Welcome to the new IOA website! Please reset your password to access your account.

Quantifying Non-linear Effects in Acoustic Source Localization Samuel Deleu 1 , Romain Gojon 2 , Jérémie Gressier 3 ISAE-SUPAERO 10 Avenue Edouard Belin, 33400, Toulouse, France

ABSTRACT Whenever acoustic source localization is considered, the assumed central hypothesis is the linearity of the acoustic wave. This hypothesis allows direct and inverse problems to be solved faster using the linearized Euler Equations or ray-tracing, for example. However, when considering high ampli- tude waves – acoustic shockwaves generated from a sniper shot, for instance - such simplification induces errors in the localization process. In the literature, acoustic source localization results re- lying on the linear hypothesis are considered to be acceptable without knowing the magnitude of the error. This paper focuses on quantifying the errors due to non-linear effects on the source local- ization when the linear hypothesis is assumed. The proposed methodology consists of quantifying the accuracy of the sound source position by solving the Euler equations with a spectral difference scheme of order 3 for different configurations. First, a reference case in the linear regime is care- fully computed. Then, the wave topologies are modified to resemble typical acoustical shockwaves: cylindrical N-wave signals from direct propagation and wall interaction are considered. The as- sessment is performed on multiple wave strengths and reflection angles to get a wide range of con- figurations from which errors due to the non-linear reflection will be thoroughly analyzed.

1. INTRODUCTION

In the process of identifying the exact position of an acoustic source, multiple methods can be found to be effective with relative errors on the position varying from about ten meters [1] up to a few centimeters [2] (to compare the accuracy of a given system, the error range needs to be normal- ized with the size of the domain studied). The obtained accuracy differs with the adopted technique and the observed acoustic signal. In the following, we will refer as linear-based technique a tech- nique that requires linear hypothesis on the signal propagation to be performed correctly. The most accurate approaches generally refer to indoor location system [3] as the indoor acoustics is general- ly linear. Indoor processes are usually performed on small scale configurations. In that manner, they incorporate weak perturbation signal and close-field propagation, a perfect combination to avoid the appearance of non-linearities and increase their accuracy. As an example to illustrate such methods we can cite time reversal acoustics. This method originally comes from the work of Fink [4] and is known for its ability to refocus acoustic waves at the original location of the acoustic source [5]. Fundamentally, the receiving sensors are turned into emitters generating a time-reversed signal. This is based on the assumption of an isentropic signal relying on the time symmetry of the wave

1 samuel.deleu@isae-supaero.fr

2 romain.gojon@isae-supaero.fr

3 jeremie.gressier@isae-supaero.fr

worm 2022

equation (time-reversal invariance) to be back-propagated in the exact same condition, only re- versed. Non-linear waves are known to be a limitation to this process. Tanter et al. [6] tackled this difficulty and observed that the reversibility holds and the energy stored in the harmonics compo- nents returns to the fundamental after the time reversal for the distorted wave, only up to the point where the shock is formed. This is equivalent to considering the shock formation as an absolute limit for the use of the time reversal method. Another example of a linear-based localization method is the ray-tracing technique. It uses linear reflection properties to describe the path of the wave as it impinges perfectly rigid surfaces. In that case, the angle of reflection of the reflected wave is sup- posed equal to the incident one, which is not the case for non-linear reflections [7, 8]. The simplest and widely used method for source localization is the Time of Arrival (ToA) [9], used in multiple applications such as underwater acoustics, impact detection in solids and of course open field acoustics. In practice, in order to obtain ToA, multiple sensors ensure the reception of signals emit- ted from the source. The sources and receivers must be time-synchronized to ensure precision of the arrival times. By performing direct ranging from the relationship of signal traveling time, speed, and distance, ToA are converted to circular loci of possible source positions. The point of intersec- tion of those different circular loci (at least three) corresponds to the position of the source. This method does account for neither non-linear propagation nor interactions (either diffraction or reflec- tion). The linear propagation of acoustic waves is a first-order approximation of Euler's equations which proves to be sufficient in many applications such as the musical industry or room acoustics, but which remains limited to the assumption of small pressure fluctuations around the steady-state. It can also be described as an acoustic signal with perturbations weak enough to avoid any conflicts with its own propagation. However, whenever large amplitude waves (also known as finite ampli- tude waves) are considered, this approximation is no longer relevant, and quadratic terms cannot be neglected anymore, leading to observable non-linear behaviors for both free field propagation and obstacle interactions. Physically, it means that the highest pressure regions of the wave witness a local shift of the sound speed inducing a steepening in the waveform that will eventually end up in a non-isentropic and strictly non-linear mechanism: the creation of a shock front [10]. The rate at which this phenomenon happens is directly driven by the amplitude of the wave. Such acoustical shocks - as they are called in the literature – are defined with their acoustic Mach number that is the ratio between the acoustic velocity 𝑣 𝑎 and the ambient sound speed 𝑐 0 [10, 11] linked to the acous- tic pressure through the relation 𝑀 𝑎 =

𝑝 𝑎 𝜌 0 𝑐 0 .

Since impulse sound sources are typically triggered from artillery shots – namely bullet Mach Waves and muzzle blast waves - explosions or any instantaneous release of energy, defense organ- isms see their interest arising around those questions. Therefore, determining the non-linearity con- tribution in the localization process of an acoustic signal of high amplitude is of great importance. Typical sound signature of such phenomenon can be approximated with N-waves that are called acoustical shocks (see Figure 1).

worm 2022

Figure 1: Schematic representation of the cylindrical N-wave along with characteristic

parameters of an N-wave namely the over pressure 𝑝 𝑎 and its wavelength 𝜆 . There are two possibilities for non-linearities to emerge from a physical point of view. The first one is directly linked to the propagation of such a wave form as previously mentioned, whereas the second comes from its interaction with surfaces along its propagation resulting in reflection, diffrac- tion and complex interactions between both. Non-linear propagation is analytically well described [10, 12, 13] and has also been studied in stratified atmosphere by Scott et al. [14]. As for the non- linear interaction of N-waves, various fundamental studies have been performed, either with the reflection of spherical N-wave generated from a spark-source, experimentally [15], as well as nu- merically over a plane rigid surface [16], or even over rough surfaces [17]. In their numerical study, Baskar et al. [8] classified all three different types of reflection, and introduced a fourth one - weak von Neumann reflection - depending on a critical parameter a =

worm 2022

sin(𝜃 𝑖 )

(𝛾+1)𝑀 𝑎 that should account for

diffraction and nonlinear effects. However, the influence of non-linearity of those specific waves on the determination of potential acoustic source location has not yet been treated. The present study aims at addressing this issue through the following organization. The source modeling is carefully described and constitutes the first part of Section II promptly followed by the analysis of cylindrical N-waves free-field propagation. Section III attempts to assess and quantify how much error is made when using a linear source localization approach with an acoustical shock signal. Section IV evaluates the known non-linear behavior of an N-wave to better underline the not very well known influence of the reflection pattern on the wave non-linearity. Section V summariz- es and put in perspectives the obtained results.

2. SOURCE MODELING AND NON-LINEAR FREE-FIELD PROPAGATION

To perform our simulation, we use an in-house massively parallel high-order computational code based on the use of unstructured meshes: IC3 ("IceCube")[18]. This solver is designed to numeri- cally solve the Navier-Stokes equations. Although the equations of interest are full Euler equations, IC3 is perfectly able to deal with simpler set of equations. IC3 is developed at ISAE-SUPAERO, Toulouse, France. The numerical approach used here is the Spectral Difference (SD) scheme. The SD scheme being intrinsically low dissipative, it is a consistent choice when dealing with acoustic propagation. The propagation of cylindrical acoustical shock waves of wavelength 𝜆 0 = 0.025𝑚

Pa

and initial amplitude 𝑝 𝑎,0 is performed on a 1700x1300 2-D grid, where the solution is updated at a fixed time step 𝑑𝑡= 4.1. 10 −7 𝑠 using a third order Runge-Kutta scheme. The values were chosen to respect a CFL condition for spectral differences 𝑐 0

Δ𝑡

Δ𝑥 (𝑝+ 1) < 1 with 𝑝= 3 the order of the pol- ynomial used in the numerical scheme, and Δ𝑥= Δ𝑦= 10 −3 𝑚 . The angle of incidence is evolving with the propagation and the source position. From this statement, three source positions were simulated. Source S1 located at 𝑦 𝑠 = 𝑅 0 + 𝜆 0 , S2 located at 𝑦 𝑠 = 𝑅 0 + 2𝜆 0 and S3 at 𝑦 𝑠 = 𝑅 0 + 8𝜆 0 (with 𝜆 0 the initial wavelength at t=0) The three sources share the same x-abscissa that is 𝑥 𝑠 = 0 . Different probe locations have been implemented in order to cover a wide range of angles. Each probe can be seen as a microphone. Each microphone is referenced as 𝑀 𝑛,𝑘 which gives in- formation on its position as n refers to its

𝑥

𝜆 0 position. For each n position, we count 𝑘∈

0,18 probes spread following a geometrical function in a way that more points of measurement are available near the wall and fewer away. The list of angles of incidence at the wall for different microphone x-positions is available in the Table 1. In the specific case of plane N-wave, such as sonic boom or bullet Mach wave, the wavelength is driven by the characteristic length of the supersonic object generating those waves, respectively a plane and a bullet in our example. The available physical N-shape is therefore bounded to a specific range regarding the ratio

𝑝 𝑎

𝜆 . In that sense, our strongest case ( 𝑀 𝑎 = 0.1, 𝜆= 𝜆 0 ) is highly improb- able to happen in real life. However, it helps to set a high boundary for our study. The cylindrical N-wave is constructed using equation (1) that enables to drive its initial wave- l ength and acoustic pressure amplitude:

worm 2022

2𝑝 𝑎,0

𝜆 0

𝜆 0 (𝑥−𝑥 𝑠 ) 2 + (𝑦−𝑦 𝑠 ) 2 − 𝑅 0 +

2 (1)

y =

With this modeling come some limitations. Indeed the given targeted value is not reached once discretized on the mesh. Also, the strong discontinuity comes with a back-propagating wave that emerges at 𝑡= 𝑡 0 + 𝑑𝑡 causing the time 𝑡 0 to be out of interest, as the acoustic energy is not entire- ly conserved at the initialization. Therefore, the second point of Figure 6 is preferred to be the origin for the fitting of p.

Table 1: Incident angle of the cylindrical wave impinging the surface, for different microphone and

source positions.

Probes Sources Mox Max Msn Mion Mien Moo, Ms0.« S1 45.00° 35.54° 21.04° 18.43° 13.39° 11.319 8.13° $2 54.46° 45.00° 28.3° 25.02° 18.43°| 15.64° 11.31° S3 68.96° 617° 45.00° 40.91° 31.76° 27.47° 20.38°

worm 2022

Figure 2: (a) Plane N-wave propagation simulation results for several amplitudes and (b) Difference

for the over-pressure pa between cylindrical N-wave (straight line) and plane N-wave (dot line)

propagation non-linearities. An N-wave is a relevant acoustic signal, especially when considering impulsive sound sources. The description of such an acoustic wave is done through two parameters that are the wavelength of the N as well as its amplitude, respectively 𝜆 and 𝑀 𝑎 . It is known in the field of weak shock waves that 𝑀 𝑎 is used as the strength parameter, which is equivalent as using 𝑝 𝑎 . The evolution of the pressure p and that of the wavelength λ of an already formed plane N-wave can be described as [ 13]:

𝑝 𝑎,0

𝑝 𝑎,0

𝛾+1

(𝑟−(𝑅 0 +𝜆 0 )

𝑃 0 (2)

𝑝(𝑟) =

, 𝜆(𝑟) = 1 +

𝑝 𝑎,0

𝛾

𝜆 0

1 + 𝛾+1

(𝑟−(𝑅0+𝜆0)

𝑃0

𝛾

𝜆0

with 𝑝 𝑎,0 the acoustic over-pressure at the initialization, 𝑃 0 the ambient pressure, the initial radius 𝑅 0 , and the initial wavelength 𝜆 0 . From re-worked Allan Pierce formulation (2) and known cylin-

𝑅 0

drical propagation pressure decrease 𝑝= 𝑝 𝑎,0

𝑟 , we could formulate the influence of both non-

“2 one Me plane: M, rhe,

li near contributions as:

𝛿𝑝= 𝛿𝑝 𝑐𝑦𝑙 + 𝛿𝑝 𝑁𝐿 (3)

with 𝛿𝑝 𝑐𝑦𝑙 referring to the geometrical pressure decrease and 𝛿𝑝 𝑁𝐿 the plane N-wave inherent non- linear behavior. The reduction of the over-pressure in 1/ 𝑟 simply reflects the fact that the same energy is distribut- ed over a larger area when moving away from the source and reflects the conservation of energy in the case of cylindrical wave surfaces.

‘max Pa [Pal

3. SOURCE LOCALIZATION ERROR ASSESSMENT: ON THE INFLUENCE OF NON- LINEAR CONSIDERATION

From a linear acoustic point of view, the localization process of a direct propagated signal is very simple as its speed of propagation is exactly c0. As briefly explained in the introduction, the ToA method is effective as long a direct signal is received on three microphones. The triangulation is then performed using the calculated distance from each microphone. However, a non-linear wave - taken as a cylindrical N-wave in our study - is not that simple as it has already been thoroughly explained in section II, where non-linear propagation wave properties have been decomposed and checked with theoretical formulations. Still, the same method is applied for both types of waves, as the error is expected to increase for strong non-linear cases. Figure 3 displays the loci of probable presence of the source for two cases: a) linear (stated as the reference where 𝑝 𝑎 = 14Pa and b) strongly non-linear ( 𝑝 𝑎 = 14000Pa).

worm 2022

(a) (b)

Mos M20,10 Mais ToA source position Exact Source Position 10

(c)

Figure 3: ToA Calculated source position for (a) linear case and (b) non-linear case. Below the rela-

tive difference 𝜀 of non-linear cases for multiple values of 𝑝 𝑎 .

For the reference case, we can observe that the position of the source is not exactly retrieved. This is not what is expected. However, this discrepancy can be explained as follow. The source- microphone distance (that is used to plot the loci of possible presence for each microphone) is de- termined from a ToA value. This value is defined as the time where the leading shock hits the mi- crophone. This particular time-value is derived from the maximum gradient position, thus located at discontinuities of the N-wave signal. From this maximum peak, we can get back to the time at which they appear and select the first one, necessarily representing the time at which the leading shock hits the microphone. Now, the further from the source, the more distorted the recorded signal is, and therefore the less abrupt the discontinuities are, leading to a lower accuracy on the ToA val- ue. In short, the further the microphone is from the source the less accurate the deducted reference

Mos M20,10 Maas ToA source position Exact Source Position 10

ee Pal

source position will be. Despite this result, the choice is made to analyze signals from far-field mi- crophones (more than 20𝜆 0 from the source) for two reasons. The first one is that for non-linear waves, the effects of non-linearity are more visible away from the source (see Figure 5), which is what we intend to quantify here. The second one is that even though the linear case should be per- fectly aligned with the source position, the localization error evolution between this linear reference and strongly non-linear case will be as relevant as if the reference case directly crossed the exact source position. From the latter statement, Figure 3.c) represents the error evolution with different N-wave amplitudes, relatively to the referenced case. We can observe that on the localization of high amplitude signal, the error 𝜀 can reach 3%. The localization of a direct non-linear signal gave us quantitative information regarding the error made using linear localization method with strong non-linear acoustic signal such as cylindrical N-waves. This is under the strong hypothesis that the signal received travelled along the “line-of-sight” path, which is rarely the case. In particular, the signal can be either diffracted or reflected or both over its propagation, causing the path to be long- er, and ToAs to be ill-matched. Also, the signal initial conditions being not known from the receiv- ers, the distinction between direct or reflected signal is not straightforward. In order to make a step toward this pursued objective, we try in the next section to evaluate the non-linearity of the reflected signal for different reflection cases.

worm 2022

Figure 4: Visualization of the direct (section III) 𝑅 𝑟𝑎𝑦

𝐷 and reflected (section IV) shock trajectories 𝑅 𝑟𝑎𝑦

𝑅 .

4. NON-LINEAR QUANTIFICATION FOR THE REFLECTION OF CYLINDRICAL N- WAVE

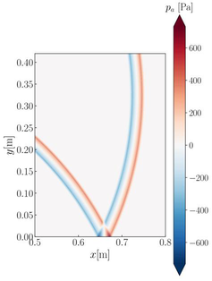
We can distinguish several regimes of reflection regarding acoustical shocks, depending on the acoustic Mach number and the angle of incidence. It can be either a regular reflection, where inci- dent and reflected shock share a point attached to the reflecting surface, or irregular, meaning that the same point is detached from the surface, leading to the apparition of a Mach stem (see Figure 5). An irregular reflection is inherently non-linear, whereas a regular reflection can be either linear (in- cident and reflected angles are equal), or non-linear, as the reflected angle can differ from the inci- dent one. Reflection of weak shock waves such as acoustical shocks have been investigated both numerically and experimentally [15, 16] with the will to deeply understand the reflection structure

that occurs for such weak shock-waves. The particular interest addressed onto those reflections is due to their reflection pattern that can substantially vary and give potential wrong interpretation of a microphone signal. For instance, if a microphone is located on figure 5.b) at (1.5, 0.25), the record- ed signal is an N-wave of wavelength 2𝜆 , as incident and reflected N cancel out each other on that point. The purpose of this section is to lay some basis regarding the reflection non-linearity and how it influences the common parameters used for source localization such as ToAs.

worm 2022

(a) (b)

Figure 5: Pressure field map for two distinctive regimes of reflection: (a) regular and (b) irregular.

With (a) source S3 and 𝑝 𝑎 = 1400 𝑃𝑎 and (b) source S1 and 𝑝 𝑎 = 14000 𝑃𝑎 The approach here resembles the one we used for direct propagated signal (section II). However, we will now segregate the incident signal from the reflected one with an a priori knowledge that it is reflected. This information is a parameter we want to avoid having in the future, so that we can make an oriented guess on whether the received signal is indeed a reflection or not. From the ray theory, we know that only one ray goes from the source to a given microphone position. Since we suppose a linear behavior, the incident and reflected angles are equal. This leads to one particular distance 𝑅 𝑟𝑎𝑦 representative of the path followed by the reflective wave of a linear case. On figure 4 the distance 𝑅 𝑟𝑎𝑦 is given for each 𝑀 8,𝑘 and 𝑀 34,𝑘 (same x-position, different y-position).

Pa [Pa an oo} asst 00 20 0 20 0} 0.05} 0 0.05 06 07 oS fo

𝐿𝑖𝑛 = 𝑅 𝑟𝑎𝑦

𝑁𝐿 = 𝑅 𝑟𝑎𝑦

𝑇 𝑅 𝑟𝑎𝑦

, 𝑇 𝑅 𝑟𝑎𝑦

(4)

𝑐 0 + (𝛾+ 1)𝑝(𝑅 𝑟𝑎𝑦 )

𝑐 0

2𝜌 0 𝑐 0

Considering the speed of propagation depends on the pressure amplitude, we can, from equation (2), get the time needed for a cylindrical N-wave to propagate over the distance 𝑅 𝑟𝑎𝑦 : 𝑇 𝑅 𝑟𝑎𝑦

𝑁𝐿 (see

𝐿𝑖𝑛 (see equa-

equation (4)). The same goes for a plane linear case, where this time is defined as 𝑇 𝑅 𝑟𝑎𝑦

Pa (Pal 07 2000 06) 190 aa 1000 00 02) 100 o 100) 2000 16

𝑇𝑐 0

tion (4)). In the following we define 𝜏 𝜆 =

𝜆 0 with T the measured time at which a given micro-

phone receives a signal. The variable 𝜏 𝜆

worm 2022

(a) (b)

𝐿𝑖𝑛 and 𝑇 𝑅 𝑟𝑎𝑦

𝑁𝐿 and difference between 𝑇 𝑅 𝑟𝑎𝑦

𝑁𝐿 and 𝑇 𝑠𝑖𝑚𝑢 plotted for three wave amplitudes: 140, 1400 and 14000 Pa for (a) all microphones 𝑀 8,𝑘 and (b) all micro-

Figure 6: Difference between 𝑇 𝑅 𝑟𝑎𝑦

phones 𝑀 34,𝑘

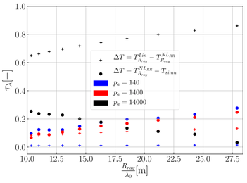
The difference between those two time values accounts for the propagation effect of a cylindrical N-wave. It is plotted with a “+” for different microphone x-positions 𝑀 8,𝑘 (figure 6.a)) and 𝑀 34,𝑘 (figure 6.b)). As seen in section II, the propagation effect of a cylindrical N-wave has already been treated and will not be discussed in this section. However, the plots give a reference gap against which we can assess the reflection effect, hence their presence. The variable of interest here is 𝑇 𝑠𝑖𝑚𝑢 . It represents the time given by the actual reflected shock to propagate along the distance 𝑅 𝑟𝑎𝑦 . Therefore, 𝑇 𝑠𝑖𝑚𝑢 will bear the information of propagation non-

: : . poo tog, 3 : ot. |. | ' BO Ts m0 Bs Bo Ws "i

𝑁𝐿 −𝑇 𝑠𝑖𝑚𝑢 has the advantage of isolating the effect of the reflection. The increasing distance 𝑅 𝑟𝑎𝑦 means that the microphone used is further away from the source. Looking at figure 4, we understand that the angle of incidence is therefore lower as 𝑅 𝑟𝑎𝑦 increases. According to the data, for both cases (pa = 140 and pa = 1400Pa) the gap between the reflected wave of the non-linear case (without any effect from reflection) and the simulation, is increasing. It means that the reflected angle would tend to decrease as well. The smaller the incident angle, the smaller the reflected angle. Since the difference between 𝑇 𝑅 𝑟𝑎𝑦

linearity as well as reflection non-linearity. Plotting Δ𝑇 𝑅 = 𝑇 𝑅 𝑟𝑎𝑦

𝑁𝐿 and 𝑇 𝑠𝑖𝑚𝑢 is not 0, we can deduce that the regime of reflection of those cases is either regular non-linear or irregular. High amplitude behavior ( 𝑝 𝑎 = 14000𝑃𝑎 ) is not yet well understood. We know that for this case, the reflection is irregular at least when seen by the microphone 𝑀 34,𝑘 (see figure 5.b)). The decreas-

1.0) 0 140 14000 wT

ing and increasing could be a coupling effect between non-linear propagation and irregular reflec- tion pattern that should require further investigation. 5. CONCLUSIONS & DISCUSSIONS

The propagation of cylindrical N-wave in open-field as well as its interaction with a perfectly rigid surface has been studied with a focus on the quantification of non-linearities on the source localiza- tion process. To do so, numerical simulations solving the full Euler set of equation using spectral difference of order 3 have been carried out for numerous wave amplitudes. The general approach has been to use cylindrical N-wave – strictly non-linear – as sources, with localization methods commonly referenced as linear-based such as ToA techniques. We noticed that, though the linear localization does not provide a perfect result as expected, the method could lead to errors up to 3% in the source localization compare to suitable linear waves. The end-goal being to be able to give a correction for those techniques to be used properly with actual non-linear waves, the reflected wave non-linearity has been treated. Indeed, an interesting investigation that consisted in segregated the reflected wave from the incident was used using ToA of the reflected shock to attend at quantifying its non-linearity. On that matter, we give an explanation regarding the growth tendency for all cases. However, other found behaviors such as the change of slope for the strongest case would need fur- ther investigation. One lead to do so would be, as each microphone receives a reflected wave from different place, to check for each microphone, what was the reflection pattern at the moment it im- pinged the surface. This would help us to segregate effects from a potential Mach stem to non-linear regular reflection effects. 6. REFERENCES

[1] S. Cheinet, L. Ehrhardt, and T. Broglin. “Impulse source localization in an urban environment: Time reversal versus time matching”. In: The Journal of the Acoustical Society of America 139.1 (2016), pp. 128–140. issn: 0001-4966. doi: 10.1121/1.4938231.

[2] N. Aloui. “Localisation sonore par retournement temporel”. In: PhD thesis (2015)

[3] I. Rishabh, D. Kimber, and J. Adcock. “Indoor localization using controlled ambient sounds”. In: 2012 International Conference on Indoor Positioning and Indoor Navigation, IPIN 2012 - Con- ference Proceedings (2012). doi: 10.1109/ IPIN.2012.6418905

[4] M. Fink. “Time Reversal of Ultrasonic Fields—Part I: Basic Principles”. In: IEEE Transactions on Ultrasonics, Ferroelectrics, and Frequency Control 39.5 (1992), pp. 555–566. issn: 08853010

[5] D. G. Albert, L. Liu, and M. L. Moran. “Time reversal processing for source location in an ur- ban environment”. In: The Journal of the Acoustical Society of America 118.2 (2005), pp. 616–619. issn: 0001-4966. doi: 10.1121/1. 1925849

[6] M. Tanter et al. “Breaking of time reversal invariance in nonlinear acoustics”. In: Physical Re- view E - Statistical Physics, Plasmas, Fluids, and Related Interdisciplinary Topics 64.1 (2001), p. 7. issn: 1063651X. doi: 10.1103/PhysRevE. 64.016602

[7] G Ben-Dor. Shock Wave Reflection Phenomena. Springer, 2007

worm 2022

[8] S. Baskar, F. Coulouvrat, and R. Marchiano. “Nonlinear reflection of grazing acoustic shock waves: Unsteady transition from von Neumann to Mach to Snell-Descartes reflections”. In: Journal of Fluid Mechanics 575 (2011), pp. 27–55. issn: 00221120. doi: 10.1017/S0022112006003752

[9] K. W. Lo and B. G. Ferguson. “Localization of small arms fire using acoustic measurements of muzzle blast and/or ballistic shock wave arrivals”. In: The Journal of the Acoustical Society of America 132.5 (2012), pp. 2997–3017. issn: 0001-4966. doi: 10.1121/1.4757737

[10] D. T. Hamilton and M. F. Blackstock. Nonlinear Acoustics. Acoustical Society of America, (2008)

[11]G.B. Whitham. Linear and nonlinear waves. (1974). isbn: 0471359424. doi: 10. 4249/scholarpedia.4308

[12] J. W. M. Dumond. “A Determination of the Wave Forms and Laws of Propagation and Dissi- pation of Ballistic Shock Waves”. The Journal of the Acoustical Society of America (1946)

[13] A. D Pierce. Acoustics: An Introduction to Its Physical Principles and Applications. (1989) isbn: 9783030112134

[14] J. F. Scott, P. Blanc-Benon, and O. Gainville. “Weakly nonlinear propagation of small- wavelength, impulsive acoustic waves in a general atmosphere”. In: Wave Motion 72 (2017), pp. 41–61. issn: 01652125. doi: 10.1016/j.wavemoti.2016. 12.005

[15] M. M. Karzova et al. “Mach stem formation in reflection and focusing of weak shock acoustic pulses”. In: The Journal of the Acoustical Society of America 137.6 (2015), EL436–EL442. issn: 0001-4966. doi: 10.1121/1.4921681

[16] C. Desjouy et al. “Irregular reflection of weak acoustic shock pulses on rigid boundaries: Schlieren experiments and direct numerical simulation based on a Navier-Stokes solver”. In: Phys- ics of Fluids 28.2 (2016). issn: 10897666. doi: 10.1063/1.4940987.

[17] T. Lechat. “´Etude de la réflexion d’ondes de choc acoustiques sur des parois rugueuses”. In: PhD thesis (2020)

[18] G. Sáez-Mischlich, J. Austin Sierra, & J. Gressier, (2021). The Spectral Difference Raviart- Thomas method for two and three-dimensional elements and its connection with the Flux Recon- struction formulation., preprint.

worm 2022