross-flow. Though the Quasi-steady model developed by Surendran et al. [7] predicts the scattering behaviour of tube rows for low Strouhal and low Mach number flows, it lacks information on the frequency dependence and phase change across the tube row. To overcome this, we propose to adapt the existing Modified Cummings slit model [8] and ‘adjust’ it such that the scattering behaviour at the slits mimic that of a tube row. When the acoustic wavelength greatly exceeds the tube diameter (acoustically compact tube row), the tube row in cross-flow arrangement can be approximated to thin plates of rectangular cross-section that are separated by rectangular gaps, thereby giving an appearance of “slits” to oncoming flow. There is extensive literature on the aeroacoustic scattering of slits and perforated plates [9]. In combustion systems undergoing thermoacoustic instabilities, usage of slits in cross-flow have shown e ff ective damping or stabilising influence [8,10].

The structure of the paper is as follows: in Section 2, we describe the acoustic models that exist in literature namely the Quasi-steady model (Section 2.1) and the modified Cummings model (Section 2.2). The proposed model is described in Section 3 while the validations along with discussions are provided in Section 4. Finally, we conclude the paper with Section 5.

2. EXISTING ACOUSTIC MODELS

In this section, we briefly explain the existing models that are considered to develop the adapted slit model. These models are the Quasi-steady model for a tube row in cross-flow [7] and the Modified Cummings model developed for thin slits [8].

2.1. Quasi-steady model In order to model the acoustic scattering in an array of circular tubes in cross-flow, we consider the geometry shown in Figure 1. The geometry consists of two half cylinders (or tubes) of diameter d , separated by a duct height h d . The gap height at the throat is denoted by h g and the open-area ratio η is defined as η = h g / h d . The bias flow velocity at the throat (gap velocity) is given by u g and the jet height downstream of the cylinder (after separation) is assumed to have a height h j . Through the method of image sources, it can be argued that such an arrangement will su ffi ce for an array of

cylinders.

Figure 1: Schematic for the flow domain in the Quasi-steady cylinder model

As the name suggests, in the quasi-steady model, the unsteady terms in the conservation equations are neglected. It is assumed that the time-dependent acoustic perturbations of the flow are su ffi ciently slow and can be treated as quasi-steady [11]. This assumption is valid for small Strouhal numbers ( S t QS = fr / u g ) and small Helmholtz numbers ( He = 2 π fd / c ), where f is the frequency in Hz, r is the radius of the tube and c is the speed of sound. Small He requires the tube row to be compact i.e., the acoustic wavelength is assumed to be much larger than the tube diameter. Furthermore, it is also assumed that the acoustic wavelength greatly exceeds the mixing zone downstream of the tube row, leading to no phase changes for the acoustic scattering properties across the tube row.

The description of the quasi-steady model can be found in Surendran et al. [7] and the readers are advised to refer to the same for further details. For the sake of completeness, the relevant conservation equations are provided below. The flow domain in the quasi-steady model is divided into three regions: regions 1 (upstream of the cylinders), j (contains the cylinders, the jet and the mixing region) and 2 (downstream of the cylinders). The flow is assumed to isentropic and irrotational between regions 1 and j . Therefore, conservation of mass and energy can be applied here, yielding Equations 1-3, where the variables ρ , p and γ denote the density, pressure and ratio of specific heats respectively, while the subscripts indicate the corresponding regions.

h d ρ 1 u 1 = h j ρ j u j continuity  (1) 1 2 u 2 1 + γ γ − 1 p 1 ρ 1 = 1

2 u 2 j + γ γ − 1 p j ρ j

energy  (2)

! γ isentropic  (3)

p 1 p j ρ 1

ρ j

The flow between regions j and 2 is assumed to be non-isentropic and uniform downstream of the mixing regions and conservation of mass and momentum are used here (Equations 4-5). Across regions 1 and 2, conservation of energy was used while neglecting heat transfer, viscous and frictional losses at the wall (Equation 6).

h j ρ j u j = h d ρ 2 u 2 continuity  (4)

h d p j + h j ρ j u 2 j = h d p 2 + h d ρ 2 u 2 2 (momentum) (5) 1 2 u 2 1 + γ γ − 1 p 1 ρ 1 = 1

2 u 2 2 + γ γ − 1 p 2 ρ 2

energy  (6)

Equations 1-6 are then linearised about a mean condition i.e., the variables u , p and ρ are split into sums of mean (¯) and small acoustic perturbation ( ′ ) components (Equation 7) and the higher order

terms of the primed quantities are neglected [12]. The acoustic field in the flow domain consists of forward and backward travelling pressure waves (with complex amplitudes) ˆ p + 1 , 2 and ˆ p − 1 , 2 as shown in Equation 8, where s ′ is the entropy perturbation, c p is the specific heat at constant pressure and the subscript i denote the region. The linearised conservation equations can now be written in terms of ˆ p ± 1 , 2 and then manipulated into the form of a scattering matrix as shown in Equation 9, in the absence of an incoming entropy wave s ′ 1 = 0. T 1 → 2 and R 1 are the transmission and reflection coe ffi cients for a wave incident from the upstream section and T 2 → 1 and R 2 are the transmission and reflection coe ffi cients for a wave incident from the downstream section.

p = ¯ p + p ′ u = ¯ u + u ′ ρ = ¯ ρ + ρ ′ (7)

p ′ i = ˆ p + i + ˆ p − i u ′ i = ˆ p + i − ˆ p − i ¯ ρ i c i ρ ′ i = ˆ p + i + ˆ p − i c 2 i − ¯ ρ i

c p s ′ i (8)

 (9)

 ˆ p + 1 ˆ p − 2



 T 1 → 2 R 2 R 1 T 2 → 1

 =

 ˆ p + 2 ˆ p − 1

2.2. Modified Cummings model The slit configuration studied is shown in Figure 2. It consists of an incompressible uniform mean flow which separates at the slit edge forming a jet of height h vc ( vena contracta ). The contraction coe ffi cient is given by σ = h vc / h g and the velocities at 1 and 2 are given by u 1 = η u g and u 2 = u g /σ , where η = h g / h d is the open-area ratio.

1

T 1 → 2 , R 1 T 2 → 1 , R 2

h vc

ˆ p + 1 ˆ p + 2

2

u 1

u 2

h d h g

ˆ p − 1 ˆ p − 2

Figure 2: Geometry used in the modified Cummings model.

The unsteady Bernoulli’s equation, applied from region 1 to 2, can be written in terms of an e ff ective slug length L as given in Equation 10, where L is defined as R 2

1 ρ 0  du g / dt  dx = ρ 0 L  du g / dt  . The modified Cummings model stated in the present paper and given in Equation 11, is obtained by linearsing Equation 10 and neglecting the higher order terms of the perturbed quantities. Z 2

dt dx + ρ 0

1 ρ 0 du g

 u 2 2 − u 2 1  = p 1 − p 2 . (10)

2

L du ′ g dt + u ′ g ¯ u g σ 2 = p I

ρ 0 (11)

Following the procedure given in Section 2.1, the transmission and reflection coe ffi cients can be

obtained as

4 i χ S tM 2 g +  M g /σ  2 + 1



 , (12)

T 1 → 2 = 2 1 + η M g

4 i χ S tM g /η + M g / ησ 2  + 2 /  1 + η M g 

R 1 = 4 i χ S tM g /η + M g /  ησ 2 

4 i χ S tM g /η + M g / ησ 2  + 2 /  1 + η M g  , (13)

T 2 → 1 = 2 /  1 + η M g 

2 /  1 + η M g  + M g / ησ 2  + 4 i χ S tM g /η , (14)

R 2 = M g /  ησ 2  + 4 i χ S tM g /η

1 − η M g   1 + M g / ησ 2  + 4 i χ S tM g /η  (15)

1 +  1 + η M g

where S t = ω h g / (2 u g ) and χ = L / (2 h g ) is the end correction coe ffi cient. L is defined as L = 2 l 0 + l w , as suggested in Luong et al. [13], where l 0 is the end correction on one side of the slit and l w is the thickness of the slit plate. The end correction for a rectangular orifice in a ba ffl e wall [14] is given by

2 tan  πη

2 cot  πη

π ln " 1

 # . (16)

l 0 h g = 1

 + 1

4

4

3. ADAPTED SLIT MODEL: LOSS COEFFICIENT ( K ) ADJUSTED MODIFIED CUMMINGS MODEL

Albaharna [8] approximated tube rows as slit plates of rectangular cross-section. However, recent studies [15,16] have shown that such an approximation is not appropriate. The modified Cummings slit model is shown to overestimate the scattering coe ffi cients when compared to the quasi-steady model for tube row. But this discrepancy can be rectified by adapting the slit model such that the incompressible steady flow loss coe ffi cients across the tube row (Equation 17) and the slit (Equation 18) are the same.

K QS =  η/η j  2  1 − η j  2 , (17)

σ 2 − η 2 ! . (18)

K MC = 1

where η j = h j / h d . In order to do this, the contraction ratio σ is considered as an arbitrary quantity and can be evaluated for K MC = K QS . Additionally, we also assume that the slit plate has a thickness l w = 2 x sep , where x sep is the displacement between the throat and the separation location for the cylindrical tube row, as shown in Figure 1. x sep is evaluated using the Thwaites method [17] in the present study.

4. RESULTS AND DISCUSSION

The predictions from the loss coe ffi cient K -adjusted MC model (KMC) are validated against numerical simulations through the Linearised Navier-Stokes Equations (LNSE) method as well as experiments using the multi-microphone method. In LNSE computations, the steady field is simulated in COMSOL Multiphysics V5.3, using a compressible Reynolds-Averaged Navier-Stokes (RANS) solver with SST turbulence model. Next, acoustic and vorticity perturbations about the steady state is computed using linearised Navier-Stokes equations in the frequency domain. Finally, the scattering matrix at frequency for the test case (shown in Figure 3) is evaluated using a two-source

method [18, 19]. A detailed explanation for the setting up of the numerical simulation and the description of experimental setup and procedure can be found in Surendran et al. [16].

symmetry symmetry

velocity inlet pressure outlet no-slip

symmetry

Figure 3: Boundary conditions used in numerical simulations.

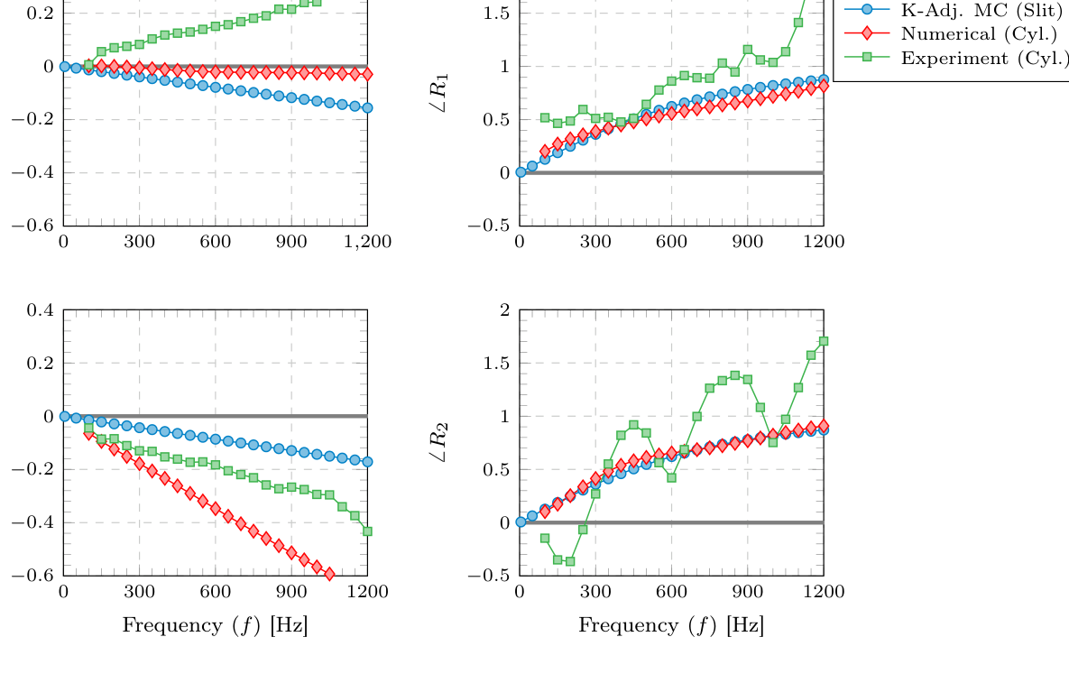
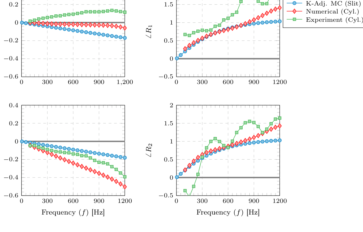
Figures 4-9 show the scattering coe ffi cients, | T 1 ⇄ 2 | and | R 1 , 2 | (both magnitude and phase), for the tube row in cross-flow for incoming velocities: 12.18, 14.52 and 16.3m / s. The tube diameter is d = 11.8mm with open-area ratio η = 0.31. The frequency range starts from 100Hz and is limited to 1200Hz due to the cut-o ff frequency of ∼ 1400Hz for duct used in experiments. The plots contain predictions from the quasi-steady (QS) model, the proposed KMC model, the LNSE predictions and the experimental measurements.

The magnitude plots (Figures 4, 6 and 8) show very good agreement between the KMC model predictions, the numerical simulations and the experiments. In the zero frequency limit, these results coincide with the QS model results as expected. Moreover, the KMC model depicts the frequency dependence of the scattering coe ffi cients, which was absent in the QS model. As for the phase plots (Figures 5, 7 and 9), there is good agreement for ∠ R 1 , 2 , between the model, the LNSE predictions and the measurements. However for ∠ T 1 ⇄ 2 , there are discrepancies between the di ff erent predictions and experiments and these discrepancies increase with increasing incoming velocity. The LNSE predictions for ∠ T 1 → 2 are seen to be in line with the QS model predictions i.e., zero phase changes , while the KMC and measurement indicate a non-zero phase and they are shown to be having opposite signs. On the other hand, ∠ T 1 → 2 seems to have good agreement between the various predictions and experiments for very low frequencies (close to zero frequency) and they diverge as we increase both frequency and incoming velocity. An interesting observation in the experimental measurements are the ‘undulations’ in the reflection coe ffi cients which are not captured by the LNSE simulations. It should be noted that the peaks in this sine-like pattern of waviness in R 1 , 2 do not scale with S t i.e., change with frequency and incoming velocity, and therefore cannot be associated with the typical hydrodynamic dominated phenomena. As such, the discrepancies in the phases of T 1 → 2 and the underlying phenomena causing the waviness in R 1 , 2 need to be further investigated.

5. CONCLUSIONS

In the present work, we have demonstrated how to adapt a slit model to describe the low frequency scattering behaviour of tube rows in cross-flow, through loss coe ffi cients. The proposed K -adjusted modified Cummings (KMC) model is an improvement over the existing Quasi-steady (QS) model is predicting the frequency dependence of the scattering coe ffi cients as well as giving phase information for these coe ffi cients. The model was validated against experiments and numerical simulations and it the models predictions were found to be in good agreement with the both the measurements and the numerical computations. The proposed model works for low Strouhal number flows and do not account for acoustic-vortex interaction phenomena.

0 . 5

Quasi-Steady (Cyl.) K-Adj. MC (Slit) Numerical (Cyl.) Experiment (Cyl.)

1

0 . 4

0 . 9

0 . 3

| T 1 → 2 |

| R 1 |

0 . 8

0 . 2

0 . 7

0 . 1

0 . 6

0

0 300 600 900 1 , 200 0 . 5

0 300 600 900 1200

0 . 5

1

0 . 4

0 . 9

0 . 3

| T 2 → 1 |

| R 2 |

0 . 8

0 . 2

0 . 7

0 . 1

0 . 6

0

0 300 600 900 1200 0 . 5

0 300 600 900 1200

Frequency ( f ) [Hz]

Frequency ( f ) [Hz]

Figure 4: Magnitude of transmission and reflection coe ffi cients for u 1 = 12.18m / s.

0 . 4

2

Quasi-Steady (Cyl.) K-Adj. MC (Slit) Numerical (Cyl.) Experiment (Cyl.)

0 . 2

1 . 5

0

1

̸ T 1 → 2

̸ R 1

− 0 . 2

0 . 5

− 0 . 4

0

0 300 600 900 1 , 200 − 0 . 6

0 300 600 900 1200 − 0 . 5

0 . 4

2

0 . 2

1 . 5

0

1

̸ T 2 → 1

̸ R 2

− 0 . 2

0 . 5

− 0 . 4

0

0 300 600 900 1200 − 0 . 6

0 300 600 900 1200 − 0 . 5

Frequency ( f ) [Hz]

Frequency ( f ) [Hz]

Figure 5: Phase of transmission and reflection coe ffi cients for u 1 = 12.18m / s.

ACKNOWLEDGEMENTS

We gratefully acknowledge the financial support from the European Research Council (ERC) Consolidator Grant AFIRMATIVE (2018–2023, Grant Number 772080). We also acknowledge the technical inputs and discussions undertaken with Dr. Ignacio Duran, Reaction Engines Limited, U. K., as well as the financial assistance provided by Reaction Engines Ltd. in carrying out experiments at KTH. We are thankful to Mr. Shail Shah and Ms. Charitha Vaddamani, KTH for their assistance with conducting experiments. Dr. Surendran is a EuroTechPostdoc fellow at Technische

0 . 5

Quasi-Steady (Cyl.) K-Adj. MC (Slit) Numerical (Cyl.) Experiment (Cyl.)

1

0 . 4

0 . 9

0 . 3

| T 1 → 2 |

| R 1 |

0 . 8

0 . 2

0 . 7

0 . 1

0 . 6

0

0 300 600 900 1 , 200 0 . 5

0 300 600 900 1200

0 . 5

1

0 . 4

0 . 9

0 . 3

| T 2 → 1 |

| R 2 |

0 . 8

0 . 2

0 . 7

0 . 1

0 . 6

0

0 300 600 900 1200 0 . 5

0 300 600 900 1200

Frequency ( f ) [Hz]

Frequency ( f ) [Hz]

Figure 6: Magnitude of transmission and reflection coe ffi cients for u 1 = 14.52m / s.

0 . 4

2

Quasi-Steady (Cyl.) K-Adj. MC (Slit) Numerical (Cyl.) Experiment (Cyl.)

0 . 2

1 . 5

0

1

̸ T 1 → 2

̸ R 1

− 0 . 2

0 . 5

− 0 . 4

0

0 300 600 900 1 , 200 − 0 . 6

0 300 600 900 1200 − 0 . 5

0 . 4

2

0 . 2

1 . 5

0

1

̸ T 2 → 1

̸ R 2

− 0 . 2

0 . 5

− 0 . 4

0

0 300 600 900 1200 − 0 . 6

0 300 600 900 1200 − 0 . 5

Frequency ( f ) [Hz]

Frequency ( f ) [Hz]

Figure 7: Phase of transmission and reflection coe ffi cients for u 1 = 14.52m / s.

Universität München, co-funded by the European Commission under its framework programme Horizon 2020. Grant Agreement number 754462.

REFERENCES

[1] A. Surendran, M. A. Heckl, N. Hosseini, and O. J. Teerling. Passive control of instabilities in combustion systems with heat exchanger. International Journal of Spray and Combustion Dynamics , 10(4):362–379, 2018.

0 . 5

Quasi-Steady (Cyl.) K-Adj. MC (Slit) Numerical (Cyl.) Experiment (Cyl.)

1

0 . 4

0 . 9

0 . 3

| T 1 → 2 |

| R 1 |

0 . 8

0 . 2

0 . 7

0 . 1

0 . 6

0

0 300 600 900 1 , 200 0 . 5

0 300 600 900 1200

0 . 5

1

0 . 4

0 . 9

0 . 3

| T 2 → 1 |

| R 2 |

0 . 8

0 . 2

0 . 7

0 . 1

0 . 6

0

0 300 600 900 1200 0 . 5

0 300 600 900 1200

Frequency ( f ) [Hz]

Frequency ( f ) [Hz]

Figure 8: Magnitude of transmission and reflection coe ffi cients for u 1 = 16.3m / s.

0 . 4

2

Quasi-Steady (Cyl.) K-Adj. MC (Slit) Numerical (Cyl.) Experiment (Cyl.)

0 . 2

1 . 5

0

1

̸ T 1 → 2

̸ R 1

− 0 . 2

0 . 5

− 0 . 4

0

0 300 600 900 1 , 200 − 0 . 6

0 300 600 900 1200 − 0 . 5

0 . 4

2

0 . 2

1 . 5

0

1

̸ T 2 → 1

̸ R 2

− 0 . 2

0 . 5

− 0 . 4

0

0 300 600 900 1200 − 0 . 6

0 300 600 900 1200 − 0 . 5

Frequency ( f ) [Hz]

Frequency ( f ) [Hz]

Figure 9: Phase of transmission and reflection coe ffi cients for u 1 = 16.3m / s.

[2] A. Surendran, M. A. Heckl, N. Hosseini, and O. J. Teerling. Corrigendum - Passive control of instabilities in combustion systems with heat exchanger. International Journal of Spray and Combustion Dynamics , 10(4):393–398, 2018. [3] N. Hosseini, O. J. Teerling, V. Kornilov, I. L. Arteaga, and L. P. H. de Goey. Thermoacoustic Instabilities in a Rijke Tube with Heating and Cooling Elements. In Proceedings of the 8th European Combustion Meeting , pages 3–8, Dubrovnik, Croatia, 2017. [4] A. Surendran. Stability of Rijke Tube with Heat Exchanger and Cavity - Without Mean Flow. Internal Report 1, School of Computing and Mathematics, Keele University, October 2014.

TANGO Project. [5] M. Heckl. Advances by the Marie Curie project TANGO in thermoacoustics. International Journal of Spray and Combustion Dynamics , 11:1–53, 2019. [6] M. S. Howe. Acoustics of Fluid-Structure Interactions . Cambridge University Press, 1998. [7] A. Surendran, M. A. Heckl, L. Peerlings, S. Boij, H. Bodén, and A. Hirschberg. Aeroacoustic response of an array of tubes with and without bias-flow. Journal of Sound and Vibration , 434:1–16, 2018. [8] A. Albaharna. Thermoacoustic Instabilities in Pre-Burners of Hybrid Rocket Engines. Master’s thesis, Imperial College London, 2018. [9] C. Lahiri and F. Bake. A review of bias flow liners for acoustic damping in gas turbine combustors. Journal of Sound and Vibration , 400:564–605, 2017. [10] A. Surendran and M. A. Heckl. Passive instability control by a heat exchanger in a combustor with nonuniform temperature. International Journal of Spray and Combustion Dynamics , 9(4):380–393, 2017. [11] D. Ronneberger. Experimentelle Untersuchungen zum akustischen Reflexionsfaktor von unstetigen Querschnittsänderungen in einem luftdurchströmten Rohr (Experimental Investigations about the Acoustic Reflection Coe ffi cient of Discontinuous Changes of Cross- Section in Tubes with Air Flow). Acustica , 19:222 – 235, 1967 / 68. [12] A. P. Dowling and S. R. Stow. Acoustic Analysis of Gas Turbine Combustors. Journal of Propulsion and Power , 19(5):751–764, 2003. [13] T. Luong, M. S. Howe, and R. S. McGowan. On the Rayleigh conductivity of a bias-flow aperture. Journal of Fluids and Structures , 21(8):769–778, 2005. [14] F. P. Mechel, editor. Formulas of Acoustics . Springer-Verlag Berlin Heidelberg, 2 edition, 2008. [15] C. Boakes, A. Surendran, D. Yang, and A. Morgans. Acoustic scattering in arrays of orifices, slits and tube rows with mean flow: A comparison. In Proceedings of the 23rd International Congress on Acoustics: Integrating 4th EAA Euroregio 2019 , Aachen, Germany, 2019. Deutsche Gesellschaft für Akustik. [16] A. Surendran, W. Na, C. Boakes, D. Yang, A. Morgans, and S. Boij. A low frequency model for the aeroacoustic scattering of cylindrical tube rows in cross-flow. Journal of Sound and Vibration , 527(116806), 2022. [17] P. K. Kundu, I. M. Cohen, and D. R. Dowling. Fluid Mechanics . Elsevier Inc., 5th edition, 2012. [18] H. Bodén and M. Åbom. Influence of errors on the two-microphone method for measuring acoustic properties in ducts. The Journal of the Acoustical Society of America , 79(2):541–549, 1986. [19] M. Åbom. Measurement of the scattering-matrix of acoustical ports. Mechanical Systems and Signal Processing , 5(2):89–104, 1991.