Welcome to the new IOA website! Please reset your password to access your account.

Experimental Observation of the Sound Field Around a Moving Source Using Parallel Phase-Shifting Interferometry Mariko Akutsu 1 Railway Technical Research Institute 2-8-38 Hikari-cho, Kokubunji-shi, Tokyo, Japan Waseda University 3-4-1 Ohkubo, Shinjyuku-ku, Tokyo, Japan Toki Uda 2 Railway Technical Research Institute 2-8-38 Hikari-cho, Kokubunji-shi, Tokyo, Japan Kohei Yatabe 3 Tokyo University of Agriculture and Technology 2-24-16 Naka-cho, Koganei-shi, Tokyo, Japan Waseda University 3-4-1 Ohkubo, Shinjuku-ku, Tokyo, Japan Yasuhiro Oikawa 4 Waseda University 3-4-1 Ohkubo, Shinjyuku-ku, Tokyo, Japan ABSTRACT Using parallel phase-shifting interferometry, we attempted to observe the sound waves around a high-speed moving sound source. The parallel phase-shifting interferometry can visualize the sound waves in the air based on the relationship between the air density modified by the sound pressure and the light phase of the PPSI laser. In our experiment, the sound source that emits 40 kHz sinusoidal sound was launched at 50 km/h or 100 km/h using RTRI’s experimental testing facility. From the measurement, we succeeded in observing the frequency modulation caused by the Doppler effect. Furthermore, by applying three time-directional band-pass filters, frequency distributions around the high-speed moving source are clearly imaged. Therefore, the frequencies are modulated lower and higher at the backward and forward of the sound source, respectively. 1. INTRODUCTION

As wayside noise along railways remains an environmental issue, the characteristics of sound sources and sound propagation should be understood to reduce railway noise or improve noise

1 akutsu.mariko.82@rtri.or.jp 2 uda.toki.92@rtri.or.jp 3 yatabe@go.tuat.ac.jp 4 yoikawa@waseda.jp

(line ne at, r = | ia inter.noise SCOTTISH EV! VENT CAM pus = 2027? GLASGOW

prediction models. For high-speed trains, railway noise is assumed to be a moving source whose characteristics differ from those of a static sound source. Meanwhile, current noise prediction models comprising monopole sources do not consider the characteristics of moving sources (e.g., the Doppler effect). Therefore, identifying the characteristics of high-speed moving sound sources is important to help improve noise prediction models. Microphones have been used in most cased to measure sound. Microphone arrays have already been developed to identify sound sources and used for measuring train noise [1][2]. The directions of sound sources and a resulting sound map can be easily obtained by processing the signals between microphones. However, microphone arrays cannot directly visualize the sound propagation path. For the visualization, the sound pressure distribution over the entire sound field should be obtained. Schlieren photography is a conventional method for visualizing air fluctuations and has also been applied to sound waves [3]. As, this method is applicable only to high-pressure fluctuations due to its low sensitivity, some particular treatment is required for visualizing the sound waves. The measurement system used in this study, namely, parallel phase-shifting interferometry (PPSI, DELTAPH PHI-100; Photonic Lattice, Inc.), is also a promising measurement technology that can visualize sound waves, including unsteady phenomena, such as aerodynamic sound [4][5][6]. Using PPSI, we attempted to observe airborne sound waves radiated by a moving source running at 100 km/h. Consequently, we succeeded in visualizing sound waves and the frequency modulation of sound waves due to the Doppler effect. 2. MEASUREMENT METHOD OF PPSI

2.1. Measuring principle of PPSI Considering the relationship between sound pressure and air density, a sound field can be observed by the phase of light. The phase of light affected by sound was measured using PPSI. Figure 1 depicts the diagram of PPSI. The light emitted by the laser was split into two orthogonal polarizations: reference light and object light. The object light travels back and forth through the sound field, forming interference fringes with the reference light. The phase of these interference fringes is captured using a high-speed polarization camera (CRYSTA PI-1P; Photonic Lattice, Inc.,) [7]. This polarization camera, in which four sets of polarization filters are attached in front of its image sensor (Figure 2), can obtain spatial phase distributions. Typically, the phase of light is determined from interference fringes by adopting a phase-shift method. However, in practice, providing an exact phase shift to reference light is challenging. The following method was used in this study: the light phase was obtained from the measured interference fringes using hyper ellipse fitting in a subspace method [8], and the DC component was eliminated using a time-directional filter [9].

Figure 1: Schematic of parallel phase-shifting interferometry. The parallel phase- shifting interferometry consists of an interferometer and a polarized high-speed camera. The camera can detect the phase difference between the reference light and object light.

Spatial filter Lens |Quarter-wave plate High-speed polarization camera = Object light Reference ight

0 π/4

3π/4 π/2

Image sensor

Linear polarizer

Figure 2: Schematic of the high-speed polarization camera. Four sets of polarization filters are attached in front of its image sensor.

2.2. Converting light phase to sound pressure As mentioned in the previous section, the light phase is obtained by PPSI. This section discusses the conversion from light phase to sound pressure. At position r , changes in the air density cause alterations in the refractive index of light as

𝑛ሺ𝒓, 𝑡ሻൌ 𝐶൫𝜌 ଴ ൅𝜌ሺ𝒓, 𝑡ሻ൯൅1 , (1)

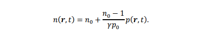
where 𝑛 represents the refractive index of light, 𝜌 ଴ represents the air density in the atmosphere, 𝜌 represents the air density fluctuations, and 𝐶 is a constant value. Assuming an adiabatic change, the relationship between light refraction and sound pressure p is expressed by the Glandstone-Dale equation as follows:

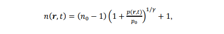
where 𝑝 ଴ represents the atmospheric pressure, 𝑛 ଴ represents the light refraction factor of the atmosphere, and 𝛾 is the specific heat ratio. As atmospheric pressure is sufficiently higher than sound pressure, this equation is linearized as

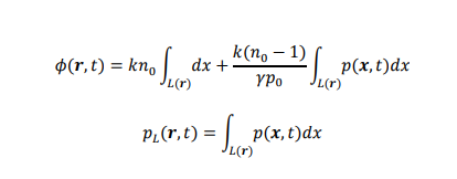
The light phase 𝜙 is obtained by integrating the light refraction along the light path 𝐿

where 𝒙 represents the position of the space and 𝑘 is the wave number of the laser light emitted by PPSI. After substituting Equation (4) to Equation (3), the following equations are obtained:

The first term in Equation (5) refers to the DC component and can be ignored when calculating the sound pressure level. Next, the sound pressure integrated along the laser path, 𝑝 ௅ [dB], is calculated as

𝑝 ௅ ሺ𝒓, 𝑡ሻൌ 𝛾𝑝 ଴ 𝑘 ሺ 𝑛 ଴ െ1 ሻ 𝜙ሺ𝒓, 𝑡ሻ൅𝐶 ஽஼ (7)

where C DC is a constant value. 3. VISUALIZATION OF THE SOUND FIELD AROUND A MOVING SOURCE

3.1. Experimental apparatus RTRI has an experimental testing facility wherein a specimen can be launched at a maximum speed of 550 km/h to examine aerodynamic phenomena, such as micro-pressure waves in tunnels or pressure fluctuation in open sections [10]. As shown in Figure 3, the facility is divided into the following three sections: shooting, measuring, and braking. Launcher parts was driven in the shooting section by four pairs of flywheels and guided by a taut steel wire that extended along the running direction. The launcher and specimen have axisymmetric shapes and are coupled by a rod; thus, the launcher part comes to a halt soon after reaching the shooting section. In this experiment, a sound source embedded in a model called sound parts was used. As a sound source, an ultrasonic transducer emitting a sinusoidal sound at 40 kHz was flush-mounted on the upper surface of the sound parts, radiating the sound vertically upward (Figure 4). This ultrasonic sound is suitable for visualizing sound waves because of its short wavelength and high sound pressure. The speed of the sound parts was approximately 50 km/h and 100 km/h. A counterweight was installed in the lower part of the sound parts to prevent their rotation. Two coils around the steel wire in the measuring section detect the magnet embedded in the sound parts to determine their running speed and position. The measurement area of PPSI was 100 mm in diameter and set above the sound parts (Figure 5). The frame rate of a high-speed polarization camera was 100 kfps.

Shooting section

Measuring section Braking section

Brake unit Detection coil

Sound  parts

Steel wire

Launcher parts Rod

Figure 3: Illustration of the experimental testing facility. The facility comprises shooting, measuring, and braking sections.

Figure 4: Sound parts used in this experiment: 40 kHz ultrasonic transducer was flush-mounted on the upper surface of the parts.

Side view (from PPSI)

Top view

Mirror  lens

Mirror lens

Laser light

Sound parts

Sound source

PPSI Laser light

Sound parts

Figure 5: Positional relationship between the parallel phase-shifting interferometry and the sound parts. The measurement area of parallel phase- shifting interferometry was 100 mm in diameter and set above the sound parts.

3.2. Observation results The measured data were analyzed as follows. First, phase maps were determined from the measured interference fringes by employing the hyper ellipse fitting in subspace [8] and time- directional high-pass filtering with a cutoff frequency of 8kHz [9]. Figure 6 shows the light phase of the sound field when the sound source, which moved from left to right, reaches the center of the image. The yellow and blue colors in the figure represent the crest and trough of the sound waves, respectively. Clearly, sound waves were emitted from the sound source and propagated in concentric circles from the sound source. Figure 7 shows the measured sound wave around the sound source at a speed of 0 (static), 50, and 100 km/h. As shown in these figures, the wavelength is shorter in front of the source (i.e., right side of the source) and longer in the back (i.e., left side of the source) when the sound source was moved. This frequency modulation is caused by the Doppler effect. To make the frequency difference evident, three types of time-directional filters (Figure 8) were also applied to the result of 100 km/h. As the sound source emitted the 40 kHz sinusoidal sound, we designed three types of band-pass filters with different passing frequencies: below 40, 40, and above 40 kHz. Figure 9 shows that the 40 kHz sound was radiated upward, indicating that this sound was not affected by the frequency modulation caused by the Doppler effect. Conversely, sound below 40 kHz and that above 40 kHz are radiated backward and forward, respectively.

Captured sound field Sound source 0.008 0.005 001s Phase[rad]

Figure 6: Measured sound waves with the parallel phase-shifting interferometry. Sound waves propagate in concentric circles from the sound source.

(a) 0 km/h (static) (b) 50 km/h (c) 100 km/h

Figure 7: Measured sound waves around a 40 kHz sound source. The sound source was flush-mounted on the upper surface of the sound parts. (a) represents the result of the static sound source. In (b) and (c), the sound source was moved from left to right at approximately 50 km/h and 100 km/h, respectively. Red scales indicate the same physical length on the left and right side of the sound source. In case (a) without the Doppler effect, the number of waves are the same on both sides. In cases (b) and (c), the number of waves on the right side of the sound source is greater, the left side less.

Figure 8: Specifics of the used time-directional band-pass filter. These filters were designed for the original sound (i.e., 40 kHz) and modulated sound (i.e., below 40 kHz and above 40 kHz).

(a) Below 40 kHz (b) 40 kHz (c) Above 40 kHz

Figure 9: Filtered result of the 100 km/h source. Clearly the freqencies are modulated lower and higher at the backward and forward of the sound source, respectively.

4. CONCLUSIONS

Using PPSI, we attempted to observe the sound waves around a high-speed moving sound source. PPSI can visualize the sound waves in the air based on the relationship between the air density modified by the sound pressure and the light phase of the PPSI laser. In our experiment, the sound source that emits 40 kHz sinusoidal sound was launched at 50 km/h or 100 km/h using RTRI’s experimental testing facility. From the measurement, we succeeded in observing the frequency modulation caused by the Doppler effect. Furthermore, by applying three time- directional band-pass filters, frequency distributions around the high-speed moving source are clearly imaged. Therefore, the frequencies are modulated lower and higher at the backward and forward of the sound source, respectively. However, this observation method using PPSI still has further concerns for the quantitative measurement; an example is the influence of integration along the laser path or lens distortion. Our future study will aim to clarify these points and provide solutions. 5. ACKNOWLEDGEMENTS

This study was a collaborative work between Waseda University, Kyoto University and Railway Technical Research Institute.

6. REFERENCES

1. Y. Takano, et al . Analysis of Sound Source Characteristics of Shinkansen Cars by means of X- shaped Microphone Array. Proc. Inter-Noise 96 , 399–402, (1996). 2. T. Uda, et al . Estimation of Aerodynamic Bogie Noise through Field and Wind Tunnel Tests. Noise and Vibration Mitigation for Rail Transportation Systems , 377–387 (2018). 3. Hargather, M.J., et al . Schlieren imaging of loud sounds and weak shock waves in air near the limit of visibility. Shock Waves , 20 , 9–17 (2010). 4. K. Ishikawa, et al . High-speed imaging of sound using parallel phase-shifting interferometry. Optics Express , 24(12) , 12922–12932 (2016). 5. K. Ishikawa, et al . Simultaneous imaging of flow and sound using high-speed parallel phase- shifting interferometry. Optical Letter , 43 , 991–994 (2018). 6. Y. Takase, et al . High-speed imaging of the sound field by parallel phase-shifting digital holography. Applied Optics , 60(4) , A179–A187 (2021). 7. T. Onuma, et al . A development of two-dimensional birefringence distribution measurement system with a sampling rate of 1.3 MHz. Optics Communications , 315 , 69–73 (2014). 8. K. Yatabe, et al . Hyper ellipse fitting in subspace method for phase-shifting interferometry: Practical implementation with automatic pixel selection. Optics Express , 25(23) , 29401–29416 (2017). 9. K. Yatabe, et al . Time-directional filtering of wrapped phase for observing transient phenomena with parallel phase-shifting interferometry. Optics Express , 26(11) , 13705–13720 (2018). 10. T. Fukuda. Experimental rig for the micro-pressure wave. J. INCE , 37(2) , 90–95(2013) (in Japanese).