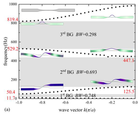
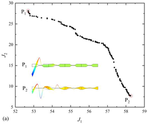
A A A Two-step optimization design of periodic beam with acoustic black holes Hui Sheng 1 Department of mechanics, Tianjin University Tianjin 300350, PR China Qian Ding 2 Department of mechanics, Tianjin University Tianjin 300350, PR China ABSTRACT This paper presents a two-step optimization method to design the acoustic black holes (ABH) profiles according to local property in the target frequency region. In the first step, the concept of ‘local index’ is used to identify the position of local vibration. Then, as the second step, the ABH parameters are multi-objective optimized. The numerical examples indicate that the two-step optimization provide a set of Pareto solutions for lightweight ABH design with board bandgaps. To reveal the mechanism of the attenuation band, the vibration modes of the structure are analyzed and the local property of the ABH is shown. Using dynamic and static characteristics as objective functions, the proposed method provides a way to merge physical meaning in the process of data- based optimization. 1. INTRODUCTION The acoustic black hole (ABH) has been attracting growing attention due to its capacity for wave focalization in local inhomogeneity structures [1]. The ABH structure has broadband manipulation performance for elastic waves and this focalization property is conducive to various applications prospects such as vibration control [2], sound isolation [3, 4], and energy harvesting [5, 6]. Based on the conception of the phononic crystal (PC), the periodic structures with ABHs, for both 1D beam[7-10] and 2D plate [11-16], have been investigated to expand the effective low-frequency range below the cut-on frequency of ABH effect. The broadband gaps are generated by the photonic crystal effects and the wave retarding of ABH with local resonance [7, 17] , which means it is capable of attenuating elastic waves in a specific wide frequency range. Compared with bandgaps formed through Bragg scattering or local resonances, the ABH periodic structure can break through the high-frequency limitations of the former and solve the problem of the narrow bandwidth of the latter, with its excellent energy concentration ability. Existing studies on multiple ABHs structures include the dynamic characteristics [7, 11, 17, 18] and wave propagation characteristics [19] based on semi-analytical methods and experiments. Besides, many efforts have been devoted to improving the performance of the ABH periodic structure in vibration and noise reduction. To lower the bandgap frequencies and attenuate both flexural and 1 hsheng@tju.edu.com 2 qding@tju.edu.com longitudinal waves simultaneously, double-leaf ABH indentations are folded in a V-like structure [20]. A periodic nested ABH beam was proposed [10] and a complex band structure was adopted to reveal its attenuation characteristics of wave propagation. However, most studies of metamaterials based on local resonances focus on wave characteristics and generally consider infinite periodic structures [21, 22]. The actual structure is finite and the reflected waves at the boundaries will cause the local vibration of the structure. Dramatic local vibration induces damage, making the evaluation and localization of local vibration important in the process of structural design. Therefore, it is necessary to establish an analysis and optimization method to design these metamaterial structures based on the local dynamic characteristics. This paper aims at evaluating and optimizing the local property of the ABH periodic beam. A two- step optimization method is proposed, in which the position of local vibration is evaluated in the single frequency and the band frequency region first, then the ABH parameters are multi-objective optimized by NSGA-II. The proposed method is expected to be applied in multiform locally resonant metamaterials. 2. THEORETICAL MODEL In section 2.1, the model of the ABH periodic beam is established by the spectral element method (SEM). In section 2.2 and 2.3, we present detailed procedures of the first and the second optimization step, respectively. The overall optimization design process for the ABH is depicted in 错误 ! 未找到引用源。 . The material of the structure is steel. Figure 1 The overall optimization design process 2.1. Modeling The periodic beam is comprised of multiple ABH units as shown in Figure 2. The thickness of the ABH region is ℎ(𝑥) = (ℎ 𝑚𝑎𝑥 −ℎ 𝑚𝑖𝑛 )(𝑥𝑙 𝐴𝐵𝐻 ⁄ ) 𝑚 + ℎ 𝑚𝑖𝑛 , (1) where ℎ 𝑚𝑎𝑥 , ℎ 𝑚𝑖𝑛 𝑙 𝐴𝐵𝐻 and 𝑚 are the beam height, residual thickness, ABH length and exponent constant. Based on the Euler-Bernoulli theory, the SEM [23] is used to calculate dynamic properties. The displacement-force relation is given by 𝑔(𝑥, 𝜔) = 𝐒(𝑥, 𝜔)𝑤(𝑥, 𝜔) , (2) where 𝐒 is the global dynamic stiffness matrix of the beam. The detailed formulation of S can be found in [23]. With a predefined S , the spatial distribution of the displacement 𝑤(𝑥, 𝜔) and the velocity 𝑣(𝑥, 𝜔) along the ABH beam under the force 𝑔(𝜔) can be obtained. First stage: localization | Original structure gpg Bandgap BW ooo * Local Index t I oo a | Second stage: optimization Figure 2 Sketch of the periodic beam with ABHs. 2.2. The first optimization step: vibration localization To describe the ABH local effect in finite structure, the local index τ is defined by the ratio as 〈𝑣 2 〉 𝑙 〈𝑣 2 〉 𝑔 . (3) 𝜏(𝜔) = where 𝐿 ∫𝑣𝑣 ∗ 𝐿 0 𝑑𝑥, 〈𝑣 2 〉 𝑙 = 𝑙 ∫ 𝑣𝑣 ∗ 𝑥 0 +𝑙 𝑥 0 𝑑𝑥 . (4) 1 1 〈𝑣 2 〉 𝑔 = The ratio represents the spatial mean square velocity of the entire beam and that over the region of ( x 0 , x 0 + l ). With a single frequency 200Hz considered, one obtains the contour of the local index τ as x 0 and l sweeping in the effective domain A :[ x 0 ≥0, x 0 + l ≤ L ], as shown in Figure 3(a). The local effect is obvious, indicating the energy is concentrated in the left part of the first ABH unit. Figure 3 Local vibration shown as (a) the local index contour and localization in (b) single frequency and (c) band frequency region Figure 3 (b) illustrates corresponding displacement distributions, and the localization of dramatic local vibration is marked by the rectangle. The rectangle (left side x 0 , right side x 0 + l ) is determined by an optimization function of min 𝑙 𝑠. 𝑡 { 𝑥 0 , 𝑙∈𝐴 𝜏(𝑥 0 , 𝑙, 𝜔 0 ) ≥0.95 . (5) where ω 0 is the given frequency. The region of the sufficiently large local index ( τ > 0.95) is marked with red points and the minimum value of l is shown as a blue spark at the point ( 𝑥 0 = 0, 𝑙= 0.53 ). The point represents the minimum length of energy concentration, then the spatial localization of local vibration is obtained as the region of ( x 0 , x 0 + l ). Figure 3(c) shows the boundaries x low and x up determined by x 0 and l within the frequency band 0-500Hz, and the shaded region represents the localization. In the bandgaps predicted by vertical grey lines, the local region tends to cover the front section of the ABHs beam, especially in 125.5- 447.1Hz. 2.3. The second optimization step: multi-objective optimization To get a lighter weight structure and simultaneously enhance the local property in the frequency range, the parameters of the ABHs beam are optimized by the genetic algorithm NSGAII[24] based on the first step. The optimization model of the second step is described as, 𝜔 2 min 𝑱= [20 lg (∫ ‖𝐱(𝐏) −𝐱 𝑡 ‖ 2 𝑑𝜔 ) , 𝑚𝑎𝑠𝑠] (6) 𝜔 1 𝑠. 𝑡 𝐏∈𝐁 where ω 1 and ω 2 determine the target frequency range, the vector x = [ x 0 , l ] T is the spatial coordinates obtained by the first step, x t the target localization coordinates, mass the total mass of the ABHs beam. P is optimization variable, B :[ P | B 1 < P < B 2 ] is the boundary condition of structure parameters. In this paper, P and B are defined as P = [ h max , h min , l ABH , m ] T , B 1 = [0.05, 0.005, 0.2, 2] T and B 2 = [0.1, 0.05, 0.9, 3] T . The vector l 2 -norm in J 1 defines the Euclidean distance between the localization coordinates x and the target ones x t , so the optimizing process gives solutions convergent to the given local region, which is set as x t = (0, 0.5). The target frequency range is 0- 1000Hz and the initial variable is randomly generated in domain B to start the optimization process. We set the number of the population to 100 and the generation to 150. The detailed algorithm can be found in the original investigation [24]. Figure 4 Optimization results of (a) the Pareto front and (b) the transmission of the Pareto-optimal ABHs beam Figure 4(a) depicts the Pareto front of optimization, showing the two conflicting objective functions and a set of design parameters of ABH. The two points P 1 and P 2 are marked to denote the minimum objective values of J 1 and J 2 respectively, representing two types of the ABHs beam ( P 1 = [0.05,0.005,0.4,2.5] T and P 2 = [0.05,0.005,0.9,3] T ). As a reference in the frequency range, the vibration of the two structures at 600Hz is depicted, indicating that the local vibration of P 1 is enhanced compared with P 2 . Transmission results 20lg( w out / w in ) shown as Figure 4(b) illustrates the attenuation bands are broadened as the local effect increases. 3. LOCAL VIBRATION ANALISIS A numerical example is given to analyze the locally resonant property of the ABH. We set the structural parameters as shown in Table 1. The dispersion curve of an infinite periodic ABH beam is calculated by SEM. The superiority of SEM, comparing with the transfer matrix method, is high accuracy within a wider frequency range. In an infinite periodic structure, the virtual boundary conditions that meet Bloch's theorem can be obtained as 𝑤(𝑟+ 𝑎) = 𝐞 𝒊𝒌𝒂 𝑤(𝑟) , (7) where k the local wavenumber and a the lattice constant. By substituting Equation 7, we can transfer the global equations Equation 2 into 𝑔̃(𝑥, 𝜔) = 𝐒 ̃ (𝑥, 𝜔)𝑤̃(𝑥, 𝜔) , (8) where the superscript represents a simple form by combining the displacement vector at the boundaries of a unit. The eigenvalue problem reduced from Equation 8 gives, 𝑑𝑒𝑡 (𝐒 ̃ (𝑥, 𝜔)) = 0 . (9) Solving the eigenvalue equation with a specified frequency ω , one obtains characteristic values of the wavenumber k ( ω ) in the complex domain, then the dispersion curve is calculated. Relative bandwidth BW is defined using the geometric mean [25] of the upper 𝑓 𝑢𝑝 and lower 𝑓 𝑙𝑜𝑤 limits of the bandgap as 2 + 𝑓 𝑙𝑜𝑤 2 ⁄ . (10) 𝐵𝑊= (𝑓 𝑢𝑝 −𝑓 𝑙𝑜𝑤 ) √𝑓 𝑢𝑝 Table 1: Structural parameters of the ABH beam Parameters ABH beam Beam length L =1m ABH length l ABH = 0.4m Beam width b =0.005m Beam height h max =0.05m Residual thickness h min =0.005m Exponent m =3 Figure 5 shows bandgaps with the mode shapes of boundaries. The first three order normalize bandwidth of the ABH beam are 0.748, 0.693 and 0.298 respectively. Those bandgaps are formed by the ABH effect. Acting as a waveguide, the ABH concentrates the energy within the center of the beam, where dramatic vibration is explicit especially in high-frequency domain. This feature has been discussed in literatures [7], and it has been demonstrated that the bandgaps are attributed to the local resonances of the ABH elements. iSbe gwo7ss wave vector h(w/a) Figure 5 (a) The first three and (b) the 5 th , 6 th and 7 th bandgaps of ABH beam To give a finite model, a free-free beam with four ABH units is investigated under a unit transverse harmonic excitation applied at one end of the structure. The transmission is shown in Figure 6, where the displacement distributions at frequency 36Hz and 299Hz are also shown. These two particular frequency points, marked as M 1 and M 2 in Figure 6(a), represent the dips in the first two transmission attenuations corresponding to the predicted bandgaps shadowed by grey regions. The consistency can be observed in the comparison of results by SEM and finite element method (FEM) using Comsol, and inconsistency in transmission due to general elastic wave propagation in two-dimensional beam considered in FEM. frequeney(Hz) o) wave vector k(/a), . “ Tracmnisioaice} @ Figure 6 (a) Transmission of the periodic beam with four ABH units, and displacement distribution at frequency (b) 36Hz (M1) and (c) 299Hz (M2) The strong attenuation can be clearly observed from Figure 6(b) and (c). Due to dramatic changes in stiffness, the eigenfrequencies of the ABH [26] are tuned, leading to the unevenly distribution in frequency domain. For a finite structure, bandgap is the frequency range where no eigenfrequency exists (see the grey region in Figure 6(a)). Within the bandgap, the local vibration mode is dominant and energy localization in the first ABH unit is achieved. Modal superposition 107 ____Dymamic response at frequency= 36Hz_ ry Mt Sa woos 1s 2 as 3S 10% Dynamic response at frequeney=299H2 3 S/o Sa wo 0s 1 is 2 as} induces the enhanced front-end vibration and the reduced end-end vibration, thus leading to the vibration attenuation. The dynamic analysis is the effective approach to revealing the formulation mechanism of broad bandgap of the ABH beam. 4. CONCLUSIONS In this paper, the local effect of the ABH periodic beam is analyzed and optimized. By SEM and FEM, the band structure of the infinite beam and the lateral vibration of the finite one is obtained. The local index τ is defined to evaluate the property, indicating that the local resonant mode is dominant and energy localization in the first ABH unit is achieved in bandgaps. The local index is applied to optimize the ABH structure by the two-step method. In the first step, the efficiency of spatial localization is verified by the good agreement of results with displacement distribution. In the second step, multi-objective optimization on the local effect and mass provides a set of design options. Numerical examples verify the efficiency of the proposed method, which is also applicable to other locally resonant metamaterial design issues. 5. ACKNOWLEDGEMENTS This work is supported by the National Natural Science Foundation of China through the grants (12132010 & 12021002 & 11972245). 6. REFERENCES 1. Pelat, A., Gautier, F., Conlon, S.C., and Semperlotti, F., The acoustic black hole: A review of theory and applications . Journal of Sound and Vibration , 476 , 115316 (2020) 2. Deng, J., Zheng, L., Zeng, P., Zuo, Y., and Guasch, O., Passive constrained viscoelastic layers to improve the efficiency of truncated acoustic black holes in beams . Mechanical Systems and Signal Processing , 118 , 461-476 (2019) 3. Li, X. and Ding, Q., Sound radiation of a beam with a wedge-shaped edge embedding acoustic black hole feature . Journal of Sound and Vibration , 439 , 287-299 (2019) 4. Ma, L. and Cheng, L., Sound radiation and transonic boundaries of a plate with an acoustic black hole . Journal of the Acoustical Society of America , 145(1) , 164-172 (2019) 5. Deng, J., Zheng, L., and Guasch, O., Elliptical acoustic black holes for flexural wave lensing in plates . Applied Acoustics , 174 , 107744 (2021) 6. Ji, H., Liang, Y., Qiu, J., Cheng, L., and Wu, Y., Enhancement of vibration based energy harvesting using compound acoustic black holes . Mechanical Systems and Signal Processing , 132 , 441-456 (2019) 7. Tang, L. and Cheng, L., Broadband locally resonant band gaps in periodic beam structures with embedded acoustic black holes . Journal of Applied Physics , 121(19) , 194901 (2017) 8. Gao, N., Wei, Z., Zhang, R., and Hou, H., Low-frequency elastic wave attenuation in a composite acoustic black hole beam . Applied Acoustics , 154 , 68-76 (2019) 9. Zhang, Y., Chen, K., Zhou, S., and Wei, Z., An ultralight phononic beam with a broad low- frequency band gap using the complex lattice of acoustic black holes . Applied Physics Express , 12(7) , 077002 (2019) 10. Gao, N., Wang, B., Lu, K., and Hou, H., Complex band structure and evanescent Bloch wave propagation of periodic nested acoustic black hole phononic structure . Applied Acoustics , 177 , 107906 (2021) 11. Deng, J., Guasch, O., Maxit, L., and Zheng, L., Transmission loss of plates with multiple embedded acoustic black holes using statistical modal energy distribution analysis . Mechanical Systems and Signal Processing , 150 , 107262 (2021) 12. Ji, H., Wang, X., Qiu, J., Cheng, L., Wu, Y., and Zhang, C., Noise reduction inside a cavity coupled to a flexible plate with embedded 2-D acoustic black holes . Journal of Sound and Vibration , 455 , 324-338 (2019) 13. Tang, L. and Cheng, L., Impaired sound radiation in plates with periodic tunneled Acoustic Black Holes . Mechanical Systems and Signal Processing , 135 , 106410 (2020) 14. Zhao, L., Low-frequency vibration reduction using a sandwich plate with periodically embedded acoustic black holes . Journal of Sound and Vibration , 441 , 165-171 (2019) 15. Deng, J., Guasch, O., and Zheng, L., Reconstructed Gaussian basis to characterize flexural wave collimation in plates with periodic arrays of annular acoustic black holes . International Journal of Mechanical Sciences , 194 , 106179 (2021) 16. Conlon, S.C., Fahnline, J.B., and Semperlotti, F., Numerical analysis of the vibroacoustic properties of plates with embedded grids of acoustic black holes . Journal of the Acoustical Society of America , 137(1) , 447-57 (2015) 17. Tang, L. and Cheng, L., Periodic plates with tunneled Acoustic-Black-Holes for directional band gap generation . Mechanical Systems and Signal Processing , 133 , 106257 (2019) 18. Feurtado, P.A. and Conlon, S.C., An Experimental Investigation of Acoustic Black Hole Dynamics at Low, Mid, and High Frequencies . Journal of Vibration and Acoustics , 138(6) , 061002 (2016) 19. Zhu, H. and Semperlotti, F., Two-dimensional structure-embedded acoustic lenses based on periodic acoustic black holes . Journal of Applied Physics , 122(6) , 065104 (2017) 20. Gao, N., Wei, Z., Hou, H., and Krushynska, A.O., Design and experimental investigation of V- folded beams with acoustic black hole indentations . Journal of the Acoustical Society of America , 145(1) , EL79-EL83 (2019) 21. El-Borgi, S., Fernandes, R., Rajendran, P., Yazbeck, R., Boyd, J.G., and Lagoudas, D.C., Multiple bandgap formation in a locally resonant linear metamaterial beam: Theory and experiments . Journal of Sound and Vibration , 488 , 115647 (2020) 22. Moscatelli, M., Comi, C., and Marigo, J.J., Energy Localization through Locally Resonant Materials . Materials , 13(13) , 3016 (2020) 23. Lee, U., Spectral Element Method in Structural Dynamics , J. Wiley & Sons Asia, 2009. 24. Deb, K., Pratap, A., Agarwal, S., and Meyarivan, T., A fast and elitist multiobjective genetic algorithm: NSGA-II . Ieee Transactions on Evolutionary Computation , 6(2) , 182-197 (2002) 25. Taniker, S. and Yilmaz, C., Generating ultra wide vibration stop bands by a novel inertial amplification mechanism topology with flexure hinges . International Journal of Solids and Structures , 106-107 , 129-138 (2017) 26. He, M.X. and Ding, Q., Data-driven optimization of the periodic beam with multiple acoustic black holes . Journal of Sound and Vibration , 493 , 115816 (2021) Previous Paper 228 of 769 Next