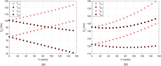
A A A An in-plane flexible ring model for the analysis of the free and forced response of a rolling tyre Ivano La Paglia 1 Politecnico di Milano Department of Mechanical Engineering, Via La Masa 1, Milan 20156, Italy Luca Rapino 2 Politecnico di Milano Department of Mechanical Engineering, Via La Masa 1, Milan 20156, Italy Francesco Ripamonti 3 Politecnico di Milano Department of Mechanical Engineering, Via La Masa 1, Milan 20156, Italy Roberto Corradi 4 Politecnico di Milano Department of Mechanical Engineering, Via La Masa 1, Milan 20156, Italy Simone Baro 5 Pirelli Tyres S.p.A. Viale Piero e Alberto Pirelli 25, Milan 20156, Italy ABSTRACT The increased demand for vibroacoustic comfort as well as regulations on noise and vibration levels made the NVH performances of a vehicle one of the fundamental design criteria. Therefore, predictive models for the analysis of noise and vibration transmission mechanisms represent interesting tools to support the R&D department of the automotive companies. Focusing the attention on passenger’s comfort, the vibrations induced by the tyre/road interaction propagate from the contact area to the hub and finally inside the cockpit through structure-borne transmission paths. This can be regarded as one of the major contributors to car cabin interior noise at low frequencies (20-500 Hz). Simplified models able to interpret the waves propagating inside the tyre structure and influenced by the angular speed may support the studies in this research field. To this end, an analytical model based on the theory of the flexible ring on elastic foundation was developed. It allows analysing the tyre dynamics in both static and rotating conditions. Model parameters were calibrated based on an Experimental Modal Analysis of the static tyre. The free response of the tyre 1 ivano.lapaglia@polimi.it 2 luca.rapino@ polimi.it 3 francesco.ripamonti@ polimi.it 4 roberto.corradi@ polimi.it 5 simone.baro@pirelli.com shows the bifurcation effect at different rotating speeds, while a cleat test simulation allows investigating the forced response of the tyre. 1. INTRODUCTION The NVH (Noise, Vibration, Harshness) performances of a vehicle are nowadays one of the fundamental design criteria due to the increased demand for vibroacoustic comfort. Both experimental and numerical investigations can be considered to address airborne and structure- borne noise [1,2]. Predictive models for the analysis of noise and vibration transmission mechanisms represent interesting tools. In this regard, structure-borne transmission path can be identified as the major contributor to the car cabin interior noise at the low frequency (up to 500 Hz). The most promising strategy to reduce its influence consists in acting directly on the source [3,4]. To this end, the R&D department of the automotive companies have been involved in the design of several predictive models [5-8], that can be grouped into Finite Element Models (FEM) and analytical ones. The former is typically adopted in case highly accurate results are required. Examples of FEM models adopted to study the free response of a rolling tyre are provided in [9,10]. However, although they provide a lower degree of complexity and consequently of accuracy, analytical model may provide useful guidelines to interpret the physics of the phenomena involved in the tyre dynamics. Moreover, being model complexity reduced, they are generally fast to execute. In this regard, different analytical models have been proposed in the literature, to analyse the case of a thin rotating ring [11-15]. These studies have been adapted to the specific field of interest, such as tyre dynamics [8,16-18]. In this paper, an analytical model of a flexible ring is proposed, aimed at reproducing the in- plane vibration of a tyre, in both static and rotating conditions (at constant speed). Differently from other previous work, the nonlinear equations of motions are derived at first to better account for the peculiarities of a tyre (such as the pretensioning of the ring due to the inflation pressure and centrifugal loads). Attention is paid to the bifurcation effect of the natural frequencies, which governs the rotating case. Model parameters have been tuned based on an Experimental Modal Analysis of a static tyre, and then adopted to simulate the tyre free and forced response. 2. THE IN-PLANE FLEXIBLE RING MODEL To investigate the dynamics of a rotating tyre, an in-plane model based on the theory of the flexible ring on an elastic foundation is proposed, showed in Figure 1. Figure 1: Model of the thin flexible ring on elastic foundation. Coordinates adopted, reference systems and model parameters. The physical system is composed of the tread, the sidewalls, and the wheel. From a modelling point of view, the first component is treated as a circular, thin flexible ring made of homogenous isotropic material. The ring is described by a mean radius a and a thickness h , and by an axial and bending stiffness ( 𝐾 and 𝐷 respectively). The wheel is introduced as an infinitely rigid and symmetric component with mass and inertia moment. The tread and the wheel are linked by the Dy @) sidewalls, modelled as a massless elastic foundation composed by radial and circumferential springs ( 𝑘 𝑟 and 𝑘 𝜃 ) distributed along the ring circumference. To account for the tyre rotation, the angular speed Ω is considered. Two reference systems are shown in Figure 1: the absolute reference frame (fixed) is reported as black lines (x*-z*), while the green one (x-z) represents a frame rotating at the same speed Ω of the tyre. The independent coordinates of the system are highlighted in red. The modelling strategy adopted leads to the introduction of and infinite number of degrees of freedom (DOFs) for the flexible ring. In addition, three DOFs are also considered, accounting for the displacements and rotation of the wheel. As a result, two Partial Differential Equations (PDE) describe the ring radial and circumferential vibration ( 𝑢 𝑟 and 𝑢 𝜃 ) and three Ordinary Differential Equations (ODE) describes the wheel motion, each one associated to the corresponding DOF ( 𝑥 𝑤 , 𝑧 𝑤 and 𝜃 𝑤 ). All the equations of motion can be derived in the rotating reference system by computing the energy functions and then relying on the Hamilton’s Principle. The equations of motions are then linearized about static/dynamic steady state positions related to the tyre working conditions, accounting for the inflation pressure and centrifugal load (if any). The complete derivation is described in [19]. To be representative of a tyre, model parameters should be properly tuned. To this end, an Experimental Modal Analysis was carried out, described in the following section. 3. CALIBRATION OF MODEL PARAMETERS An experimental campaign was arranged to identify the dynamic properties of a specific tyre, so as to tune model parameters. The experimental setup is shown in Figure 2. Figure 2: EMA setup. Accelerometers placed to measure the radial acceleration along the tyre; electrodynamic shaker to excite the system in radial direction. The tyre is mounted on a commercial wheel and screwed to the supporting structure, which is clamped to the suspended foundation underneath. To study the free response of the system in the 0- 300 Hz frequency range, an electrodynamic shaker is adopted, connected to the tyre by a preloaded stinger to prevent the detachment. A piezoelectric load cell measures the input force. The tyre response is measured by 12 piezoelectric accelerometers evenly distributed around the tyre circumference, to measure the radial vibration. 6 different positionings have been considered to cover the whole tyre circumference, with a measuring grid of 5 degrees. This way, the possible mass unbalance due to the sensor placement has been minimized. A sampling frequency of 2 kHz has been considered, acquiring time histories of 250 s. At the post-processing stage, the frequency response functions (FRFs) of the system have been evaluated by the H1 estimator, considering time windows of 10 s and averaging the signals to reduce noise disturbances. Modal parameter identification has been setup, adopting at first a least- square complex exponential algorithm to identify the poles of the system; secondly, classical FRF- based curve fitting methods have been followed to identify modal’s parameter (natural frequencies, damping rations and mode shapes in user-defined frequency ranges). Figure 3 shows the results of the identification by comparing the measured and identified FRF. Accurate results can be registered in the considered frequency range: the first seven modes of the system have been identified. Figure 3: Example of FRF between the radial force and the radial acceleration measured on tyre: comparison between the measured (blue) and identified (red) transfer inertance. The modal parameters identified can be used to calibrate the model so as to match the dynamic response of the considered tyre, both in terms of natural frequencies and mode shapes. They have been computed through a non-linear optimization procedure and they are presented in Table 1. Table 1: Optimal parameter values. Parameter Optimized values 𝜌ℎ (𝑘𝑔 𝑚 −2 ) 19,69 𝑘 𝜃 (𝑁 𝑚 −3 ) 6,56 10 5 𝑘 𝑟 (𝑁 𝑚 −3 ) 8,27 10 6 𝐾 (𝑁 𝑚 −1 ) 2,52 10 7 𝐷 (𝑁 𝑚) 7,45 The correspondence between the experimental and the numerical results, obtained from the optimization procedure, are shown in Figure 4. In Figure 4(a) the comparison is proposed in terms of scatter plot of the natural frequencies: the x-axis refers to the numerical results, while the y-axis shows the ones experimentally identified. For completeness, in Figure 4(b) the comparison is provided also in terms of Modal Assurance Criterion (MAC) index, that establishes the degree of correlation in terms of mode shapes. High levels of accuracy are reached for all the frequencies and mode shapes considered. 100 a3 8 [pes osvug 00 Figure 4: Comparison between numerical and analytical modes of vibration of the tyre. (a) Scatter plot of the natural frequencies; (b) MAC index. 4. SIMULATION RESULTS Considering the model parameters experimentally identified in static conditions (Table 1), assumed to be constant also in the rotating tyre conditions for the considered range of speed, numerical simulations have been carried out. At first, the free response of the tyre is addressed, both in case of a non-rotating and rotating tyre. Secondly, the forces response is considered. 4.1. Free response of the tyre The tyre free response is significantly influenced by its working condition. Consider at first the case of a non-rotating tyre. Assuming a propagative solution, the progressive and regressive waves travelling along the tyre belt are associated to the same natural frequency 𝜔 𝑛 . Conversely, in case an Ω rotating speed is considered, distinct 𝜔 𝑛 solutions rise, due to the combined contribution of Doppler effect and Coriolis acceleration [19]. This behaviour goes under the name of bifurcation effect, which is peculiar of rotating rings. Figure 5 exemplifies the bifurcation effect, showing the natural frequencies ( 𝑓 𝑛 = 𝜔 𝑛 /2𝜋 ) as a function of the tyre angular speed Ω . For each bifurcation, the higher frequency lines are associated with regressive waves, while the lower frequency lines are associated to progressive waves. With respect to the non-rotating case, they are respectively increased and decreased by the Ω rotating speed. 080100150200 ‘Analytical frequency (H2) on ® Figure 5: Natural frequencies of the flexible ring as function of the rotating speed. Bifurcation effect for (a) n=1 and n=2; (b) n=3 and n=4. Figure 6 demonstrates the effect of rotating speed (and consequent bifurcation effect) over the free response of the tyre. In Figure 6(a) the non-rotating case is considered, whereas in Figure 6(b) simulations are performed at Ω= 67.3 𝑟𝑎𝑑/𝑠 (80 km/h). For simplicity, the results are shown considering one specific mode order (n=3 in the considered case). 17 0 Oem eee ern n eee. (ea) ©) Figure 6: Free radial response of the flexible ring: different time lapse in the rotating reference system. (a) non-rotating case ( Ω= 0) ; (b) rotating case ( Ω= 67.3 𝑟𝑎𝑑/𝑠 ). The sequence of time laps in Figure 5(a) represents the radial displacement of the non-rotating tyre, that shows the synchronous motion at the considered natural frequency ( 𝑓 3 = 125 𝐻𝑧 from Figure 4(b)): nodes and antinodes of the standing wave can be univocally identified. The rotating speed contribution is shown in Figure 5(b). Although a pulsating behaviour can be still recognized, the wave is no more standing but travelling: the beginning and ending lapse of the cycle are no more superimposed due to the bifurcation effect. To conclude, the rotating speed of the tyre prevents to realize a standing wave solution in free response conditions. This leads to waves that are travelling along the tyre circumference. This behaviour can be observed for any mode order in both the rotating (as in Figure 5) and fixed reference systems. 4.2. Forced response of the tyre The analytical model developed allows investigating the tyre forced response too, provided that damping contribution is accounted for. To this end, dampers have been added in parallel to the elastic foundation ( 𝑐 𝜃 = 1.5 10 −3 𝑁 𝑠 𝑚 −3 , 𝑐 𝑟 = 1.9 10 −3 𝑁 𝑠 𝑚 −3 ). Moreover, the material viscous behaviour has been included by a complex formulation of the Young Modulus 𝐸 ′ = 𝐸(1 + 𝑖𝜂 ) , being 𝜂= 2.5 10 −2 the loss factor. Simulations have been performed assuming a unitary impulsive excitation in a given angular position ( 𝜃= 0 𝑑𝑒𝑔 ), to be representative of a cleat test. Both the non- rotating case and the rotating one have been considered. In detail, the former allows the validation against the experimental tests described in Section 3. Figure (7) shows the results in terms of transfer inertance for assigned angular positions along the tyre circumference. Figure 7(a) shows the experimental/numerical validation for the non- rotating tyre case. A satisfactory agreement is observed both in terms of amplitude and resonance excitation, that further confirms the effectiveness of the modal parameter identification. In Figure 7(b) only simulation results are shown, comparing the non-rotating case to the rotating one ( Ω= 67.3 𝑟𝑎𝑑/𝑠 ), considering the same input and output positions. A diffuse increase of the amplitude response is observed, which is coherent with the additional centrifugal contribution. The bifurcation effect is expected to be of influence in the observed results, although damping contribution leads to the coupling of the different modes of vibration. Figure 7: Forced radial response of the flexible ring: transfer inertance between the radial input force ( 𝜃= 0 𝑑𝑒𝑔 ) and the radial acceleration ( 𝜃= 100 𝑑𝑒𝑔 ). (a) Comparison between experimental and simulation results for the non-rotating tyre; (b) comparison between simulation results in non-rotating and rotating conditions ( Ω= 0 𝑟𝑎𝑑/𝑠 and Ω= 67.3 𝑟𝑎𝑑/𝑠 respectively). 5. CONCLUSIONS Frequency (Hz) An in-plane flexible ring model has been proposed to study the free and forced response of a tyre, both in static and rotating conditions. The equations of motion of the system are derived by adopting the Hamilton’s Principle. To be representative of a real tyre, models’ parameters have been identified based on an Experimental Modal Analysis in static conditions. Vibration modes have been identified up the 7 th one and parameters have been calibrated, showing accurate results in terms of both natural frequencies and mode shapes. The model has been then adopted to study the tyre’s free vibration. When a rotating tyre is considered, this allows observing the bifurcation effect, for which progressive and regressive waves travels along the tyre belt at different speeds. As a result, the vibration mode turns out not to be stationary but rotating along the tyre itself. Finally, the forced response of the system has been considered, computing the transfer inertance for assigned input and output positions. A satisfactory agreement with the experimental results has been achieved in case of the non-rotating tyre; furthermore, at the simulation stage it was possible to observe the rotating speed effect on the tyre response. 6. ACKNOWLEDGEMENTS The authors thank Pirelli Tyre S.p.A. for the support and contribution to this research project. 7. REFERENCES 1. Li, Q., Ripamonti, F., Corradi, R., Caccialanza, M. Simulation of deterministic tyre noise based on a monopole substitution model (2021). Applied Acoustics, 178, art. no. 108009. 2. Corradi, R., Ripamonti, F., Di Lione, R., Caccialanza, M. Test methodologies for mapping tyre Frequency (Hz) exterior noise in semi-anechoic chamber (2019). INTER-NOISE 2019 MADRID - 48th International Congress and Exhibition on Noise Control Engineering. 3. Harrison, M. Vehicle Refinement: Controlling Noise and Vibration in Road Vehicles. SAE International , Oxford, UK (2004). 4. Pang, J. Noise and Vibration Control in Automotive Bodies. China Machine Press , Wiley (2018). 5. Iversen, L., Marbjerg G., Bendtsen H. Noise from electric vehicles - 'state-of-the-art' literature survey. Proceedings of Inter-Noise , Innsbruck, Austria, 15-18 September 2013 6. Périsse, J., A study of radial vibrations of a rolling tyre for tyre-road noise characterization. MECH SYST SIGNAL PROCESS . 16. 1043-1058 (2002). 10.1006/mssp.2001.1432. 7. Diaz, C. G., Kindt, P., Middelberg, L., Vercammen, S., Thiry, C., Close, R., and Leyssens, J. Dynamic Behaviour of a Rolling Tyre: Experimental and Numerical Analyses. Journal of Sound and Vibration . 364, pp. 147–164 (2016). 8. S. Gong, A Study of In-Plane Dynamics of Tires. PhD Thesis , Delft University of Technology, The Netherlands (1993). 9. Lopez, I., Blom, R. E. A., Roozen, N. B., and Nijmeijer, H. Modeling the Vibrations of a Rotating Tyre: A Modal Approach, Journal of Sound and Vibration , 307(3–5), pp. 481–494 (2007). 10. Nackenhorst, U. The ALE-Formulation of Bodies in Rolling contact: Theoretical Foundations and Finite Element Approach, Comput. Methods Appl. Mech. Eng ., 193(39–41), pp. 4299–4322 (2004). 11. Endo, M., Hatamura, K., Sakata, M., and Taniguchi, O. Flexural Vibration of a Thin Rotating Ring . Journal of Sound and Vibration , 92(2), pp. 261–272 (1984). 12. Pinnington, R. J., and Briscoe, A. R. A Wave Model for a Pneumatic Tyre Belt. Journal of Sound and Vibration , 253(5), pp. 941–959 (2002). 13. Soedel, W. On the Dynamic Response of Rolling Tires According to Thin Shell Approximation. Journal of Sound and Vibration , 41(2), pp. 233–246 (1975). 14. Soedel, W. Vibrations of Shells and Plates-Third Edition. Revised and Explained , Marcel Dekker, New York, Chapter 4,6,16 (2004). 15. Huang, S. C., and Soedel, W. Effect of Coriolis Acceleration on the Free and Forced In-Plane Vibrations of Rotating Rings on Elastic Foundation. Journal of Sound and Vibration , 115(2), pp. 253–274 (1987). 16. Gong, S., Savkoor, A., and Pacejka, H. The Influence of Boundary Conditions on the Vibration Transmission Properties of Tires. SAE Technical Paper 931280 (1993). 17. Cooley, C. G., and Parker, R. G. Vibration of High-Speed Rotating Rings Coupled to Space- Fixed Stiffnesses. Journal of Sound and Vibration , 333(12), pp. 2631–2648 (2014). 18. Lu, T., Tsouvalas, A., and Metrikine, A. V. The In-Plane Free Vibration of an Elastically Supported Thin Ring Rotating at High Speeds Revisited. Journal of Sound and Vibration , 402, pp. 203–218 (2017). 19. Simon, T., La Paglia, I., Ripamonti, F., Corradi, R., and Baro, S. A Theoretical Model for Investigating the Structural Dynamics of a Rolling Tyre. ASME. J. Comput. Nonlinear Dynam . (2022) 10.1115/1.4053935 Previous Paper 676 of 769 Next