Welcome to the new IOA website! Please reset your password to access your account.

A model of the rotating rigid wheelset and its influence on the wheel and track rolling noise

V. T. Andrés 1 , J. Martínez-Casas 2 , F. D. Denia 3

Instituto de Ingeniería Mecánica y Biomecánica Universitat Politècnica de València, Camino de Vera s / n, 46022 Valencia, Spain

G. Squicciarini 4 , D. J. Thompson 5

Institute of Sound and Vibration Research University of Southampton, Southampton SO17 1BJ, United Kingdom

ABSTRACT The dynamic and acoustic behaviour of the railway wheel is defined by its numerous vibration modes and natural frequencies. The modes whose contribution to the rolling noise radiation are predominant generally have 2 or more nodal diameters and appear above 2 kHz. The vibration due to these modes is decoupled from the rest of the wheelset, allowing the wheel to be treated separately. The error produced in the wheel noise prediction by this treatment appears at the low and medium frequencies and is negligible since the wheel emission occurs mainly at the high frequency range. However, given the dynamic coupling between the wheel and track, the changes in the dynamics of the former a ff ect the latter, whose radiation is predominantly in the low and medium frequency range. Therefore, in order to correctly study both elements, it is necessary to include the contribution of the rest of the wheelset in the wheel response. In this work, this contribution is introduced through an analytical approach considering the rigid body motion of the wheelset and a benchmarking against an equivalent numerical formulation is carried out for validation purposes. In addition, the inertial e ff ects associated with the rotation under straight circulation conditions are considered.

1. INTRODUCTION

The railway wheel is characterized by its vibration modes, from which those with 0 or 1 nodal diameter are coupled with the vibration of the axle while the ones with more nodal diameters are decoupled. Since the last are the predominant in the wheel sound radiation [1], modelling this component without the axle, i.e. directly constraining the inner edge of its hub [2], is a good approximation for the noise evaluation. However, due to the wheel–rail interaction, omitting the axle

1 vicanrui@upv.es

2 jomarc12@mcm.upv.es

3 fdenia@mcm.upv.es

4 g.squicciarini@soton.ac.uk

5 djt@isvr.soton.ac.uk

a slaty. inter.noise 21-24 AUGUST SCOTTISH EVENT CAMPUS O ¥, ? GLASGOW

in the wheel model can influence the vibration and sound radiation from the elements in the track, especially in the low and medium frequency ranges (below 2 kHz), where these components are predominant [3,4]. To overcome this limitation, Thompson proposed to superimpose the contribution of the wheelset rigid body modes on the wheel vibration [5].

In this work, an analytical model of the rigid wheelset is presented. This is considered to be rotating about its main axis at a constant speed. An Eulerian approach is proposed, leading to the corresponding equations of the rigid body motion (RBM). Although the model is developed for a railway wheelset, it is valid for any rotating system. Once the equations are obtained, the wheelset motion due to the wheel–rail interaction is solved and superimposed on the constrained wheel vibration, which is evaluated using the Finite Element Method (FEM). In addtion, advantage is taken of the wheel axial symmetry. This treatment is compared with the case of the constrained wheel alone and with a full FE model of the wheelset. Also, the proposed analytical model is benchmarked against a numerical approach based on the rigid body modes of the wheelset.

2. VIBROACOUSTIC MODELS

2.1. Wheelset As previously mentioned, the RBM of the wheelset is superimposed on the flexible wheel vibration, where the first is modelled analytically, which is the main contribution of this work. To do this, the following six RBMs are considered: three translations w c , 1 , w c , 2 and w c , 3 (the subscript c indicates center of mass) as well as three rotations α 1 , α 2 and α 3 , where the directions 1, 2 and 3 are defined in Figure 1. The position r of any particle of the rotating wheelset can be given by:

r = u + w c + w α , (1)

where u  u 1 u 2 u 3  T is the spatial position of the particle before the motion, w c  w c , 1 w c , 2 w c , 3  T contains the motion due to the translation and w α represents the motion due to the rotation of the body; assuming small displacements, the latter can be expressed as follows:



 u . (2)

0 − α 3 α 2 α 3 0 − α 1 − α 2 α 1 0

w α =

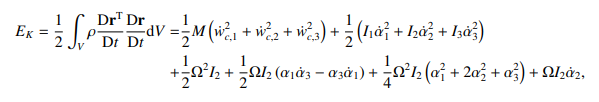
The rigid wheelset is assumed to be rotating at a constant speed Ω about axis 2. The kinetic energy E k of the wheelset can be evaluated as:

with ρ being the material density, V and M the volume and mass of the wheelset, respectively, and I j the moment of inertia about j th axis. By means of the Lagrange equations, the six equations of the

wheelset RBM are given by:

M ¨ w c , 1 = F 1 M ¨ w c , 2 = F 2 M ¨ w c , 3 = F 3

I 1 ¨ α 1 − Ω I 2 ˙ α 3 − 1

(4)

2 Ω 2 I 2 α 1 = T 1

I 2 ¨ α 2 − Ω 2 I 2 α 2 = T 2

I 3 ¨ α 3 + Ω I 2 ˙ α 1 − 1

2 Ω 2 I 2 α 3 = T 3

where F i and T k are, respectively, the external force applied in the i th direction and external torque applied about the k th axis.

3

1 •+-----·-·-·-·-·-·-·-·-·-·-·-·-·-·-·-·-·-·-·-·-·-·-

Figure 1: Definition of the reference system for the rigid wheelset.

Regarding the flexible wheel, its dynamics is described through the model proposed by Andrés et al. [6] which takes advantage of the axial symmetry of the wheel. The vibration in the circumferential direction is solved analytically while a FE approach is used for the wheel cross-section. As previously mentioned, the wheel is constrained in the inner edge of the hub. Using this model, the vibration of the flexible wheel due to the wheel–rail interaction force is evaluated and, after solving Equation 4, superimposed on the wheelset RBM.

Once the railway wheel dynamics is evaluated, its sound radiation is computed by postprocessing the vibrational field on its surface using the model developed by Thompson [2]. Since this is formulated in the frequency domain, the dynamic models of the rigid wheelset and flexible wheel are also transformed to the frequency domain.

2.2. Track In this work, the railway track is modelled as a continuous viscoelastic two-layer system with uniform transverse section, where the rail is supported by the rail pads, sleepers and ballast (spring–mass–spring system). To do this, the properties of the rail pad, sleeper and ballast are distributed per unit length [7], which omits the e ff ects associated with the pinned–pinned frequency. The dynamic behaviour of the track is characterized using periodic structure theory; details of the formulation employed can be found in [8,9]. After solving the vibration of the track, the contributions to the sound radiation from the rail and sleeper are evaluated using the acoustic model described in Ref. [10].

3. RESULTS

The contribution of the wheelset RBM is mainly important in the low and medium frequency ranges ( < 2 kHz), whereas in the high range its influence is insignificant compared with the vibration of the

constrained flexible wheel. This can be observed in Figure 2, where the frequency response functions (FRF) of the wheel at its contact point are represented for three di ff erent models: (1) the wheel constrained at the inner edge of the hub, (2) the previous one plus the contribution of the wheelset RBM and (3) the whole wheelset modelled using the FEM. The last one is supposed to be the more accurate but with a higher computational e ff ort. The results from the second and third models have similar trend throughout the frequency range studied and both di ff er significantly from the first model in the low frequency range.

(a)

(b)

(c)

Figure 2: Mobilities at the wheel contact point for a vehicle speed of 80 km / h. (a): axial / axial; (b): axial / radial; (c): radial / radial. : Only constrained wheel; : Constrained wheel + wheelset RBM contribution; : Numerical wheelset.

Comparing the model without the wheelset RBM contribution (model 1) and the one including it

(model 2), the di ff erences in the wheel FRF not only a ff ect the wheel response, but also the wheel– rail interaction force. This, in turn, modifies the track vibration and sound power levels (SWL). Since the main discrepancies in the wheel FRF are found in the low frequency range, the influence of the wheelset RBM contribution in both wheel and track is important mainly in such range. As shown in Figure 3(a), most of the acoustic radiation energy from the wheel is above 1 kHz and, consequently, the wheelset RBM contribution does not a ff ect notably the overall SWL (a di ff erence of 0.1 dB(A) is found between model 1 and model 2). Conversely, as observed in Figure 3(b), most of the acoustic energy from the track is below 1 kHz and a di ff erence of 0.8 dB(A) in the overall SWL is found between model 1 and model 2, therefore the wheelset RBM contribution being highly influential on the track noise (sum of the rail and sleeper noise). Taking into consideration the three components, in Figure 3(c) the total SWL are given. As can be seen, a di ff erence of 0.7 dB(A) is found between the models with and without the wheelset RBM contribution. Additionally, the SWL obtained with the numerical wheelset model (model 3) are similar to the ones from the model of the constrained wheel plus the wheelset RBM contribution (model 2).

(a) (b)

(c)

Figure 3: SWL from components for a vehicle speed of 80 km / h. (a): wheel; (b): track; (c): total.

: Only constrained wheel; : Constrained wheel + wheelset RBM contribution; : Numerical wheelset.

Lastly, the proposed model is benchmarked against an equivalent numerical formulation, in which the six rigid body vibration modes of the wheelset are computed through a FE approach. The contribution of those to the motion is added to the constrained flexible wheel vibration instead of the analytical approach proposed in this work. The total SWL obtained with both approaches, which are shown in Figure 4, are indistinguishable, validating the presented analytical formulation.

Figure 4: Benchmarking of the total SWL from the proposed model. : Constrained wheel + analytical wheelset RBM contribution (proposed model); : Constrained wheel + numerical approach of the wheelset RBM contribution.

4. CONCLUSIONS

An analytical model of the rotating rigid wheelset is proposed, which can be used for any other rotating system. By means of this model, the wheelset RBM contribution is superimposed on the constrained wheel vibration. This has a significant influence in the wheel dynamics in the low and medium frequency ranges. Besides, the consideration of the wheelset RBM contribution is shown to a ff ect also the track vibration by modifying the wheel–rail interaction forces. While the influence of such contribution is low in the wheel sound radiation in terms of overall SWL in dB(A), it is notable in the rail and sleeper sound radiation, which highlights its relevance. For both each component and total noise, the consideration of the wheelset RBM contribution improves the agreement with the results of a full numerical model of the wheelset. Lastly, the proposed analytical model is compared with a numerical approach, obtaining same results.

ACKNOWLEDGEMENTS

This paper is part of the project PID2020-112886RA-I00, grant FPU18 / 03999 and grant EST21 / 00213 funded by MCIN / AEI / 10.13039 / 501100011033 as well as by “ESF Investing in your future”. The authors also acknowledge Programa PROMETEO / 2021 / 046 of Generalitat Valenciana.

REFERENCES

[1] D. J. Thompson. Wheel-rail noise generation, part II: Wheel vibration. Journal of Sound and Vibration , 161(3):401–419, 1993. doi: https://doi.org/10.1006/jsvi.1993.1083 . [2] D. J. Thompson and C. J. C. Jones. Sound radiation from a vibrating railway wheel. Journal of Sound and Vibration , 253(2):401–419, 2002. doi: https://doi.org/10.1006/jsvi.2001. 4061 . [3] D. J. Thompson, G. Squicciarini, J. Zhang, I. Lopez Arteaga, E. Zea, M. Dittrich, E. Jansen, K. Arcas, E. Cierco, F. X. Magrans, A. Malkoun, E. Iturritxa, A. Guiral, M. Stangl, G. Schleinzer, B. Martin Lopez, C. Chaufour, and J. Wändell. Assessment of measurement- based methods for separating wheel and track contributions to railway rolling noise. Applied Acoustics , 140:48–62, 2018. doi: http://doi.org/10.1016/j.apacoust.2018.05.012 .

[4] V. T. Andrés, J. Martínez-Casas, F. D. Denia, and D. J. Thompson. Influence study of rail geometry and track properties on railway rolling noise. Journal of Sound and Vibration , 525:116701, 2022. doi: https://doi.org/10.1016/j.jsv.2021.116701 . [5] D. J. Thompson. Railway Noise and Vibration. Mechanisms, Modelling and Means of Control . Elsevier, 2009. ISBN: 978-0-08-045147-3, doi: https://doi.org/10.1016/ B978-0-08-045147-3.X0023-0 . [6] V. T. Andrés, J. Martínez-Casas, J. Carballeira, and F. D. Denia. Development of a dynamic model of the axisymmetric railway wheel for sound radiation prediction. INTER-NOISE and NOISE-CON Congress and Conference Proceedings, InterNoise21, Washington, D.C., USA, 2021, pp. 3362-3368(7). doi: https://doi.org/10.3397/IN-2021-2385 . [7] D. J. Thompson, B. Hemsworth, and N. Vincent. Experimental validation of the TWINS prediction program for rolling noise, part 1: description of the model and method. Journal of Sound and Vibration , 193(1):123–135, 1996. doi: http://doi.org/10.1006/jsvi.1996. 0252 . [8] D. J. Mead. A general theory of harmonic wave propagation in linear periodic systems with multiple coupling. Journal of Sound and Vibration , 27(2):235–260, 1973. doi: http://doi. org/10.1016/0022-460X(73)90064-3 . [9] D. J. Thompson. Wheel-rail noise generation, part iii: Rail vibration. Journal of Sound and Vibration , 161(3):421–446, 1993. doi: http://doi.org/10.1006/jsvi.1993.1084 . [10] D. J. Thompson, M. H. A. Janssens, and F. G. de Beer. Track Wheel Interaction Noise Software (TWINS) Theoretical Manual (version 3.4) . TNO report, TNO Institute of Applied Physics, 2019.